Студопедия

КАТЕГОРИИ:


Архитектура-(3434)Астрономия-(809)Биология-(7483)Биотехнологии-(1457)Военное дело-(14632)Высокие технологии-(1363)География-(913)Геология-(1438)Государство-(451)Демография-(1065)Дом-(47672)Журналистика и СМИ-(912)Изобретательство-(14524)Иностранные языки-(4268)Информатика-(17799)Искусство-(1338)История-(13644)Компьютеры-(11121)Косметика-(55)Кулинария-(373)Культура-(8427)Лингвистика-(374)Литература-(1642)Маркетинг-(23702)Математика-(16968)Машиностроение-(1700)Медицина-(12668)Менеджмент-(24684)Механика-(15423)Науковедение-(506)Образование-(11852)Охрана труда-(3308)Педагогика-(5571)Полиграфия-(1312)Политика-(7869)Право-(5454)Приборостроение-(1369)Программирование-(2801)Производство-(97182)Промышленность-(8706)Психология-(18388)Религия-(3217)Связь-(10668)Сельское хозяйство-(299)Социология-(6455)Спорт-(42831)Строительство-(4793)Торговля-(5050)Транспорт-(2929)Туризм-(1568)Физика-(3942)Философия-(17015)Финансы-(26596)Химия-(22929)Экология-(12095)Экономика-(9961)Электроника-(8441)Электротехника-(4623)Энергетика-(12629)Юриспруденция-(1492)Ядерная техника-(1748)

Релятивистская динамика. Я лекция. Релятивистские выражения для энергии и импульса частицы

Я лекция. Релятивистские выражения для энергии и импульса частицы

 

Релятивистские выражения для энергии и импульса частицы.

Преобразование импульса и энергии. Энергия покоя. Взаимосвязь массы и энергии. Частицы с нулевой массой. Понятие о 4-х векторах в специальной теории относительности.

Принцип относительности Эйнштейна утверждает, что все законы природы инвариантны по отношению к переходу от одной инерциальной системы отсчета к другой. Уравнения Ньютона, как мы знаем, инвариантны по отношению к преобразованиям Галилея (см. т. I, § 17). Однако легко убедиться в том, что по отношению к преобразованиям Лоренца эти уравнения не инвариантны. С этой целью рассмотрим, как выглядит в инерциальных системах К и К' абсолютно неупругое центральное столкновение двух одинаковых шаров (рис. 145, а). Пусть система К' движется относительно системы К со скоростью v. В системе К шары движутся навстречу друг другу вдоль оси х с одинаковыми по величине скоростями, проекции которых на ось к равны: u x1 = v и u х2 = — v. При этих условиях после столкновения шары в системе К будут покоиться: u x1 = u х2 = 0. Полный импульс системы и до и после столкновения равен нулю — в системе К импульс сохраняется.

Теперь рассмотрим тот же процесс в системе К.'. Воспользовавшись первой из формул (40.3), найдем для скоростей шаров до столкновения значения u' x1= 0 и
u'х2= — 2 v /(l + v 22), а для скоростей шаров после столкновения значение u' x1 = u'х2 = - v. Полагая, как это делается в ньютоновской механике, массу шаров инвариантной, получим для суммарного импульса до столкновения значение —2 mv /(1 + v 2/ c 2) и после столкновения — значение —2 mv. Таким образом, исходя из представлений ньютоновской механики, мы пришли к выводу, будто в системе К' импульс не сохраняется. Один из основных законов механики — закон сохранения импульса —

1) Строгое рассмотрение требует учета распределения молекул по скоростям. Под v в (41.9) подразумевается наиболее вероятная скорость молекул.

в ньютоновской формулировке оказывается не инвариантным.

Инвариантная относительно преобразований Лоренца форма уравнений механики была найдена Эйнштейном. Рассуждения Эйнштейна слишком сложны для того, чтобы их излагать на страницах учебника общей физики. Поэтому мы выберем другой путь. Прежде всего заметим, что сохранение суммарного импульса шаров в системе К.' можно получить, если допустить, что масса шара зависит от величины его скорости. Для выяснения вида этой зависимости рассмотренное нами неупругое столкновение не годится, поскольку при таком соударении не сохраняется кинетическая энергия системы, что, как мы увидим ниже, приводит к дополнительному своеобразному эффекту. Поэтому мы рассмотрим другой мысленный эксперимент, предложенный Толменом.

Рассмотрим абсолютно упругое соударение двух одинаковых шаров, которое в системе К выглядит так, как показано на рис. 145, б 1). Проекции на оси системы К скоростей шаров до и после соударения имеют значения, приведенные в табл. 2.

Легко видеть, что в системе К имеет место сохранение как импульса, так и энергии (указанные в третьей строке таблицы величины скоростей шаров и до и после соударения одинаковы).

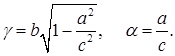
Теперь рассмотрим тот же процесс в системе К', движущейся относительно К со скоростью v, равной а. Расчет по формулам (40.3) дает для проекций скоростей значения, приведенные во второй части табл. 2. Для упрощения записей применены обозначения:

(42.1)

 

В последней строке таблицы даны величины скоростей шаров до и после удара.

Из табл. 2 следует, что составляющая суммарного импульса по оси х' будет одинакова до и после удара при любой зависимости т от и' (величина скорости и ' для каждого из шаров до и после удара одна и та же, проекция скорости на ось х' также одна и та же). Иначе обстоит дело с составляющей импульса по оси у'. В предположении инвариантности массы для проекции суммарного импульса на ось у' получаются значения

 

до удара и

 

после удара. Поскольку эти значения неодинаковы, мы приходим к несохранению импульса.

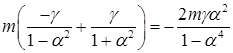
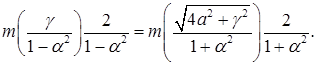
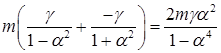
Допустим, что т = т(и'), и потребуем сохранения проекции суммарного импульса на ось у'. В результате получим следующее функциональное уравнение:

 

Сократив на отличный от нуля общий множитель γ и приведя подобные члены, придем к соотношению:

(42.2)

 

 

<== предыдущая лекция | следующая лекция ==>
Одновременность событий в разных системах отсчета | Понятие об общей теории относительности
Поделиться с друзьями:


Дата добавления: 2014-01-04; Просмотров: 489; Нарушение авторских прав?; Мы поможем в написании вашей работы!


Нам важно ваше мнение! Был ли полезен опубликованный материал? Да | Нет



studopedia.su - Студопедия (2013 - 2026) год. Все материалы представленные на сайте исключительно с целью ознакомления читателями и не преследуют коммерческих целей или нарушение авторских прав! Последнее добавление




Генерация страницы за: 0.013 сек.