Студопедия

КАТЕГОРИИ:


Архитектура-(3434)Астрономия-(809)Биология-(7483)Биотехнологии-(1457)Военное дело-(14632)Высокие технологии-(1363)География-(913)Геология-(1438)Государство-(451)Демография-(1065)Дом-(47672)Журналистика и СМИ-(912)Изобретательство-(14524)Иностранные языки-(4268)Информатика-(17799)Искусство-(1338)История-(13644)Компьютеры-(11121)Косметика-(55)Кулинария-(373)Культура-(8427)Лингвистика-(374)Литература-(1642)Маркетинг-(23702)Математика-(16968)Машиностроение-(1700)Медицина-(12668)Менеджмент-(24684)Механика-(15423)Науковедение-(506)Образование-(11852)Охрана труда-(3308)Педагогика-(5571)Полиграфия-(1312)Политика-(7869)Право-(5454)Приборостроение-(1369)Программирование-(2801)Производство-(97182)Промышленность-(8706)Психология-(18388)Религия-(3217)Связь-(10668)Сельское хозяйство-(299)Социология-(6455)Спорт-(42831)Строительство-(4793)Торговля-(5050)Транспорт-(2929)Туризм-(1568)Физика-(3942)Философия-(17015)Финансы-(26596)Химия-(22929)Экология-(12095)Экономика-(9961)Электроника-(8441)Электротехника-(4623)Энергетика-(12629)Юриспруденция-(1492)Ядерная техника-(1748)

Расчет плиты по деформациям




Расчет плиты по раскрытию трещин

Расчет по раскрытию трещин производится из условия

(2.26)

где - расчётная ширина раскрытия трещин;

- предельно допустимая ширина раскрытия трещин, принимаемая по таблице 5.1 [1].

(2.27)

где d - диаметр рабочей арматуры.

Так как принимаем, что элемент работает с трещинами в растянутой зоне.

Определяем напряжения в арматуре:

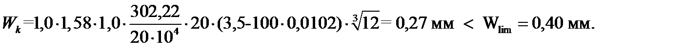
(2.28)

;

, т.е. ширина раскрытия трещин меньше предельно допустимой ширины.

 

 

Предельно допустимый прогиб устанавливают с учётом технологических, конструктивных и эстетических требований. Для элементов перекрытий с плоским потолком предельный прогиб не должен превышать

Расчётный прогиб плит определяют по приближенной формуле:

(2.29)

Кривизну изгибаемых элементов без предварительного напряжения вычисляем по формуле:

(2.30)

где - коэффициент, учитывающий неравномерность распределения деформаций крайнего сжатого волокна по длине участка с трещинами; для тяжёлого бетона

- коэффициент, учитывающий работу растянутого бетона на участках с трещинами, вычисляется по формуле;

(2.31)

η1 = η1s;

где (2.32)

(2.33)

где (2.34)

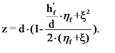
Расстояние от центра тяжести площади сечения арматуры до точки приложения равнодействующей в сжатой зоне бетона:

(2.35)

Определим относительную высоту сжатой зоны бетона , предварительно вычислив и .

(2.36)

(2.37)

где (2.38)

(2.39)

т.е. прогиб плиты меньше предельно допустимого.

 

2.3 Расчёт и конструирование ригеля




Поделиться с друзьями:


Дата добавления: 2015-08-31; Просмотров: 491; Нарушение авторских прав?; Мы поможем в написании вашей работы!


Нам важно ваше мнение! Был ли полезен опубликованный материал? Да | Нет



studopedia.su - Студопедия (2013 - 2026) год. Все материалы представленные на сайте исключительно с целью ознакомления читателями и не преследуют коммерческих целей или нарушение авторских прав! Последнее добавление




Генерация страницы за: 0.011 сек.