Студопедия

КАТЕГОРИИ:


Архитектура-(3434)Астрономия-(809)Биология-(7483)Биотехнологии-(1457)Военное дело-(14632)Высокие технологии-(1363)География-(913)Геология-(1438)Государство-(451)Демография-(1065)Дом-(47672)Журналистика и СМИ-(912)Изобретательство-(14524)Иностранные языки-(4268)Информатика-(17799)Искусство-(1338)История-(13644)Компьютеры-(11121)Косметика-(55)Кулинария-(373)Культура-(8427)Лингвистика-(374)Литература-(1642)Маркетинг-(23702)Математика-(16968)Машиностроение-(1700)Медицина-(12668)Менеджмент-(24684)Механика-(15423)Науковедение-(506)Образование-(11852)Охрана труда-(3308)Педагогика-(5571)Полиграфия-(1312)Политика-(7869)Право-(5454)Приборостроение-(1369)Программирование-(2801)Производство-(97182)Промышленность-(8706)Психология-(18388)Религия-(3217)Связь-(10668)Сельское хозяйство-(299)Социология-(6455)Спорт-(42831)Строительство-(4793)Торговля-(5050)Транспорт-(2929)Туризм-(1568)Физика-(3942)Философия-(17015)Финансы-(26596)Химия-(22929)Экология-(12095)Экономика-(9961)Электроника-(8441)Электротехника-(4623)Энергетика-(12629)Юриспруденция-(1492)Ядерная техника-(1748)

Денежные потоки

Денежный поток представляет собой распределенные во времени притоки и оттоки средств предприятия, размеры которого зависят от объема продаж, величин дебиторской и кредиторской задолженности, пополнения запасов, структуры капитала, дивидендной политики и т.п.

Общий денежный оборот предприятия складывается в процессе движения средств, обслуживающих самые разнообразные хозяйственные операции по всем направлениям финансово-хозяйственной деятельности предприятия: текущей, инвестиционной и финансовой. В сферу деятельности финансового менеджера попадают, прежде всего, операции финансового и инвестиционного характера.

Центральная задача финансового менеджера – оценка целесообразности финансовых вложений. В основе оценки лежит сравнение прибыльности рассматриваемого варианта вложений с прибыльностью безрисковых и среднерискованных вложений. В качестве безрисковых обычно рассматривают вложения в государственные ценные бумаги, в качестве среднерисковой доходности – среднерыночную доходность.

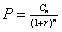
Для проведения такой оценки необходимо учесть все затраты и доходы, связанные с рассматриваемым проектом. При этом обязательным является учет разновременности затрат и доходов, т.е. необходимо будущие поступления и расходы оценить с точки зрения текущего момента, для чего они должны быть дисконтированы. Если через n лет планируется доход cn при ставке дисконтирования r, то настоящая стоимость этого будущего дохода согласно формуле (2.6) рассчитывается следующим образом:

, (2.1.9)

где cn— доход, планируемый к получению в конце n -го года;

P — текущая (или приведенная) стоимость, т.е. оценка величины cn с точки зрения текущего момента;

r — ставка дисконтирования.

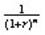
Здесь ставка дисконтирования численно равна процентной ставке, устанавливаемой инвестором, т. е. той доходности (рентабельности), которую инвестор хочет и/или может получить на инвестируемый им капитал.

Множитель называется дисконтирующим множителем, он показывает «сегодняшнюю» ценность (стоимость) одной денежной единицы будущего.

Для принятия решений о целесообразности финансовых или капитальных вложений, об использовании тех или иных финансовых активов необходимо в целом оценить денежный поток (притоки и оттоки, распределенные во времени), генерируемый рассматриваемым вариантом деятельности

Элементы денежного потока могут быть либо независимыми, либо связанными между собой определенными функциональными зависимостями. При проведении финансового анализа временные периоды чаще всего предполагаются равными. Для упрощения расчетов предполагается, что генерируемые в рамках одного временного периода поступления или расходы не распределены внутри периода, а сконцентрированы либо в его начале, либо в его конце. В первом случае денежный поток называется потоком пренумерандо, или авансовым, во втором потоком постнумерандо (рис. 1).

Рис. 1 – Графическое представление потоков пренумерандо и постнумерандо

В практических расчетах при оценке доходов чаще всего используется представление денежных потоков, как потоков постнумерандо. Потоки расходов может быть целесообразным рассматривать как потоки пренумерандо. При анализе различных схем накопления денежных средств для последующего их инвестирования также может использоваться поток пренумерандо.

Поскольку отдельные элементы денежного потока генерируются в различные временные интервалы, а деньги имеют временную ценность, непосредственное их суммирование невозможно.

Оценить денежный поток – значит определить его будущую (прямая задача) или настоящую (обратная задача) стоимость. Будущая стоимость – это стоимость денежного потока, оцениваемого на конец рассматриваемого периода. Настоящая стоимость – это стоимость денежного потока, оцениваемого на начало рассматриваемого периода.

Исходя из того, что реальный денежный поток можно рассматривать как пренумерандо, так и постнумерандо, следует, что с каждым денежным потоком связывается по крайней мере четыре оценки:

1. FVpst– будущая (наращенная) стоимость постнумерандо;

2. FVpre– будущая (наращенная) стоимость пренумерандо;

3. PVpst– настоящая (дисконтированная, приведенная) стоимость постнумерандо;

4. PVpre – настоящая (дисконтированная, приведенная) стоимость пренумерандо.

В основе суммарной оценки наращенного денежного потока лежит формула (2.6). Очевидно, что будущая стоимость денежного потока постнумерандо FVpst представляет собой сумму отдельных наращенных поступлений, т.е. в общем виде формула такова:

(2.1.10)

Основной результат расчета — определение общей величины наращенного денежного потока. Рассмотрение того же самого потока как потока пренумерандо приводит к тому, что каждый элемент денежного потока наращивается на один период дольше (не с конца соответствующего периода, а с начала – дальше от конца периода), откуда следует, что:

(2.1.11)

Приведенная стоимость денежного потока постнумерандо PVpst рассчитывается на основе формулы (2.9) в общем случае равна:

(2.1.12)

Основной результат расчета — определение общей величины приведенного денежного потока. Именно обратная задача является основной при оценке инвестиционных проектов.

Несложно увидеть, что рассмотрение того же самого потока как потока пренумерандо приводит к тому, что каждый элемент денежного потока дисконтируется на один период меньше (не с конца соответствующего периода, а с начала – ближе к началу периода), откуда следует, что:

(2.1.13)

Необходимо отметить, что ключевым моментом в рассмотренных схемах является предпосылка, что анализ ведется с позиции «разумного инвестора», т.е. инвестора, немедленно инвестирующего полученный доход (прибыль) с целью получения дополнительного дохода. Именно поэтому денежные потоки в рассмотренных случаях оцениваются по схеме сложных процентов.

<== предыдущая лекция | следующая лекция ==>
Процентные ставки и методы их начисления | Оценка аннуитетов
Поделиться с друзьями:


Дата добавления: 2014-01-03; Просмотров: 1083; Нарушение авторских прав?; Мы поможем в написании вашей работы!


Нам важно ваше мнение! Был ли полезен опубликованный материал? Да | Нет



studopedia.su - Студопедия (2013 - 2025) год. Все материалы представленные на сайте исключительно с целью ознакомления читателями и не преследуют коммерческих целей или нарушение авторских прав! Последнее добавление




Генерация страницы за: 0.011 сек.