Студопедия

КАТЕГОРИИ:


Архитектура-(3434)Астрономия-(809)Биология-(7483)Биотехнологии-(1457)Военное дело-(14632)Высокие технологии-(1363)География-(913)Геология-(1438)Государство-(451)Демография-(1065)Дом-(47672)Журналистика и СМИ-(912)Изобретательство-(14524)Иностранные языки-(4268)Информатика-(17799)Искусство-(1338)История-(13644)Компьютеры-(11121)Косметика-(55)Кулинария-(373)Культура-(8427)Лингвистика-(374)Литература-(1642)Маркетинг-(23702)Математика-(16968)Машиностроение-(1700)Медицина-(12668)Менеджмент-(24684)Механика-(15423)Науковедение-(506)Образование-(11852)Охрана труда-(3308)Педагогика-(5571)Полиграфия-(1312)Политика-(7869)Право-(5454)Приборостроение-(1369)Программирование-(2801)Производство-(97182)Промышленность-(8706)Психология-(18388)Религия-(3217)Связь-(10668)Сельское хозяйство-(299)Социология-(6455)Спорт-(42831)Строительство-(4793)Торговля-(5050)Транспорт-(2929)Туризм-(1568)Физика-(3942)Философия-(17015)Финансы-(26596)Химия-(22929)Экология-(12095)Экономика-(9961)Электроника-(8441)Электротехника-(4623)Энергетика-(12629)Юриспруденция-(1492)Ядерная техника-(1748)

Методы вторичной статистической обработки результатов эксперимента




С помощью вторичных методов статистический обработки экспериментальных данных непосредственно проверяются, до­казываются или опровергаются гипотезы, связанные с экспери­ментом. Эти методы, как правило, сложнее, чем методы первич­ной статистической обработки, и требуют от исследователя хо­рошей подготовки в области элементарной математики и статис­тики.

Обсуждаемую группу методов можно разделить на несколь­ко подгрупп: 1. Регрессионное исчисление. 2. Методы сравнения между собой двух или нескольких элементарных статистик (средних, дисперсий и т.п.), относящихся к разным выборкам. 3. Методы установления статистических взаимосвязей между пе­ременными, например их корреляции друг с другом. 4. Методы выявления внутренней статистической структуры эмпирических данных (например, факторный анализ). Рассмотрим каждую из выделенных подгрупп методов вторичной статистической обра­ботки на примерах.

Регрессионное исчисление — это метод математической ста­тистики, позволяющий свести частные, разрозненные данные к некоторому линейному графику, приблизительно отражающе­му их внутреннюю взаимосвязь, и получить возможность по зна­чению одной из переменных приблизительно оценивать вероят­ное значение другой переменной.

Воспользуемся для графического представления взаимосвязан­ных значений двух переменных х и у точками на графике (рис. 73). Поставим перед собой задачу: заменить точки на графике ли­нией прямой регрессии, наилучшим образом представляющей взаимосвязь, существующую между данными переменными. Иными словами, задача заключается в том, чтобы через скопле­ние точек, имеющихся на этом графике, провести прямую линию,



______ Глава 3. Статистический анализ экспериментальных данных ____

Рис.73. Прямая регрессии YnoX. х и у — средние значения переменных. От­клонения отдельных значений от линии регрессии обозначены вертикальны­ми пунктирными линиями. Величина yt - у является отклонением измеренно­го значения переменной у. от оценки, а величина у - у является отклонением оценки от среднего значения (Цит. по: Иберла К. Факторный анализ. М., 1980. С. 23).

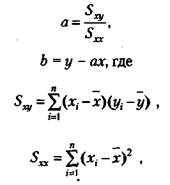
пользуясь которой по значению одной из переменных, х или у, можно приблизительно судить о значении другой переменной. Для того чтобы решить эту задачу, необходимо правильно найти коэффициенты а и Ь в уравнении искомой прямой:

у = ах + Ь.

Это уравнение представляет прямую на графике и называет­ся уравнением прямой регрессии.

 

Формулы для подсчета коэффициентов а и Ь являются сле­дующими:


Часть II. Введение в научное психологическое исследование

где х., у{ — частные значения переменных X и Y, которым соот­ветствуют точки на графике;

х, у — средние значения тех же самых переменных;

п — число первичных значений или точек на графике.

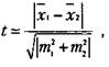
Для сравнения выборочных средних величин, принадлежа­щих к двум совокупностям данных, и для решения вопроса о том, отличаются ли средние значения статистически достоверно друг от друга, нередко используют ^-критерий Стъюдента. Его основ­ная формула выглядит следующим образом:

где х{ среднее значение переменной по одной выборке данных;

хг среднее значение переменной по другой выборке данных;

т1ит2 интегрированные показатели отклонений частных значений из двух сравниваемых выборок от соответствующих им средних величин.

/и, и т2 в свою очередь вычисляются по следующим формулам:




Поделиться с друзьями:


Дата добавления: 2015-06-04; Просмотров: 626; Нарушение авторских прав?; Мы поможем в написании вашей работы!


Нам важно ваше мнение! Был ли полезен опубликованный материал? Да | Нет



studopedia.su - Студопедия (2013 - 2025) год. Все материалы представленные на сайте исключительно с целью ознакомления читателями и не преследуют коммерческих целей или нарушение авторских прав! Последнее добавление




Генерация страницы за: 0.008 сек.