Студопедия

КАТЕГОРИИ:


Архитектура-(3434)Астрономия-(809)Биология-(7483)Биотехнологии-(1457)Военное дело-(14632)Высокие технологии-(1363)География-(913)Геология-(1438)Государство-(451)Демография-(1065)Дом-(47672)Журналистика и СМИ-(912)Изобретательство-(14524)Иностранные языки-(4268)Информатика-(17799)Искусство-(1338)История-(13644)Компьютеры-(11121)Косметика-(55)Кулинария-(373)Культура-(8427)Лингвистика-(374)Литература-(1642)Маркетинг-(23702)Математика-(16968)Машиностроение-(1700)Медицина-(12668)Менеджмент-(24684)Механика-(15423)Науковедение-(506)Образование-(11852)Охрана труда-(3308)Педагогика-(5571)Полиграфия-(1312)Политика-(7869)Право-(5454)Приборостроение-(1369)Программирование-(2801)Производство-(97182)Промышленность-(8706)Психология-(18388)Религия-(3217)Связь-(10668)Сельское хозяйство-(299)Социология-(6455)Спорт-(42831)Строительство-(4793)Торговля-(5050)Транспорт-(2929)Туризм-(1568)Физика-(3942)Философия-(17015)Финансы-(26596)Химия-(22929)Экология-(12095)Экономика-(9961)Электроника-(8441)Электротехника-(4623)Энергетика-(12629)Юриспруденция-(1492)Ядерная техника-(1748)

Решение. Даны три группы частотных спектров по четыре спектра в каждой группе бензинов: бензина А-76, бензина АИ-95 и бензина АИ-98




Даны три группы частотных спектров по четыре спектра в каждой группе бензинов: бензина А-76, бензина АИ-95 и бензина АИ-98.

Условие задачи.

ЛАБОРАТОРНАЯ РАБОТА №12. РАСПОЗНАВАНИЕ ОБРАЗОВ ПО МИНИМУМУ РАССТОЯНИЯ

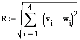
Если заданы два многомерных вектора v и w, то расстояние R между ними будет определяться в скалярной или матричной форме по формулам:

 

 

 

Поступает спектр неизвестного бензина. Нужно вычислить «расстояния» от этого спектра до каждого из заданных, найти минимальное, и отнести поступивший бензин к той марке, расстояние до одного из спектров которой минимально.

Перед началом решения командой файл- настройка страницы зададим альбомный формат (landscape).

Все спектры расположены в папке Маткад- данные для лаб. работы. В ней созданы три папки для известных марок бензина и папка «неизвестных» спектров.

1. Для начала счета с единицы введем ORIGIN: =1

2.Сначала необходимо ввести все известные (опорные) спектры в Маткад. Это производится с помощью команд меню- вставить-данные-ввод файла. После ввода этих команд открывается окно file options (опции файла), в котором имеется кнопка

«browse» (искать). Нажав на эту кнопку, откроем окно read from file (читай из файла) и укажем путь: Маткад-данные для лаб. Работы- бензин А-76- спектр1. Потом нажмем кнопку открыть.

Затем нажмем два раза кнопку готово в окне file options. В Маткаде появится рамка с надписью А-76 …….txt. Присвоим ему имя F11.

Аналогично введем остальные спектры бензина А76, присвоив им имена F12, F13, F14, и все спектры бензинов АИ-95, присвоив им имена F2i, и все спектры бензина АИ-98, присвоив им имена F3i.Здесь индексы i меняются от 1 до 4.

Ввод данных закончен.

3. Введенные спектры представляют собой матрицу из 7462 строк и 3 столбцов: первый столбец – порядковый номер, второй – частота и третий – амплитуда спектра

 

 

Рис.1 Вид части одного из введенных спектров.

Нас интересует только амплитуда. Поэтому сформируем из амплитуд всех введенных спектров три матрицы из четырех столбцов каждая: для бензина А-76 матрицу S1, для бензина АИ-95 матрицу S2 и для бензина АИ-98 матрицу S3.

Cначала введем заголовок «Формирование матриц». Для этого нажав одновременно кнопки shift и Э (в английском шрифте), откроем окно надписей. Перейдя на русский и введя в меню шрифт Arial cyr, запишем этот заголовок.

Формирование матриц

 

Затем сформируем сами матрицы как показано на рис.2. Цифра или буква в уголках в показателе матрицы обозначает соответствующий столбец данной матрицы.

 

 

Рис.2 Формирование матриц.

 

 

 

Рис.3. Матрица S1.

4.Спектры введены в формате текстов (Это видно из того, что каждое число записано в кавычках). Их следует перевести в цифровой формат с помощью встроенной функции str2num. (string – строка, num- число). Перевод показан на рис.3

 

Рис.4. Перевод текстовых файлов в цифровые.

 

5. Подготовим «неизвестные» спектры. На самом деле спектры, которые мы называем «неизвестными» нам известны. Первый из этих спектров принадлежит бензину А-76, второй – бензину АИ-95, третий – бензину АИ-98. Мы должны проверить, правильно ли распознает их формируемая нами программа.

 

 

 

Введем «неизвестные» спектры, как мы это делали для известных спектров, дав им имена X1, X2, X3,выделим третьи столбцы и переведем их в цифровую форму (см.рис.5).

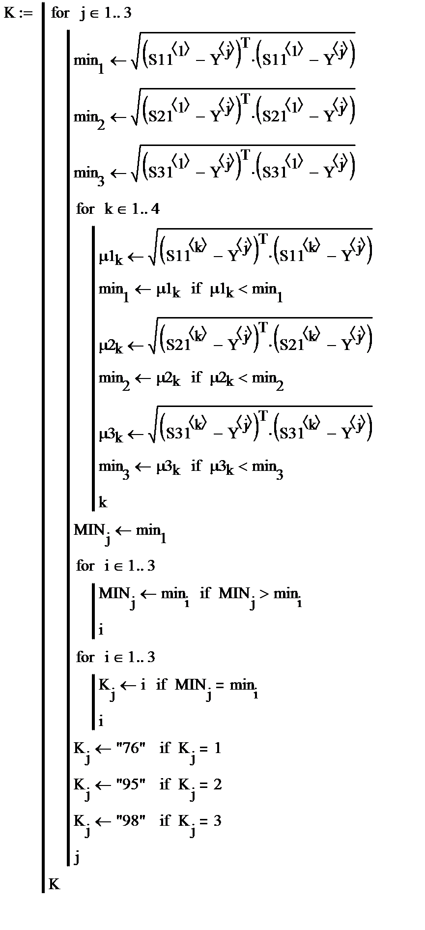
6. Составим программу поиска минимального расстояния между каждым из «неизвестных» и всеми известными спектрами (см рис.5).

7.Так как у нас три «неизвестных» спектра, то мы организуем цикл по j от 1 до 3.

8. Переменными min1,min2,min3 мы обозначим минимальные расстояния до спектров бензинов А-76, АИ-95 и АИ-98, соответственно. В начале мы присвоим им значения расстояний от «неизвестных» спектров до первого из спектров каждой группы.

9. В каждой марке бензинов мы имеем четыре известных спектра. Поэтому организуем цикл по «к» от 1 до 4-х. В этом цикле мы ищем минимальные расстояния от каждого из «неизвестных» спектров до спектров каждой марки.

10. Эти вычисленные минимальные расстояния циклом по «i» мы помещаем в вектор MIN.

11.Следующим циклом по «i» мы помещаем в вектор «К» условный номер марки бензина. Группа 1 – бензин А-76, группа 2 – бензин АИ-95, группа 3 – бензин АИ-98.

12.Наконец, для большей наглядности присваиваем группе 1 имя «76», а остальным, соответственно, имена «95», «98».

13. ниже приведен вектор ответа. Видим, что распознавание произведено правильно.

 

 

Рис.5 Программа определения марки бензина.

 

 

 




Поделиться с друзьями:


Дата добавления: 2015-06-27; Просмотров: 552; Нарушение авторских прав?; Мы поможем в написании вашей работы!


Нам важно ваше мнение! Был ли полезен опубликованный материал? Да | Нет



studopedia.su - Студопедия (2013 - 2025) год. Все материалы представленные на сайте исключительно с целью ознакомления читателями и не преследуют коммерческих целей или нарушение авторских прав! Последнее добавление




Генерация страницы за: 0.009 сек.