Студопедия

КАТЕГОРИИ:


Архитектура-(3434)Астрономия-(809)Биология-(7483)Биотехнологии-(1457)Военное дело-(14632)Высокие технологии-(1363)География-(913)Геология-(1438)Государство-(451)Демография-(1065)Дом-(47672)Журналистика и СМИ-(912)Изобретательство-(14524)Иностранные языки-(4268)Информатика-(17799)Искусство-(1338)История-(13644)Компьютеры-(11121)Косметика-(55)Кулинария-(373)Культура-(8427)Лингвистика-(374)Литература-(1642)Маркетинг-(23702)Математика-(16968)Машиностроение-(1700)Медицина-(12668)Менеджмент-(24684)Механика-(15423)Науковедение-(506)Образование-(11852)Охрана труда-(3308)Педагогика-(5571)Полиграфия-(1312)Политика-(7869)Право-(5454)Приборостроение-(1369)Программирование-(2801)Производство-(97182)Промышленность-(8706)Психология-(18388)Религия-(3217)Связь-(10668)Сельское хозяйство-(299)Социология-(6455)Спорт-(42831)Строительство-(4793)Торговля-(5050)Транспорт-(2929)Туризм-(1568)Физика-(3942)Философия-(17015)Финансы-(26596)Химия-(22929)Экология-(12095)Экономика-(9961)Электроника-(8441)Электротехника-(4623)Энергетика-(12629)Юриспруденция-(1492)Ядерная техника-(1748)

Формулы




1. Число групп может быть определено по формуле Стэрджесса:

,

где N – число единиц совокупности.

2. При построении группировки с равными интервалами величину интервала групп определяют по формуле

,

где - максимальное значение признака в совокупности; - минимальное значение признака в совокупности; m - число групп (устанавливается исследователем).

 

3. Относительный показатель динамики (ОПД) (или индекс динамики) — характеризует динамику процесса, т.е. изменения во времени. Это отношение уровня (значения) показателя в более поздний период к уровню этого показателя в более ранний период:

.

4. Относительный показатель плана (прогноза) (ОПП) (или индекс планового задания) — характеризует планируемое (прогнозируемое) изменение показателя:

.

5. Относительный показатель реализации плана (ОПРП) (или индекс выполнения плана) — отражает изменение фактического (достигнутого) уровня по сравнению с планом:

.

Между относительными показателями динамики, плана и реализации плана существует взаимосвязь:

ОПД = ОПП ОПРП.

 

6. Относительный показатель структуры (ОПС) — это отношение части к целому. Он характеризует структуру совокупности и показывает, какую долю (или удельный вес) во всей совокупности составляет отдельная ее часть: удельный вес женщин, мужчин, малых предприятий, частных предприятий:

7. Относительный показатель координации (ОПК) — это отношение одной части совокупности к другой части этой же совокупности, обычно той части, которая имеет наибольший удельный вес или является приоритетной с экономической, социальной точки зрения:

.

8. Относительный показатель интенсивности уровня экономического развития (ОПИ) — представляет собой степень распространения или развития какого-либо явления в определенной среде:

9 .Относительный показатель сравнения (ОПСр) — отношение одноименных величин, относящихся к разным объектам или разным территориям, но взятых за одно и то же время:

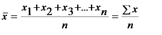
10. Средняя арифметическая простая равна:

11. Средняя арифметическая взвешенная равна:

 

12. Средняя гармоническая простая равна:

13. Средняя гармоническая взвешенная равна:

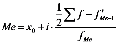
14. В интервальном вариационном ряду для нахождения медианы применяется формула

,

где х 0 - нижняя граница медианного интервала;

- сумма частот;

- накопленная частота интервала, предшествующего медианному

- частота медианного интервала.

15. Точечная мода:

,

где х 0 - нижняя граница модального интервала;

i - величина модального интервала;

- частота модального интервала;

- частота интервала, предшествующего модальному;

- частота интервала, следующего за модальным.

16. Размах вариации - это разность между наибольшим () и наименьшим () значениями вариантов:

.

17. Среднее линейное отклонение определяется как средняя арифметическая из отклонений индивидуальных значений от средней, без учета знака этих отклонений:

- среднее линейное отклонение невзвешенное,

- среднее линейное отклонение взвешенное,

где - абсолютное значение отклонений.

18. Дисперсия - это средняя арифметическая квадратов отклонений каждого значения признака от общей средней. Дисперсия обычно называется средним квадратом отклонений и обозначается .

— дисперсия невзвешенная (простая);

— дисперсия взвешенная.

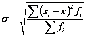
19. Среднее квадратическое отклонение - это обобщающая характеристика абсолютных размеров вариации признака в совокупности.

Среднее квадратическое отклонение представляет собой корень квадратный из дисперсии и обозначается :

— среднее квадратическое отклонение невзвешенное;

— среднее квадратическое отклонение взвешенное.

20. Коэффициент осцилляции отражает относительную колеблемость крайних значений признака вокруг средней.

21. Относительное линейное отклон ение характеризует долю усредненного значения абсолютных отклонений от средней величины.

22. Коэффициент вариации.

 

23. Правило сложений дисперсий для средней величины признака:

,

где - общая дисперсия;

- средняя из внутригрупповых дисперсий;

- межгрупповая дисперсия.

Таким образом, общая дисперсия складывается из двух слагаемых: первое – измеряет вариацию внутри частей совокупности, а второе – вариацию между средними этих частей.

24. Средняя из внутригрупповых дисперсий:

,

где – групповые дисперсии; - число единиц в группах.

25. Межгрупповая дисперсия:

,

где – групповые средние; - общая средняя.

26. Выборочная доля, или частость, определяется из отношения единиц, обладающих изучаемым признаком m, к общей численности единиц выборочной совокупности n:

.

27. Средняя ошибка выборочной средней рассчитывается по формуле:

,

где — средняя ошибка выборочной средней;

— дисперсия выборочной совокупности;

n — численность выборки.

При бесповторном отборе она рассчитывается по формуле:

,

где N — численность генеральной совокупности.

28. Определение ошибки выборочной доли.

При повторном отборе средняя ошибка выборочной доли рассчитывается по формуле:

,

где — выборочная доля единиц, обладающих изучаемым признаком;

— число единиц, обладающих изучаемым признаком;

— численность выборки.

При бесповторном способе отбора средняя ошибка выборочной доли определяется по формулам:

.

29. Предельная ошибка выборки связана со средней ошибкой выборки отношением:

.

 

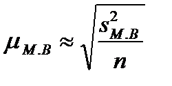
30. Средняя ошибка малой выборки вычисляется по формуле:

,

где — дисперсия малой выборки.

31. Балансовая связь — характеризует зависимость между источниками формирования ресурсов (средств) и их использованием.

— остаток товаров на начало отчетного периода;

— поступление товаров за период;

— выбытие товаров в изучаемом периоде;

— остаток товаров на конец отчетного периода.

Левая часть формулы характеризует предложение товаров

, а правая часть — использование товарных ресурсов .

 

32. Интервальный ряд абсолютных величин с равными периодами (интервалами времени): .

33. Моментный ряд с равными интервалами между датами:

34. Моментный ряд с неравными интервалами между датами: , где - уровни ряда, сохраняющиеся без изменения на протяжении интервала времени .

35. Коэффициент роста - относительный показатель, получающийся в результате деления двух уровней одного ряда друг на друга.

, .

36. Абсолютный прирост - разность между двумя уровнями ряда динамики, имеет ту же размерность, что и уровни самого ряда динамики.

цепной абсолютный прирост - ;

базисный абсолютный прирост - .

37. Коэффициенты роста, представленные в виде процентов, называются темпами роста: К∙100% = Т.

Темп прироста - относительный показатель, показывающий, на сколько процентов один уровень ряда динамики больше (или меньше) другого, принимаемого за базу для сравнения: Т = Т - 100%.

 

38. Абсолютное значение одного процента прироста: .

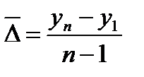
39. Средний абсолютный прирост может быть получен по одной из формул:

или , где n - число уровней ряда динамики;

- первый уровень ряда динамики;

- последний уровень ряда динамики;

- цепные абсолютные приросты.

40. Средний коэффициент роста можно определить, пользуясь формулами:

; ; ,

где n - число рассчитанных цепных или базисных темпов роста;

- уровень ряда, принятый за базу для сравнения;

- последний уровень ряда;

- цепные коэффициенты роста;

- первый базисный коэффициент роста;

- последний базисный коэффициент роста.

41. Средний темп роста вычисляется по формуле:

.

42. Средний темп прироста:

, или .

43. Средняя величина абсолютного значения 1% прироста:

.




Поделиться с друзьями:


Дата добавления: 2015-08-31; Просмотров: 804; Нарушение авторских прав?; Мы поможем в написании вашей работы!


Нам важно ваше мнение! Был ли полезен опубликованный материал? Да | Нет



studopedia.su - Студопедия (2013 - 2026) год. Все материалы представленные на сайте исключительно с целью ознакомления читателями и не преследуют коммерческих целей или нарушение авторских прав! Последнее добавление




Генерация страницы за: 0.013 сек.