Студопедия

КАТЕГОРИИ:


Архитектура-(3434)Астрономия-(809)Биология-(7483)Биотехнологии-(1457)Военное дело-(14632)Высокие технологии-(1363)География-(913)Геология-(1438)Государство-(451)Демография-(1065)Дом-(47672)Журналистика и СМИ-(912)Изобретательство-(14524)Иностранные языки-(4268)Информатика-(17799)Искусство-(1338)История-(13644)Компьютеры-(11121)Косметика-(55)Кулинария-(373)Культура-(8427)Лингвистика-(374)Литература-(1642)Маркетинг-(23702)Математика-(16968)Машиностроение-(1700)Медицина-(12668)Менеджмент-(24684)Механика-(15423)Науковедение-(506)Образование-(11852)Охрана труда-(3308)Педагогика-(5571)Полиграфия-(1312)Политика-(7869)Право-(5454)Приборостроение-(1369)Программирование-(2801)Производство-(97182)Промышленность-(8706)Психология-(18388)Религия-(3217)Связь-(10668)Сельское хозяйство-(299)Социология-(6455)Спорт-(42831)Строительство-(4793)Торговля-(5050)Транспорт-(2929)Туризм-(1568)Физика-(3942)Философия-(17015)Финансы-(26596)Химия-(22929)Экология-(12095)Экономика-(9961)Электроника-(8441)Электротехника-(4623)Энергетика-(12629)Юриспруденция-(1492)Ядерная техника-(1748)

Пирсона

r-Пирсона (Pearson r) применяется для изучения взаимосвязи двух метрических переменных, измеренных на одной и той же выборке. Существует множество ситуаций, в которых уместно его применение. Влияет ли интеллект на успеваемость на старших курсах университета? Связан ли размер заработной платы работника с его доброжелательностью к коллегам? Влияет ли настроение школьника на успешность решения сложной арифметической задачи? Для ответа на подобные вопросы исследователь должен измерить два интересующих его показателя у каждого члена выборки. Данные для изучения взаимосвязи затем сводятся в таблицу, как в приведенном ниже примере.

 

ПРИМЕР

В таблице приведен пример исходных данных измерения двух показателей интеллекта (вербального и невербального) у 20 учащихся 8-го класса.

 

Вербальный IQ (х) Невербальный IQ (у)
     
     
     
     
     
     
     
     
     
     
     
     
     
     
     
     
     
     
     
     
Средние: 9,8 10,4

 

Связь между этими переменными можно изобразить при помощи диаграммы рассеивания (см. рис. 3). Диаграмма показывает, что существует некоторая взаимосвязь измеренных показателей: чем больше значения вербального интеллекта, тем (преимущественно) больше значения невербального интеллекта.

Прежде чем дать формулу коэффициента корреляции, попробуем проследить логику ее возникновения, используя данные примера 6.1. Положение каждой /-точки (испытуемого с номером i) на диаграмме рассеивания относительно остальных точек (рис.3) может быть задано величинами и знаками отклонений соответствующих значений переменных от своих средних величин: (Xj— Мх) и (yj — My). Если знаки этих отклонений совпадают, то это свидетельствует в пользу положительной взаимосвязи (большие значения по у или меньшим значениям по х соответствуют меньшие значения по у).

Рис. 3 Диаграмма рассеивания для примера.

ПРИМЕР

Для испытуемого № 1 отклонение от среднего по х и по у положительное, а для испытуемого № 3 и то и другое отклонения отрицательные. Следовательно, данные того и другого свидетельствуют о положительной взаимосвязи изучаемых признаков. Напротив, если знаки отклонений от средних по х и по у различаются, то это будет свидетельствовать об отрицательной взаимосвязи между признаками. Так, для испытуемого № 4 отклонение от среднего по х является отрицательным, по у — положительным, а для испытуемого № 9 — наоборот.

Таким образом, если произведение отклонений (х i — Мх)*(y i — My) положительное, то данные /-испытуемого свидетельствуют о прямой (положительной) взаимосвязи, а если отрицательное — то об обратной (отрицательной) взаимосвязи. Соответственно, если х и у ъ основном связаны прямо пропорционально, то большинство произведений отклонений будет положительным, а если они связаны обратным соотношением, то большинство произведений будет отрицательным. Следовательно, общим показателем для силы и направления взаимосвязи может служить сумма всех произведений отклонений для данной выборки:

При прямо пропорциональной связи между переменными эта величина является большой и положительной — для большинства испытуемых отклонения совпадают по знаку (большим значениям одной переменной соответствуют большие значения другой переменной и наоборот). Если же х и у имеют обратную связь, то для большинства испытуемых большим значениям одной переменной будут соответствовать меньшие значения другой переменной, т. е. знаки произведений будут отрицательными, а сумма произведений в целом будет тоже большой по абсолютной величине, но отрицательной по знаку. Если систематической связи между переменными не будет наблюдаться, то положительные слагаемые (произведения отклонений) уравновесятся отрицательными слагаемыми, и сумма всех произведений отклонений будет близка к нулю.

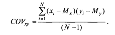
Чтобы сумма произведений не зависела от объема выборки, достаточно ее усреднить. Но мера взаимосвязи нас интересует не как генеральный параметр, а как вычисляемая его оценка — статистика. Поэтому, как и для формулы дисперсии, в этом случае поступим так же, делим сумму произведений отклонений не на N, а на N— 1. Получается мера связи, широко применяемая в физике и технических науках, которая называется ковариацией (Covariance):

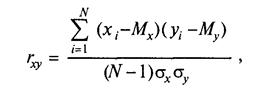
В психологии, в отличие от физики, большинство переменных измеряются в произвольных шкалах, так как психологов интересует не абсолютное значение признака, а взаимное расположение испытуемых в группе. К тому же ковариация весьма чувствительна к масштабу шкалы (дисперсии), в которой измерены признаки. Чтобы сделать меру связи независимой от единиц измерения того и другого признака, достаточно разделить ковариацию на соответствующие стандартные отклонения. Таким образом и была получена формула коэффициента корреляции К. Пирсона.

Или, после подстановки σx и σy, получим:

Приведенное выше уравнение является основной формулой коэффициента корреляции Пирсона. Эта формула вполне осмысленна, но не очень удобна для вычислений «вручную» или на калькуляторе. Поэтому существуют производные формулы — более громоздкие по виду, менее доступные осмыслению, но упрощающие расчеты. Мы не будем их здесь приводить, так как один раз в жизни можно в учебных целях посчитать корреляцию Пирсона и по исходной формуле «вручную», а в дальнейшем для обработки реальных данных все равно придется воспользоваться компьютерными программами.

ПРИМЕР

Для расчета коэффициента корреляции воспользуемся данными предыдущего примера о вербальном и невербальном IQ, измеренном у 20 учащихся 8-го класса. К двум столбцам с исходными данными добавляются еще 5 столбцов для дополнительных расчетов, и внизу — строка сумм.

 

 

X Y (х,-Мх) (У,-Му) (х,-Мх)2 (y,-My) (х,-Мг){у,-М,)
      3,2 1,6 10,24 2,56 5,12
      -0,8 0,6 0,64 0,36 -0,48
      -1,8 -2,4 3,24 5,76 4,32
      -0,8 1,6 0,64 2,56 -1,28
      -2,8 -1,4 7,84 1,96 3,92
      -0,8 0,6 0,64 0,36 -0,48
      -1,8 -1,4 3,24 1,96 2,52
      3,2 2,6 10,24 6,76 8,32
  И   1,2 -1,4 1,44 1,96 -1,68
      2,2 -0,4 4,84 0,16 -0,88
      -1,8 -1,4 3,24 1,96 2,52
      -0,8 -2,4 0,64 5,76 1,92
      0,2 -0,4 0,04 0,16 -0,08
      0,2 1,6 0,04 2,56 0,32
      2,2 -0,4 4,84 0,16 -0,88
      0,2 -0,4 0,04 0,16 -0,08
      -1,8 0,6 3,24 0,36 -1,08
      -0,8 -0,4 0,64 0,16 0,32
      0,2 0,6 0,04 0,36 0,12
      1,2 2,6 1,44 6,76 3,12
Σ         57,2 42,8 25,6
                 

 

На первом шаге подсчитываются суммы всех значений одного, затем — другого признака для вычисления соответствующих средних значений Мх и Му: Мх = 9,8; Му= 10,4.

Далее для каждого испытуемого вычисляются отклонения от среднего: для Х идля Y. Каждое отклонение от среднего возводится в квадрат. В последнем столбике записывается результат перемножения двух отклонений от среднего для каждого испытуемого.

Суммы отклонений от среднего для каждой переменной должны быть равны нулю (с точностью до погрешности вычислений). Сумма квадратов отклонений необходима для вычисления стандартных отклонений по известной формуле

Сумма произведений отклонений дает нам значение числителя, а произведение стандартных отклонений и (N — 1) — значение знаменателя формулы коэффициента корреляции.

Отметим еще раз: на величину коэффициента корреляции не влияет то, в каких единицах измерения представлены признаки. Следовательно, любые линейные преобразования признаков (умножение на константу, прибавление константы: yt = хр + а) не меняют значения коэффициента корреляции. Исключением является умножение одного из признаков на отрицательную константу: коэффициент корреляции меняет свой знак на противоположный.

На рис. 2 приведены примеры диаграмм рассеивания для различных значений коэффициента корреляции. Обратите внимание: на последнем рисунке визуально наблюдается нелинейная взаимосвязь между переменными, однако коэффициент корреляции равен нулю. Таким образом, коэффициент корреляции Пирсона есть мера прямолинейной взаимосвязи; он не чувствителен к криволинейным связям.


<== предыдущая лекция | следующая лекция ==>
Понятие корреляции | Коэффициент корреляции. Коэффициент корреляции рангов, предложенный к Спирменом, относится к непараметрическим показателям связи между переменными
Поделиться с друзьями:


Дата добавления: 2013-12-13; Просмотров: 614; Нарушение авторских прав?; Мы поможем в написании вашей работы!


Нам важно ваше мнение! Был ли полезен опубликованный материал? Да | Нет



studopedia.su - Студопедия (2013 - 2026) год. Все материалы представленные на сайте исключительно с целью ознакомления читателями и не преследуют коммерческих целей или нарушение авторских прав! Последнее добавление




Генерация страницы за: 0.008 сек.