Студопедия

КАТЕГОРИИ:


Архитектура-(3434)Астрономия-(809)Биология-(7483)Биотехнологии-(1457)Военное дело-(14632)Высокие технологии-(1363)География-(913)Геология-(1438)Государство-(451)Демография-(1065)Дом-(47672)Журналистика и СМИ-(912)Изобретательство-(14524)Иностранные языки-(4268)Информатика-(17799)Искусство-(1338)История-(13644)Компьютеры-(11121)Косметика-(55)Кулинария-(373)Культура-(8427)Лингвистика-(374)Литература-(1642)Маркетинг-(23702)Математика-(16968)Машиностроение-(1700)Медицина-(12668)Менеджмент-(24684)Механика-(15423)Науковедение-(506)Образование-(11852)Охрана труда-(3308)Педагогика-(5571)Полиграфия-(1312)Политика-(7869)Право-(5454)Приборостроение-(1369)Программирование-(2801)Производство-(97182)Промышленность-(8706)Психология-(18388)Религия-(3217)Связь-(10668)Сельское хозяйство-(299)Социология-(6455)Спорт-(42831)Строительство-(4793)Торговля-(5050)Транспорт-(2929)Туризм-(1568)Физика-(3942)Философия-(17015)Финансы-(26596)Химия-(22929)Экология-(12095)Экономика-(9961)Электроника-(8441)Электротехника-(4623)Энергетика-(12629)Юриспруденция-(1492)Ядерная техника-(1748)

Переходы Джозефсона




И вот напоследок я перехожу к разбору очень интересного случая, впервые отмеченного Джозефсоном, к анализу того, что бывает при контакте двух сверхпроводников. Пусть у нас есть два сверхпроводника, связанные тонким слоем изолятора (фиг. 19.6).

Фиг. 19.6. Два сверхпроводника, разделенных тонким изолятором.

 

Теперь такое устройство называется «переходом Джозефсона». Если изолирующий слой толст, электроны не могут пройти через него, но если он достаточно тонок, то элект­роны могут иметь заметную квантовомеханическую амплитуду перескока. Это попросту новый пример квантовомеханического проникновения через барьер. Джозефсон проанализировал та­кой случай и выяснил, что при этом должно происходить немало странных явлений.

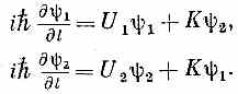
Для анализа такого контакта я обозначу амплитуду того, что электрон окажется на одной стороне, через y1, а того, что на другой,— через y2. В сверхпроводящем состоянии волновая функция y1 — это общая волновая функция всех электронов с одной стороны, а y2 — соответствующая функция с другой стороны. Эту задачу можно решать для сверхпроводников раз­ного сорта, но мы ограничимся самым простым случаем, когда вещество по обе стороны одно и то же, — так что соединение са­мое простое и симметричное. И пусть пока никакого магнитного поля нет. Тогда связь между этими двумя амплитудами должна быть такой:

Постоянная К характеризует данный переход. Если бы К была равна нулю, то эта пара уравнений попросту описывала бы наинизшее энергетическое состояние (с энергией U) каж­дого сверхпроводника. Но обе стороны связаны амплитудой К, выражающей возможность утечки из одной стороны в другую (это как раз известная нам по двухуровневым системам ампли­туда «переброса»). Если обе стороны одинаковы, то U 1 будет равно U 2, и я имею право их просто вычесть. Но теперь пред­положим, что мы подсоединили две сверхпроводящие области к двум полюсам батарейки, так что к переходу оказалась при­ложенной разность потенциалов V. Тогда U1 -U 2 =qV. Для удобства я могу выбрать нуль энергии посредине между U 1 и U 2, и тогда уравнения обратятся в

Это стандартные уравнения двух связанных квантовомеханических состояний. На этот раз давайте проанализируем их по-иному. Сделаем подстановки:

где q1 и q2— фазы по обе стороны контакта, a r1и r2— плотно­сти электронов в этих двух точках. Вспомним, что на практике r1 и r2 почти точно совпадают друг с другом и равны r0 — нормальной плотности электронов в сверхпроводящем материале. Если вы теперь подставите эти формулы для y1 и y2 в (19.40) и приравняете вещественные части вещественным, а мни­мые — мнимым, то получится четверка уравнений (для крат­кости обозначено q2-q1=d):

Первая пара уравнений говорит, что r1=-r2 «Но,— ска­жете вы,— они ведь обе должны быть равны нулю, раз r1и r2 обе постоянны и равны r0». Не совсем. Эти уравнения описывают не все. Они говорят, какими были бы r1 и r2, если бы не было до­бавочных электрических сил за счет того, что нет баланса между электронной жидкостью и фоном положительных ионов. Они сообщают, как начали бы меняться плотности, и поэтому описывают тот ток, который начал бы течь. Этот ток, текущий от стороны 1 к стороне 2, был бы как раз равен r1(или -r2), или

Такой ток вскоре зарядил бы сторону 2, если можно было бы за­быть, что обе стороны соединены проводами с батареей. Однако он не зарядит область 2 (и не разрядит область 1), потому что возникнут токи, которые выровняют потенциал. В наши урав­нения эти токи от батареи не входят. Если бы их добавить, то r1 и r2 оставались бы фактически постоянными, а ток через переход определялся бы формулой (19.44).

Поскольку r1 и r2 действительно остаются постоянными и равными r0, давайте положим 2K r 0/h=J0 и напишем

J = J 0sind. (19.45)

Тогда J 0, подобно К, есть число, характеризующее данный переход.

Другая пара уравнений (19.43) дает нам q1и q2. Нас инте­ресует разность d=q2-q1, которую мы хотим подставить в (19.45); из уравнений же мы имеем

Это значит, что можно написать

где d0 — значение d при t= 0. He забывайте также, что q — это заряд пары, q= 2 qe. В уравнениях (19.45) и (19.47) содер­жится важный результат — общая теория переходов Джозефсона.

Так что же из них следует? Сначала приложим постоянное напряжение. Если приложить постоянное напряжение V0, то аргумент синуса примет вид d 0+(q/h)V 0 t. Поскольку h/q— чис­ло маленькое (по сравнению с обычными напряжениями и вре­менами), то синус будет колебаться довольно быстро и в итоге никакой ток не пойдет. (Практически, поскольку температура не равна нулю, небольшой ток все же будет из-за проводимости «нормальных» электронов.) С другой стороны, если напряже­ние на переходе равно нулю, то ток может пойти! Если нет на­пряжения, то ток может равняться любой величине между + J 0 и - J 0 (в зависимости от того, каково значение d0). Но попробуй­те приложить напряжение — и ток обратится в нуль. Это стран­ное поведение недавно наблюдалось экспериментально.

Ток можно получить и другим способом: кроме постоянного напряжения — приложить еще и высокую частоту. Пусть

где v<<V. Тогда

Но при малых D x

Разложив по этому правилу sind, я получу

Первый член в среднем дает нуль, но второй в нуль не об­ращается, если

Значит, если частота переменного напряжения равна (q/h)V 0, то через контакт пойдет ток. Шапиро сообщил, что он наб­людал такой резонансный эффект.

Если вы просмотрите работы на эту тему, то заметите, что в них формула для тока часто записывается в виде

где интеграл берется по пути, ведущему через переход. Причина здесь в том, что если переход находится в поле векторного по­тенциала, то фаза амплитуды переброса видоизменяется так, как было объяснено вначале [уравнение (19.1)]. Если вы всюду включите такой сдвиг фазы, то получите нужные формулы.

Наконец, я хотел бы описать очень эффектный и интерес­ный опыт по интерференции токов, проходящих через два пере­хода, который был недавно проделан. Мы привыкли встречаться в квантовой механике с интерференцией амплитуд от двух ще­лей. Сейчас мы будем иметь дело с интерференцией двух токов, текущих через два перехода между сверхпроводниками. Она вызывается различием в фазах, с которыми сливаются токи, прошедшие по двум разным путям. На фиг. 19.7 показано па­раллельное соединение двух переходов а и b между сверхпровод­никами.

Фиг. 19.7. Два па­раллельных перехода Джозефсона.

 

Концы сверхпроводников Р и Q подключены к прибо­рам, которыми мы измеряем ток. Внешний ток J полн будет суммой токов через каждый из переходов. Пусть Ja и Jb это то­ки через переходы, и пусть их фазы будут d а и d b. Разность фаз волновых функций в точках Р и Q должна быть одинаковой, по какому бы пути вы ни пошли. На том пути, который следует через переход а, разность фаз между Р и Q равна d а плюс кри­волинейный интеграл от векторного потенциала вдоль верхнего пути:

Почему? Потому что фаза q связана с А уравнением (19.26). Если вы это уравнение проинтегрируете вдоль какого-то пути, то левая часть даст изменение фазы, которое тем самым как раз окажется пропорциональным криволинейному интегралу от А, что и написано. Изменение фазы по нижнему пути может быть записано подобным же образом:

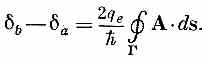
Эти величины должны быть равны; если я их вычту, то получу, что разность дельт должна быть равна контурному интегралу от А по замкнутому пути

Здесь интеграл берется по замкнутому контуру Г (см. фиг. 19.7), проходящему через оба перехода. Интеграл от А это магнитный поток Ф через контур. Итак, две дельты оказываются отличаю­щимися на 2 qe/h, умноженное на магнитный поток Ф, который проходит между двумя ветвями схемы:

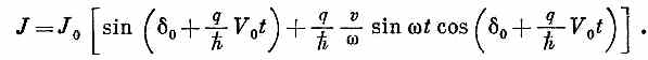
Изменяя магнитное поле в схеме, я смогу контролировать эту разность фаз. Я ее прилажу так, чтобы посмотреть, проявится ли в полном токе, текущем сквозь оба перехода, интерференция между его частями. Полный ток равен сумме Ja и Jb. Для удоб­ства я приму

Тогда

Мы не знаем, каково значение d0, и природа здесь может, в зависимости от обстоятельств, вытворять все, что ей заблаго­рассудится. В частности, d0 может зависеть от прилагаемого к переходам внешнего напряжения. Но что бы мы ни делали, sind0 не окажется больше единицы. Значит, предельно сильный ток для каждого данного Ф дается формулой

Этот предельный ток меняется, смотря по тому, каково Ф, и сам достигает максимума всякий раз, когда

где n — целое число. Иными словами, ток достигает своего максимума, когда зацепляющийся за схему поток принимает те самые квантованные значения, которые мы получили в уравнении (19.30)!

Ток Джозефсона через двойной переход недавно был изме­рен как функция магнитного поля в области между ветвями. Результаты приведены на фиг. 19.8.

Фиг. 19.8. Запись тока через два параллельных перехода Джозефсона как функции магнитного поля в области между двумя переходами.

 

Здесь мы видим общий фон от токов, вызываемых различными эффектами, которыми мы пренебрегли, но быстрые колебания тока при изменении маг­нитного поля объясняются наличием интерференционного члена cos(qeФ/h) в (19.52).

Один из самых интригующих вопросов квантовой механики— это вопрос о том, существует ли векторный потенциал в том месте, где нет поля. Опыт, который я только что описал, был проделан тоже с узеньким соленоидом, помещенным между дву­мя переходами, так что заметное магнитное поле В было только внутри соленоида, а на сверхпроводящие провода его попа­дало пренебрежимо мало. И вот оказалось, что сила тока колеблется с изменением потока магнитного поля внутри этого соленоида, даже если само поле и не касается проводов. Это еще одно доказательство «физической реальности» векторного по­тенциала [см. гл. 15, § 5 (вып. 6)].

Я не знаю, что теперь на очереди. Но посмотрите-ка, что можно было бы сделать. Во-первых, заметьте, что интерференция между двумя переходами может быть применена для создания чувствительного магнитометра. Если площадь, охватываемая двумя переходами, равна, скажем, 1 мм 2, то максимумы на кри­вой фиг. 19.8 будут отстоять друг от друга на 2•10-5 гс. Одну десятую промежутка между пиками запросто можно заметить; значит, таким соединением можно будет измерять поля вели­чиной в 2•10-6 гс, или замерять большие поля со столь же хоро­шей точностью. Можно даже пойти дальше. Представим, на­пример, что мы вплотную друг к другу на равных расстояниях расставили 10—20 переходов. Тогда получится интерференция на 10—20 щелях, и при изменении магнитного поля мы полу­чим очень резкие максимумы и минимумы. Вместо интерфе­ренции на двух щелях у нас будет двадцати-, а может быть, и стощелевой интерферометр для измерения магнитного поля. Вероятно, можно предсказать, что измерения магнитных полей при использовании квантовомеханической интерференции ста­нут почти такими же точными, как измерения длин световых волн.

Это еще одна иллюстрация к тому, что происходит в физике в последнее время — появление транзистора, лазера, а теперь эти переходы сверхпроводников, практическое значение кото­рых пока еще не раскрыто полностью. Квантовая механика, открытая в 1926 г., имела за своими плечами почти 40 лет развития, когда вдруг внезапно она получила множество ре­альных практических применений. Как-то сразу появилась возможность крайне деликатно и тонко управлять природой.

И должен вам сообщить, джентльмены, как это ни прискорб­но, что для того, чтобы принять в этом участие, вам абсо­лютно необходимо как можно быстрее изучить квантовую меха­нику. В этом курсе мы попытались отыскать путь, на котором тайны этой области физики стали бы вам понятными как мож­но раньше.

 

КОНЕЦ ТРЕТЬЕГО ТОМА

 




Поделиться с друзьями:


Дата добавления: 2015-06-04; Просмотров: 490; Нарушение авторских прав?; Мы поможем в написании вашей работы!


Нам важно ваше мнение! Был ли полезен опубликованный материал? Да | Нет



studopedia.su - Студопедия (2013 - 2026) год. Все материалы представленные на сайте исключительно с целью ознакомления читателями и не преследуют коммерческих целей или нарушение авторских прав! Последнее добавление




Генерация страницы за: 0.007 сек.