Студопедия

КАТЕГОРИИ:


Архитектура-(3434)Астрономия-(809)Биология-(7483)Биотехнологии-(1457)Военное дело-(14632)Высокие технологии-(1363)География-(913)Геология-(1438)Государство-(451)Демография-(1065)Дом-(47672)Журналистика и СМИ-(912)Изобретательство-(14524)Иностранные языки-(4268)Информатика-(17799)Искусство-(1338)История-(13644)Компьютеры-(11121)Косметика-(55)Кулинария-(373)Культура-(8427)Лингвистика-(374)Литература-(1642)Маркетинг-(23702)Математика-(16968)Машиностроение-(1700)Медицина-(12668)Менеджмент-(24684)Механика-(15423)Науковедение-(506)Образование-(11852)Охрана труда-(3308)Педагогика-(5571)Полиграфия-(1312)Политика-(7869)Право-(5454)Приборостроение-(1369)Программирование-(2801)Производство-(97182)Промышленность-(8706)Психология-(18388)Религия-(3217)Связь-(10668)Сельское хозяйство-(299)Социология-(6455)Спорт-(42831)Строительство-(4793)Торговля-(5050)Транспорт-(2929)Туризм-(1568)Физика-(3942)Философия-(17015)Финансы-(26596)Химия-(22929)Экология-(12095)Экономика-(9961)Электроника-(8441)Электротехника-(4623)Энергетика-(12629)Юриспруденция-(1492)Ядерная техника-(1748)

Показатели центра распределения




Рр

ПРИМЕР ВЫПОЛНЕНИЯ ЗАДАНИЯ

ПРИМЕР ЗАДАНИЯ

По данным варианта 53 выполите РГР пользуясь методическими указаниями приведенными в п. 1

Таблица 2.1..- Процент яловости и среднегодовой удой на 1 корову в сельскохозяйственных организациях района

№ хозяйства % яловости х Среднегодовой удой на 1 корову, ц у № хозяйства % яловости х Среднегодовой удой на 1 корову, ц у № хозяйства % яловости х Среднегодовой удой на 1 корову, ц у
                 
                 
                 
                 
                 
                 
                 
                 
                 
                 

Федеральное государственное бюджетное образовательное учреждение высшего профессионального образования «Саратовский государственный аграрный университет им. Н.И. Вавилова»     Кафедра экономической кибернетики     Расчетно-графическая работа по статистике     Выполнила: студентка 2 курса, Б-М-АПК 202 Иванова Е.С. Проверила: доцент, к.э.н. Романова И.В.     Саратов 2013      


Оглавление:

Глава 1. Построение и графическое изображение вариационных рядов.............................. 3

Глава 2.. Статистические характеристики рядов распределения........................................... 7

2.1. Показатели центра распределения...................................................................................... 7

2.2. Показатели колеблемости признака.................................................................................... 9

2.3. Показатели формы распределения.................................................................................... 10

2.4. Статистические оценки параметров распределения....................................................... 12

2.5. Проверка гипотезы о законе нормального распределения............................................. 16

Глава 3. Корреляционно-регрессионный анализ.................................................................... 18

3.1. Определение параметров уравнения регрессии и показателей тесноты корреляционной связи............................................................................................................................................................ 18

3.2. Оценка значимости уравнения регрессии и параметров тесноты связи...................... 23

Приложения................................................................................................................................ 26

ГЛАВА 1. ПОСТРОЕНИЕ И ГРАФИЧЕСКОЕ ИЗОБРАЖЕНИЕ ВАРИАЦИОННЫХ РЯДОВ

Имеем статистическую совокупность из 30 сельскохозяйственный организаций, охарактеризованных двумя признаками: процентом яловости и среднегодовым удоем на 1 корову.

Таблица 3.1- Процент яловости и среднегодовой удой на 1 корову в сельскохозяйственных организациях района

№ хозяйства % яловости х Среднегодовой удой на 1 корову, ц у № хозяйства % яловости х Среднегодовой удой на 1 корову, ц у № хозяйства % яловости х Среднегодовой удой на 1 корову, ц у
                 
                 
                 
                 
                 
                 
                 
                 
                 
                 

 

Дискретный вариационный ряд следует построить по результативному (зависимому) признаку (обозначим его у), интервальный - по факторному (независимому) - х. Факторный – это признак, который оказывает влияние на связанный с ним результативный признак. Результативный – это признак, подвергающийся влиянию факторного, зависящий от него. В результате логического рассуждения приходим к выводу, что зависимым, результативным признаком в данном случае будет среднегодовой удой на 1 корову, независимым, факторным – процент яловости.

Для того чтобы составить дискретный вариационный ряд, необходимо расположить значения признака в порядке возрастания, т.е. произвести ранжирование статистических данных, а затем подсчитать частоты (сколько раз встречается то или иное значение признака).

Для графического изображения дискретного ряда служит многоугольник (полигон). При его построении на оси абсцисс откладываются варианты, на оси ординат - частоты.

Для построения интервального вариационного ряда:

· определяется число групп (число интервалов) по формуле Стерджесса:

K=1+3,32*lg(n), (1)

где К - число групп (интервалов); n - число единиц наблюдения;

· рассчитывается величина интервала, т.е. разность между верхним и нижним значением признака в группе:

(2)

где хmax – максимальное значение признака; xmin – минимальное значение признака;

· формируются группы, т.е. устанавливаются верхние и нижние границы для каждого интервала. Нижней границей для первой группы будет xmin (или эта величина, уменьшенная не более чем на половину величины интервала); чтобы найти верхнюю границу, нужно к нижней границе прибавить величину интервала h. Верхняя граница первой группы будет одновременно нижней границей для второго интервала. Чтобы найти верхнюю границу, к полученному значению опять прибавляют величину интервала и т.д.;

· подсчитывается число значений признака, попавших в каждый интервал; варианты, совпадающие с границами частичных интервалов, включаются в правый интервал.

Графически интервальный ряд изображают с помощью гистограммы. На оси абсцисс берутся отрезки, соответствующие величине интервала. На каждом отрезке строят прямоугольник, длина второй стороны которого соответствует частоте.

Таблица 3.2- Дискретный вариационный ряд распределения среднегодового удоя на 1 корову

Варианты Частоты Накопленные частоты
     
     
     
     
     
     

 

 
 
 
 
 
 
 
 
 
 
 
 
 
 
 
Варианты
Частоты
Ряд1

 


Рис. 1. Полигон распределения сельскохозяйственных предприятий по

 

Таблица 3.3 - Интервальный вариационный ряд распределения процента яловости

Интервалы Частота Накопленная частота Середина интервала
9 – 14     11,5
14 – 19     16,5
19 – 24     21,5
24 – 29     26,5
29 – 34     31,5
34 – 39     36,5

 

 
 
 
 
 
 
 
 
 
11,5
16,5
21,5
26,5
31,5
36,5
%яловости
Частоты
Ряд1

 

 


Рис. 2. Гистограмма распределения сельскохозяйственных предприятий по проценту яловости

 

Глава 2. Статистические характеристики рядов распределения

Рис. 3.2. Показатели центра распределения

ГЛАВА 2. СТАТИСТИЧЕСКИЕ ХАРАКТЕРИСТИКИ РЯДОВ РАСПРЕДЕЛЕНИЯ

К показателям центра распределения относятся средняя арифметическая, мода и медиана.

Под средней величиной понимают обобщающий показатель, характеризующий типичный уровень признака и рассчитанный на единицу однородной совокупности.

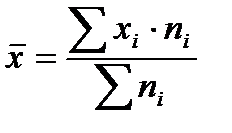
Средняя арифметическая вычисляется по формулам:

простая ; взвешенная ,

где - среднее значение признака; - варианты; - частоты; - численность совокупности.

Мода- величина признака (варианта), наиболее часто повторяющаяся в изучаемой совокупности.

В дискретных рядах распределения модой будет варианта с наибольшей частотой.

В интервальном ряду мода определя6ется по формуле:

,

 

где - нижняя граница интервала, содержащего моду; - величина модального интервала; - частота модального интервала; - частота интервала, предшествующего модальному; - частота послемодального интервала.

Медианой называется варианта, расположенная в середине вариационного ряда.

Если ряд дискретный имеет нечётное число единиц, то медианой будет варианта, расположенная в середине упорядоченного ряда и её порядковый номер . Если ряд состоит из чётного числа членов, то медианой будет средняя арифметическая из двух вариант с порядковыми номерами: и .

В интервальном ряду медиана рассчитывается по формуле:

где - нижняя граница медианного интервала; - величина медианного интервала; - сумма накопленных частот, предшествующих медианному интервалу; -частота медианного интервала. Медианным является интервал, накопленная частота которого равна или больше полусуммы всех частот.

 

 




Поделиться с друзьями:


Дата добавления: 2015-06-28; Просмотров: 566; Нарушение авторских прав?; Мы поможем в написании вашей работы!


Нам важно ваше мнение! Был ли полезен опубликованный материал? Да | Нет



studopedia.su - Студопедия (2013 - 2025) год. Все материалы представленные на сайте исключительно с целью ознакомления читателями и не преследуют коммерческих целей или нарушение авторских прав! Последнее добавление




Генерация страницы за: 0.01 сек.