Студопедия

КАТЕГОРИИ:


Архитектура-(3434)Астрономия-(809)Биология-(7483)Биотехнологии-(1457)Военное дело-(14632)Высокие технологии-(1363)География-(913)Геология-(1438)Государство-(451)Демография-(1065)Дом-(47672)Журналистика и СМИ-(912)Изобретательство-(14524)Иностранные языки-(4268)Информатика-(17799)Искусство-(1338)История-(13644)Компьютеры-(11121)Косметика-(55)Кулинария-(373)Культура-(8427)Лингвистика-(374)Литература-(1642)Маркетинг-(23702)Математика-(16968)Машиностроение-(1700)Медицина-(12668)Менеджмент-(24684)Механика-(15423)Науковедение-(506)Образование-(11852)Охрана труда-(3308)Педагогика-(5571)Полиграфия-(1312)Политика-(7869)Право-(5454)Приборостроение-(1369)Программирование-(2801)Производство-(97182)Промышленность-(8706)Психология-(18388)Религия-(3217)Связь-(10668)Сельское хозяйство-(299)Социология-(6455)Спорт-(42831)Строительство-(4793)Торговля-(5050)Транспорт-(2929)Туризм-(1568)Физика-(3942)Философия-(17015)Финансы-(26596)Химия-(22929)Экология-(12095)Экономика-(9961)Электроника-(8441)Электротехника-(4623)Энергетика-(12629)Юриспруденция-(1492)Ядерная техника-(1748)

Тема: «Построение поперечного русла реки и вычисление его основных гидоморфологических элементов»




ЛАБОРАТОРНАЯ РАБОТА №2

По результатам нивелирования поймы реки (согласно задания №1) требуется:

1. Построить поперечный профиль русла реки.

2. Определить глубины русла при соответствующем уровне воды (УВ) реки.

3. Вычислить основные гидоморфологические элементы русла при заданном УВ:

a) площадь живого сечения, W, м;

b) ширину реки, B, м;

c) периметр смоченной поверхности, P, м;

d) гидравлический радиус,R,м;

e) среднюю глубину, hср.

Последовательное выполнение работы.

За основу берутся результаты расчетов, проделанных практической работе №1 и исходные данные из таблицы 1.

Таблица 1

Точки замера Вариант № 5
Расстояние между точками Отм. земли
УВ-142
    144,5
    142,7
    142,0
    141,5
    139,0
    136,7
    133,0
    132,1
    134,6
    136,0
    137,8
    139,6
    141,0
    142,0
    145,5
    148,0

 

Прежде чем приступить к выполнению работы необходимо усвоить основные понятия о гидравлических элементах русла реки.

Русло называется часть дна долины, по которому осуществляется сток воды.

Часть дна долины, по которой осуществляется сток в период меженных вод, называется коренным (меженным) руслом.

Часть долины, заполняемая водой в период снеготаяния (половодья) или в период интенсивных дождей (паводка), называется пойменным руслом.

Линии пересечения водной поверхности с берегами называется урезом воды.

Пропускную способность реки, определение скоростей, уклонов, направления течения и другие гидравлические элементы потока определяют поперечное сечение русла.

Поперечным сечением русла называют плоскость перпендикулярную направлению течения потока, ограниченную снизу дном, с боков – откосом русла, сверху – линией горизонта воды.

После построения поперечного профиля русла реки и определения глубин переходят к расчету основных гидоморфологических элементов русла:

1. Площадь живого сечения (W) – это площади поперечного сечения русла, занятая текущей водой, которая зависит от уровня воды и строится по результатам измерения глубин.

Определение площади живого сечения русла (W) можно произвести с помощью планиметра, а так же аналитически: как сумма площадей геометрических фигур, размещенных между смежными промерными точками (двух прямоугольных треугольников и трапеций).

Вычисление площадей Wi геометрических фигур и их суммы ведется в табличной форме после предварительного заполнения колонки 5.

2. Ширина реки (В) определяется разностью расстояний между урезами воды по ее поверхности от поста начала нивелирования

3.

В=|УПБ|-|УЛБ|=100 – 44 =56м,

 

где: УПБ - расстояние уреза воды правого берега от поста начала нивелирования, м;

УЛБ – расстояние уреза воды левого берега от поста начала нивелирования, м.

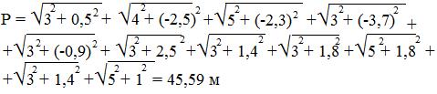
4. Периметр смоченной поверхности (Р) – это длина подводного контура живого сечения.

Периметр смоченной поверхности определяется как сумма гипотенуз прямоугольного треугольника, у которых длина одних катетов (горизонтальных) равна расстоянии между промерными точками в пределах русла, а длины других катетов (вертикальных) являются превышение одной точки над другой смежной с нею, т.е. разностью глубин:

 

 

5. Гидравлический радиус (R) – это четное от деления площади живого сечения на периметр смоченной поверхности (P).

 

При широком и неглубоком русле, когда разница между длиной смоченного периметра (P) и шириной живого сечения (B) становится малой (Условно при B>10hcp), считают P=B. Следовательно:

 

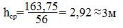
6. Среднюю глубину определяют как частное от деления площади живого сечения W на его ширину B

 

 

 

Таблица №2

Отметки земли дна русла и поймы, м Расстояния от поста нивелирования (репер), м. Глубина русла при отметке УВ-142, м. Расстояния между промерным и точками Средняя глубина между промерн. Точками, м Площадь живого сечения между промерным и точками
           
1. 145,5   -     - - 0,25 1,75 4,15 7,15 9,45 8,65 6,7 5,1 3,3 1,7 0,5 - -   - - 0,75 20,75 21,45 28,35 25,95 20,1 15,3 16,5 5,1 2,5 - -
2. 142,7   -
3. 142,0    
4. 141,5   0,5
5. 139,0    
6. 136,7   5,3
7. 133,0    
8. 132,1   9,9
9. 134,6   7,4
10. 136,0    
11. 137,8   4,2
12. 139,6   2,4
13. 142,0    
14. 142,0    
15. 145,5   -
16. 148,0   -

Ʃ = 163,75

 




Поделиться с друзьями:


Дата добавления: 2015-07-02; Просмотров: 2428; Нарушение авторских прав?; Мы поможем в написании вашей работы!


Нам важно ваше мнение! Был ли полезен опубликованный материал? Да | Нет



studopedia.su - Студопедия (2013 - 2025) год. Все материалы представленные на сайте исключительно с целью ознакомления читателями и не преследуют коммерческих целей или нарушение авторских прав! Последнее добавление




Генерация страницы за: 0.011 сек.