Студопедия

КАТЕГОРИИ:


Архитектура-(3434)Астрономия-(809)Биология-(7483)Биотехнологии-(1457)Военное дело-(14632)Высокие технологии-(1363)География-(913)Геология-(1438)Государство-(451)Демография-(1065)Дом-(47672)Журналистика и СМИ-(912)Изобретательство-(14524)Иностранные языки-(4268)Информатика-(17799)Искусство-(1338)История-(13644)Компьютеры-(11121)Косметика-(55)Кулинария-(373)Культура-(8427)Лингвистика-(374)Литература-(1642)Маркетинг-(23702)Математика-(16968)Машиностроение-(1700)Медицина-(12668)Менеджмент-(24684)Механика-(15423)Науковедение-(506)Образование-(11852)Охрана труда-(3308)Педагогика-(5571)Полиграфия-(1312)Политика-(7869)Право-(5454)Приборостроение-(1369)Программирование-(2801)Производство-(97182)Промышленность-(8706)Психология-(18388)Религия-(3217)Связь-(10668)Сельское хозяйство-(299)Социология-(6455)Спорт-(42831)Строительство-(4793)Торговля-(5050)Транспорт-(2929)Туризм-(1568)Физика-(3942)Философия-(17015)Финансы-(26596)Химия-(22929)Экология-(12095)Экономика-(9961)Электроника-(8441)Электротехника-(4623)Энергетика-(12629)Юриспруденция-(1492)Ядерная техника-(1748)

Расчет чистой дисконтированной стоимости




Анализ эффективности инвестиций

Источники финансирования

Инвестиционное планирование проекта

В настоящее время основными источниками финансирования являются:

1) бюджетные средства (около 15%);

2) внебюджетные средства (более 85%).

К внебюджетным источникам финансирования относятся:

- собственные средства застройщиков (предприятий и организаций различных форм собственности);

- собственные средства покупателей строящегося жилья;

- средства финансовых и кредитных учреждений;

- международные и финансовые ресурсы.

Собственные средства застройщиков и арендаторов строящегося зданияформируются за счет доходов предприятий, доходов населения, субъектных субсидий, субъектных кредитов.

К основным формам привлечения собственных средств в строи­тельство относят:

- банковское кредитование застройщиков.

- долевое участие в строительстве. Это наиболее распространенный вид привлечения собственных средств предприятий и населения для целей нового строительства.

Побудительными мотивами у застройщиков являются:

- ожидаемое сокращение стоимости строительства вследствие снижения рас­ходов на инфраструктуру;

- облегчение в получении разрешения на строительство от местных органов.

Данный проект строительства торгового центра финансируется за счет собственных средств заказчика.

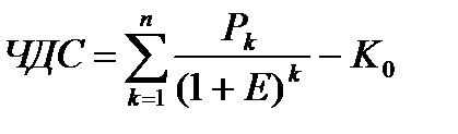
ЧДС – разница между чистой дисконтированной стоимостью будущей суммы средств и первоначальной стоимостью капитальных вложений (между отдачей капитала и вложенным капиталом).

, (4.28)

где Р1, Р2, …, Рк – годовые денежные поступления в течении К-лет (К – продолжительность расчетного периода проекта);

к – порядковый номер года в будущем, считая от даты начала строительства;

n – продолжительность расчетного периода строительства;

Е – норма дисконта (равна приемлемой для инвестора норме дохода), Е=30%;

К0 – разовые инвестиции (или капитальные вложения), или полная сметная стоимость проекта [ ].

Определение расходов на инвестиционный проект:

Начало строительства 01 апреля 2011г.

Капитальные вложения составляют 140328,37 тыс. руб.

Арендная плата за земельный участок (за 3 года) 1 652,3 тыс.руб.

Для того чтобы рассчитать ЧДС, нужно определить капитальные вложения в 1-ом, 2-ом и 3-ем годах строительства по сводному календарному графику:

1 год: 60636,09 тыс. руб.;

2 год: 69970,17 тыс. руб.

3 год: 9722,11 тыс. руб.

Определение доходов:

Рыночная стоимость объекта составляет 168 000, тыс. руб.

Разбиваем доходы по годам:

1 год: 0 тыс. руб.;

2 год: 168000 х 0,45= 75600 тыс.руб.;

3 год: 168000 х 0,60= 100800 тыс. руб.

4 год: 168000 х 0,15= 25200 тыс.руб.

Расчет денежных потоков сводим в таблицу 4.9, где будут отражены притоки и оттоки капитала по годам инвестиционного проекта.

Таблица 4.9 – Расчет денежных потоков

№ п/п Наименование объекта Годы Примечание
2009 год тыс. руб. 2010 год тыс. руб. 2011 год тыс. руб. 2012 год тыс. руб.
             
    Торговый центр 60636,09 69970,17   9722,11   Расходы
          Доходы
  Итог по годам: -60636,09 5629,83 91077,89   Денежный поток

 

ЧДС=(- 60363,09 х 1,3-1)+(5629,83 х 1,3-2)+(91077,89 х 1,3-3)+

+(25200 х 1,3-4) = 6964,25 тыс.руб.

Если ЧДС > 0, то проект эффективен.

Если ЧДС = 0, то проект ни прибыльный, ни убыточный.

Если ЧДС < 0, то проект отклоняется.

В данном варианте проект эффективен.




Поделиться с друзьями:


Дата добавления: 2015-07-13; Просмотров: 433; Нарушение авторских прав?; Мы поможем в написании вашей работы!


Нам важно ваше мнение! Был ли полезен опубликованный материал? Да | Нет



studopedia.su - Студопедия (2013 - 2026) год. Все материалы представленные на сайте исключительно с целью ознакомления читателями и не преследуют коммерческих целей или нарушение авторских прав! Последнее добавление




Генерация страницы за: 0.013 сек.