Студопедия

КАТЕГОРИИ:


Архитектура-(3434)Астрономия-(809)Биология-(7483)Биотехнологии-(1457)Военное дело-(14632)Высокие технологии-(1363)География-(913)Геология-(1438)Государство-(451)Демография-(1065)Дом-(47672)Журналистика и СМИ-(912)Изобретательство-(14524)Иностранные языки-(4268)Информатика-(17799)Искусство-(1338)История-(13644)Компьютеры-(11121)Косметика-(55)Кулинария-(373)Культура-(8427)Лингвистика-(374)Литература-(1642)Маркетинг-(23702)Математика-(16968)Машиностроение-(1700)Медицина-(12668)Менеджмент-(24684)Механика-(15423)Науковедение-(506)Образование-(11852)Охрана труда-(3308)Педагогика-(5571)Полиграфия-(1312)Политика-(7869)Право-(5454)Приборостроение-(1369)Программирование-(2801)Производство-(97182)Промышленность-(8706)Психология-(18388)Религия-(3217)Связь-(10668)Сельское хозяйство-(299)Социология-(6455)Спорт-(42831)Строительство-(4793)Торговля-(5050)Транспорт-(2929)Туризм-(1568)Физика-(3942)Философия-(17015)Финансы-(26596)Химия-(22929)Экология-(12095)Экономика-(9961)Электроника-(8441)Электротехника-(4623)Энергетика-(12629)Юриспруденция-(1492)Ядерная техника-(1748)

Состояния с определенным импульсом




Пусть у нас имеется электрон в состоянии |y>, описывае­мом амплитудой вероятности |y>=y (х). Мы знаем, что y (х)обозначает состояние, в котором электрон размазан по прямой по какому-то закону, так что вероятность обнаружить его в узком интервале dx близ точки х попросту равна

Вер. (х, dx)= |y (х)|2 dx.

Что можно сказать об импульсе этого электрона? Можно спро­сить, какова вероятность того, что импульс этого электрона равен р? Начнем с расчета амплитуды того, что состояние |y> присутствует в другом состоянии | имп. p >, которое мы опреде­лим как состояние с определенным импульсом р. Эту амплитуду можно найти, применяя наше основное уравнение для разло­жения амплитуд (14.20). В терминах состояний |имп. p >

А вероятность того, что у электрона будет обнаружен импульс р, выразится квадратом абсолютной величины этой амплитуды. Но опять возникает тот же вопрос насчет нормирования. Ведь вообще можно говорить только о вероятности обнаружить электрон с импульсом в узкой области dp близ значения р. Вероятность того, что импульс в точности равен р, равна нулю (разве что состояние |y> окажется состоянием с определенным импульсом). Только вероятность обнаружить импульс в интер­вале dp возле значения р может оказаться конечной. Нормиров­ку можно делать по-разному. Мы выберем тот способ нормиров­ки, который нам кажется особенно удобным, хотя вам сейчас это может так и не показаться.

Примем такую нормировку, чтобы вероятность была связана с амплитудой равенством

Это определение дает нам нормировку амплитуды <имп. р | x >. Амплитуда <имп. р | х >, естественно, комплексно сопряжена с амплитудой < х |имп. р >, а последнюю мы писали в (14.15). При нашей нормировке оказывается, что коэффициент пропор­циональности перед экспонентной как раз равен единице, т. е.

Тогда (14.21) превращается в

Вместе с (14.22) это уравнение позволяет находить распреде­ление импульсов для любого состояния |y>.

Возьмем частный пример: скажем, когда электрон распо­ложен в некоторой области вокруг х= 0. Пусть мы взяли вол­новую функцию вида

Распределение вероятности иметь то или иное значение х для такой волновой функции дается ее квадратом

Функция плотности вероятности Р (х) это кривая Гаусса, по­казанная на фиг. 14.1.

фиг. 14.1. Плотность вероятности для волно­вой функции (14.24).

 

Большая часть вероятности сосредото­чена между х=+х=- s. Мы говорим, что «полуширина» кривой есть а. (Точнее, а равняется средней квадратичной координате х, если разброс координат соответствует этому распределению.) Коэффициент К следовало бы выбрать так, чтобы плотность вероятности Р (х)не просто была пропорциональна вероятности (на единицу длины ж) обнаружить электрон, но имела бы такой масштаб, чтобы Р (х)D x равнялось вероят­ности обнаружить электрон в D x вблизи х. Коэффициент К, при котором так и получается, можно найти из требования

\ Р (х) dx =1, потому что вероятность обнаружить электрон

где попало равна единице. Мы находим, что К = (2ps2)-1/4.

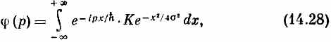
Теперь найдем распределение по импульсу. Пусть j(p)

есть амплитуда того, что импульс электрона окажется равным р:

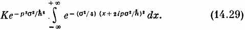
Подстановка (14.25) в (14.24) дает

что можно также переписать в форме

Сделаем теперь замену интеграл обратится в

Математикам, вероятно, не понравился бы такой путь расчета, однако итог, несмотря на это, верен:

Мы пришли к интересному результату — распределение амплитуд по р имеет в точности ту же математическую форму, как и распределение амплитуд по х, только ширина кривой Гаусса иная. Можно записать это так:

где полуширина h распределения по р связана с полушириной а распределения по х формулой

Наш результат утверждает: если сделать распределение по х очень узким, взяв s малым, то h станет большим и распре­деление по р сильно расползется. Или наоборот, если распределение по р узко, то оно соответствует широкому распределению по х. Мы можем, если угодно, рассматривать h и sкак некую меру неопределенности локализации импульса и коор­динаты электрона в изучаемом нами состоянии. Если обозначить их соответственно D р и D x, то (14.33) обратится в

Интересно вот что: можно доказать, что при всяком ином

виде распределения по х или по р произведение D p D x не может

стать меньше, чем у нас получилось. Гауссово распределение

дает наименьшее возможное значение произведения средних

квадратичных. В общем случае

Это количественная формулировка принципа неопределенности Гейзенберга, который качественно нам уже давно известен. Мы обычно делали приближенное утверждение: наименьшее значение произведения D p D x — это число порядка h.




Поделиться с друзьями:


Дата добавления: 2015-06-04; Просмотров: 407; Нарушение авторских прав?; Мы поможем в написании вашей работы!


Нам важно ваше мнение! Был ли полезен опубликованный материал? Да | Нет



studopedia.su - Студопедия (2013 - 2026) год. Все материалы представленные на сайте исключительно с целью ознакомления читателями и не преследуют коммерческих целей или нарушение авторских прав! Последнее добавление




Генерация страницы за: 0.013 сек.