Студопедия

КАТЕГОРИИ:


Архитектура-(3434)Астрономия-(809)Биология-(7483)Биотехнологии-(1457)Военное дело-(14632)Высокие технологии-(1363)География-(913)Геология-(1438)Государство-(451)Демография-(1065)Дом-(47672)Журналистика и СМИ-(912)Изобретательство-(14524)Иностранные языки-(4268)Информатика-(17799)Искусство-(1338)История-(13644)Компьютеры-(11121)Косметика-(55)Кулинария-(373)Культура-(8427)Лингвистика-(374)Литература-(1642)Маркетинг-(23702)Математика-(16968)Машиностроение-(1700)Медицина-(12668)Менеджмент-(24684)Механика-(15423)Науковедение-(506)Образование-(11852)Охрана труда-(3308)Педагогика-(5571)Полиграфия-(1312)Политика-(7869)Право-(5454)Приборостроение-(1369)Программирование-(2801)Производство-(97182)Промышленность-(8706)Психология-(18388)Религия-(3217)Связь-(10668)Сельское хозяйство-(299)Социология-(6455)Спорт-(42831)Строительство-(4793)Торговля-(5050)Транспорт-(2929)Туризм-(1568)Физика-(3942)Философия-(17015)Финансы-(26596)Химия-(22929)Экология-(12095)Экономика-(9961)Электроника-(8441)Электротехника-(4623)Энергетика-(12629)Юриспруденция-(1492)Ядерная техника-(1748)

Производительность труда. Производительность труда – эффективность трудовой деятельности людей




Производительность труда – эффективность трудовой деятельности людей.

Может быть производительность общественного труда (затраты живого труда работников + затраты прошлого труда овеществленные в средствах производства)

Производительность индивидуального труда (только затраты живого труда)

Увеличение производительности труда Þ увеличение объемов производства Þ снижение себестоимости Þувеличение рентабельности

Для характеристики уровня производительности труда используются следующие показатели:

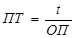
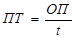
1. прямой – выпуск продукции на единицу времени (выработка продукции)

, где

ПТ – производительность труда

ОП – объем производства

t – время

2. трудоемкость – (обратный показатель) – затраты рабочего времени на единицу продукции:

Универсальными измерителями объема производства являются стоимостные показатели:

1. Реализованная продукция – стоимость готовых изделий и полуфабрикатов, а также услуг промышленного характера оплаченных потребителями.

2. Товарная продукция – стоимость выработанных и предназначенных к отпуску на сторону готовых изделий, полуфабрикатов, услуг промышленного назначения.

3. Валовая продукция – товарная продукция + стоимость прироста остатка полуфабрикатов, инструментов, штампов + изменение объемов незавершенного производства.

Для оценки производительности труда различают 5 видов трудоемкости:

1. Предельная трудоемкость – устанавливается заказчиком в техническом задании. Характеризует величину предельных допустимых затрат труда на производство.

2. Проектная трудоемкость – не может быть выше предельной и характеризует затраты труда на проектные изделия.

3. Нормативная трудоемкость - устанавливает предприятие при достижении проектной трудоемкости. Используется для расчета заработной платы, себестоимости и оптовой цены.

4. Плановая трудоемкость - планируемые затраты труда по сниженной нормативной трудоемкости

5. Фактическая трудоемкость – определяется по факту.

Сопоставлением фактической и нормативной трудоемкости выявляются резервы ее снижения. В зависимости от категорий персонала различают трудоемкость:

§ технологическую

§ обслуживания

§ производственную

§ управления

§ полную

 

ФОРМУЛЫ ДЛЯ РЕШЕНИЯ ЗАДАЧ

 




Поделиться с друзьями:


Дата добавления: 2014-01-03; Просмотров: 324; Нарушение авторских прав?; Мы поможем в написании вашей работы!


Нам важно ваше мнение! Был ли полезен опубликованный материал? Да | Нет



studopedia.su - Студопедия (2013 - 2026) год. Все материалы представленные на сайте исключительно с целью ознакомления читателями и не преследуют коммерческих целей или нарушение авторских прав! Последнее добавление




Генерация страницы за: 0.012 сек.