Студопедия

КАТЕГОРИИ:


Архитектура-(3434)Астрономия-(809)Биология-(7483)Биотехнологии-(1457)Военное дело-(14632)Высокие технологии-(1363)География-(913)Геология-(1438)Государство-(451)Демография-(1065)Дом-(47672)Журналистика и СМИ-(912)Изобретательство-(14524)Иностранные языки-(4268)Информатика-(17799)Искусство-(1338)История-(13644)Компьютеры-(11121)Косметика-(55)Кулинария-(373)Культура-(8427)Лингвистика-(374)Литература-(1642)Маркетинг-(23702)Математика-(16968)Машиностроение-(1700)Медицина-(12668)Менеджмент-(24684)Механика-(15423)Науковедение-(506)Образование-(11852)Охрана труда-(3308)Педагогика-(5571)Полиграфия-(1312)Политика-(7869)Право-(5454)Приборостроение-(1369)Программирование-(2801)Производство-(97182)Промышленность-(8706)Психология-(18388)Религия-(3217)Связь-(10668)Сельское хозяйство-(299)Социология-(6455)Спорт-(42831)Строительство-(4793)Торговля-(5050)Транспорт-(2929)Туризм-(1568)Физика-(3942)Философия-(17015)Финансы-(26596)Химия-(22929)Экология-(12095)Экономика-(9961)Электроника-(8441)Электротехника-(4623)Энергетика-(12629)Юриспруденция-(1492)Ядерная техника-(1748)

Соединения вал-ступица




Принимается согласно ГОСТ 23360-78 размеры b, h и t1 соответствующие диаметрам соединений вал-ступица рассчитывается длины шпонок:

- для колеса быстроходной ступени: для соединения промежуточного вала и ступицы колеса быстрой передачи. Параметры вала в таблице 4.2.1.

 

Таблица 4.2.1.    
Диаметр вала d Сечение шпонки bxh Глубина шпоночного паза на валу t1
  10x8  

 

 

Определяется рабочая длина шпонки:

; (4.13)

 

где – допускаемое напряжение на смятие [1];

;

 

Определяется длина шпонки со скруглёнными торцами:

; (4.14)

 

округляется до ближайшего большего по ГОСТ 23360-78 и принимается l=36мм;

Назначается длина ступицы:

 

; (4.15)

 

принимается lст = 45мм

Проверяется соответствие полученного значения длины ступицы условию:

; (4.16)

 

– поскольку полученное значение lст находится в пределах данного интервала, размеры соединения рассчитаны верно;

 

- для колеса тихоходной ступени: для соединения тихоходного вала и ступицы колеса тихоходной передачи. Параметры вала в таблице 4.2.2.

Таблица 4.2.2.  
Диаметр вала d Сечение шпонки bxh Глубина шпоночного паза на валу t1
  18x11  

 

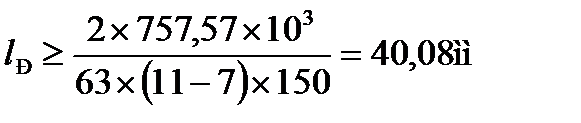
Определяется рабочая длина шпонки:

;

 

Определяется длина шпонки со скруглёнными торцами:

; (4.17)

 

округляется до ближайшего большего по ГОСТ 23360-78 и принимается ;

назначается длина ступицы:

 

; (4.18)

по ГОСТ 6636-69 принимается lст =71мм;

Проверяется соответствие полученного значения длины ступицы условию

 

; (4.19)

 

– поскольку полученное значение lст находится в пределах данного интервала, размеры соединения рассчитаны верно;

 

- для концевого участка быстроходной ступени: подбор шпонки для выходного конца быстроходного вала. Параметры вала в таблице 4.2.3.

Таблица 4.2.3.    
Диаметр вала d Сечение шпонки bxh Глубина шпоночного паза на валу t1
30,4 10x8  

 

Определяется рабочая длина шпонки:

 

;

Определяется длина шпонки со скруглёнными торцами:

 

; (4.20)

 

по ГОСТ 23360-78 принимается l=18мм;

Назначается длина концевого участка по ГОСТ 12081 – 72 lky = 50мм.

 

- для концевого участка тихоходной ступени: подбор шпонки для выходного конца тихоходного вала. Параметры вала в таблице 4.2.4.

Таблица 4.2.4.    
Диаметр вала d Сечение шпонки bxh Глубина шпоночного паза на валу t1
  16х10  

 

 

Определяется рабочая длина шпонки:

 

;

 

Определяется длина шпонки со скруглёнными торцами:

 

; (4.21)

 

округляется до ближайшего большего по ГОСТ 23360-78 и принимается l=70мм. Назначается длина концевого участка по ГОСТ 12081 – 72 lky = 82мм.

 




Поделиться с друзьями:


Дата добавления: 2015-08-31; Просмотров: 488; Нарушение авторских прав?; Мы поможем в написании вашей работы!


Нам важно ваше мнение! Был ли полезен опубликованный материал? Да | Нет



studopedia.su - Студопедия (2013 - 2025) год. Все материалы представленные на сайте исключительно с целью ознакомления читателями и не преследуют коммерческих целей или нарушение авторских прав! Последнее добавление




Генерация страницы за: 0.007 сек.