Студопедия

КАТЕГОРИИ:


Архитектура-(3434)Астрономия-(809)Биология-(7483)Биотехнологии-(1457)Военное дело-(14632)Высокие технологии-(1363)География-(913)Геология-(1438)Государство-(451)Демография-(1065)Дом-(47672)Журналистика и СМИ-(912)Изобретательство-(14524)Иностранные языки-(4268)Информатика-(17799)Искусство-(1338)История-(13644)Компьютеры-(11121)Косметика-(55)Кулинария-(373)Культура-(8427)Лингвистика-(374)Литература-(1642)Маркетинг-(23702)Математика-(16968)Машиностроение-(1700)Медицина-(12668)Менеджмент-(24684)Механика-(15423)Науковедение-(506)Образование-(11852)Охрана труда-(3308)Педагогика-(5571)Полиграфия-(1312)Политика-(7869)Право-(5454)Приборостроение-(1369)Программирование-(2801)Производство-(97182)Промышленность-(8706)Психология-(18388)Религия-(3217)Связь-(10668)Сельское хозяйство-(299)Социология-(6455)Спорт-(42831)Строительство-(4793)Торговля-(5050)Транспорт-(2929)Туризм-(1568)Физика-(3942)Философия-(17015)Финансы-(26596)Химия-(22929)Экология-(12095)Экономика-(9961)Электроника-(8441)Электротехника-(4623)Энергетика-(12629)Юриспруденция-(1492)Ядерная техника-(1748)

Методика пересчета нормативов предельно допустимого падения давления воздуха в пневматическом и пневмогидравлическом тормозном приводе




Скорости торможения АТС

Методика пересчета нормативов тормозного пути в зависимости от начальной

Д.1 Нормативы тормозного пути 5,. (в метрах) для торможений АТС с начальной скоростью vq, отличной от указанной в 4.1.1, 4.1.2 нормативной, допускается рассчитывать по формуле

[Д 1]

где v0 — начальная скорость торможения АТС, км/ч; jуст ~ установившееся замедление, м/с2; А — коэффициент, характеризующий время срабатывания тормозной системы.

Д.2 При пересчетах нормативов тормозного пути S,- следует использовать значения коэффициента А и установившегося замедления ууст для различных категорий АТС, приведенные в таблице Д.1. Таблица Д.1

АТС   Категория АТС (тягач в составе автопоезда)   Исходные данные для расчета норматива тормозного пути St АТС в снаряженном состоянии:  
А   jyCT. М/С2  
Пассажирские и грузопассажир­ские автомобили   M1   0,10   5,8  
М2, М3   0,10   5,0  
Легковые автомобили с прицепом   M1   0,10   5,8  
Грузовые автомобили   N1, N2, N3   0,15   5,0  
Грузовые автомобили с прицепом (полуприцепом)   N1, N2, N3   0,18   5,0  

 

 


ПРИЛОЖЕНИЕ Е

(обязательное)

ЕЛ При проверке герметичности пневматического и пневмопадравлического тормозного привода АТС приборами допускается корректирование установленных 4.1.9 нормативных значений периода определения падения давления воздуха в тормозном приводе и предельно допустимого падения давления воздуха в приводе.

Е.2 Нормативы предельно допустимого падения давления воздуха в пневматическом и пневмогидравли­ческом тормозном приводе АТС при измерении давления с погрешностью, меньшей нормативной, указанной в 4.1.9, допускается корректировать по формулам:

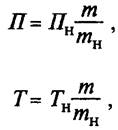
[E 1]

 

 

[E 2]

где Пн — нормативная предельно допустимая величина падения давления воздуха в приводе от значения

нижнего предела регулирования регулятором давления при неработающем двигателе и норматив­ной величине максимальной погрешности измерения давления mн = 5 %;

П — предельно допустимая величина падения давления воздуха в приводе от значения нижнего предела регулирования регулятором давления при неработающем двигателе и обеспечиваемой прибором максимальной погрешности измерения давления не более m %;

Тн нормативная величина периода определения падения давления воздуха в тормозном приводе; Т— минимально допустимый период определения величины падения давления воздуха в тормозном приводе при обеспечиваемой прибором максимальной погрешности измерения давления не более m %.


ПРИЛОЖЕНИЕ Ж

(справочное)

Библиография

[1] Сводная резолюция о конструкции транспортных средств (СР.З), принятая Комитетом по внутрен­нему транспорту Европейской экономической комиссии ООН [документ TRANS/WP.29/78/Rev. 1 от 11.08.97, приложение 7]

[2] Правила эксплуатации автомобильных шин. Утверждены Министерством транспорта Российской Федерации и Министерством внутренних дел Российской Федерации 05.05.97. Введены в действие с 01.07.97

[3] Правила по охране труда на автомобильном транспорте. ПОТ РО-200-01—95. Утверждены Минис­терством транспорта Российской Федерации 13.12:95, приказ № 106


УДК 629-114:658.382.3:006.354 ОКС 03.220.20 Д08 ОКП 45 0000

Ключевые слова: автотранспортное средство (АТС), техническое состояние АТС, требования без­опасности к техническому состоянию АТС, методы проверки технического состояния АТС, норма­тивы технического состояния АТС, показатели технического состояния АТС


Редактор В.П. Огурцов Технический редактор В.Н. Прусакова

Корректор В.И. Баренцева

Компьютерная верстка А.Н. Зодотаревой

 




Поделиться с друзьями:


Дата добавления: 2015-06-28; Просмотров: 538; Нарушение авторских прав?; Мы поможем в написании вашей работы!


Нам важно ваше мнение! Был ли полезен опубликованный материал? Да | Нет



studopedia.su - Студопедия (2013 - 2026) год. Все материалы представленные на сайте исключительно с целью ознакомления читателями и не преследуют коммерческих целей или нарушение авторских прав! Последнее добавление




Генерация страницы за: 0.01 сек.