Студопедия

КАТЕГОРИИ:


Архитектура-(3434)Астрономия-(809)Биология-(7483)Биотехнологии-(1457)Военное дело-(14632)Высокие технологии-(1363)География-(913)Геология-(1438)Государство-(451)Демография-(1065)Дом-(47672)Журналистика и СМИ-(912)Изобретательство-(14524)Иностранные языки-(4268)Информатика-(17799)Искусство-(1338)История-(13644)Компьютеры-(11121)Косметика-(55)Кулинария-(373)Культура-(8427)Лингвистика-(374)Литература-(1642)Маркетинг-(23702)Математика-(16968)Машиностроение-(1700)Медицина-(12668)Менеджмент-(24684)Механика-(15423)Науковедение-(506)Образование-(11852)Охрана труда-(3308)Педагогика-(5571)Полиграфия-(1312)Политика-(7869)Право-(5454)Приборостроение-(1369)Программирование-(2801)Производство-(97182)Промышленность-(8706)Психология-(18388)Религия-(3217)Связь-(10668)Сельское хозяйство-(299)Социология-(6455)Спорт-(42831)Строительство-(4793)Торговля-(5050)Транспорт-(2929)Туризм-(1568)Физика-(3942)Философия-(17015)Финансы-(26596)Химия-(22929)Экология-(12095)Экономика-(9961)Электроника-(8441)Электротехника-(4623)Энергетика-(12629)Юриспруденция-(1492)Ядерная техника-(1748)

Дифференцирование неявной функции и функции, заданной параметрически

 

 

1. Дифференцирование функции, заданной неявно

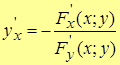
Пусть функция y=y(x) задана неявно, т.е. F(x;y)= 0 или F(x;y(x))= 0.

Если функция F(x;y) – непрерывно дифференцируема в некоторой области D координатной плоскости X0Y, причем, частная производная функции двух переменных , то можно доказать, что

 

.

 

Эта формула будет доказана далее в разделе «Функции нескольких переменных». Следует заметить, что переменные в функции F(x;y) считаются независимыми.

Однако не обязательно разрешать уравнение F(x;y)= 0 относительно y. Достаточно продифференцировать это уравнение, считая y не переменной, а функцией аргумента x.

 

Ex. 1. Вычислить производную , если уравнение задано неявно .

Решение.

Продифференцируем это уравнение по переменной x, считая y=y(x), тогда получим

.

Откуда или, учитывая (из заданного уравнения), что , получим .

.

 

 

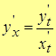
2. Дифференцирование функции, заданной параметрически

Пусть функция y=y(x) задана параметрически, т.е.

 

где параметр

 

По правилу дифференцирования сложной и обратной функции

.

 

Т.о.,

.

 

Ex. 2. Найти производную , если функция задана параметрически

 

Решение.

 

, т.о.,

 

 

ГЛАВА 7. Теоремы о среднем

8.1. Теорема Ферма [13]

 

Т. (Теорема Ферма) Пусть функция y=f(x) определена и непрерывна на отрезке [a;b] и дифференцируема на интервале (a;b). Тогда, если в т. функция достигает локального экстремума, то .

 

Note 1 Локальным экстремумом называют локальный («местный») максимум или минимум.

 

Proof:

 

Пусть в т. функция y=f(x) достигает локального максимума.

 
 

 


По определению производной .

 

Note 2 Приращение аргумента может быть любым, т.е. или .

1. Пусть , т.к. числитель имеет знак «-», а знаменатель знак «+».

2. Пусть , т.к. числитель имеет знак «-», и знаменатель знак «-».

 

Note 3 f '(c) – значение производной в т. с. Это значение не может быть одновременно меньше или больше нуля. Т.о. f '(c) =0, ч. т. д.

 

8.2. Теорема Ролля [14]

 

Т. (Теорема Ролля) Пусть функция y=f(x) определена и непрерывна на отрезке [a;b] и дифференцируема на интервале (a;b). Тогда, если на концах отрезка функция принимает равные значения f(a)=f(b), то .

Proof:

По второй теореме Вейерштрасса – функция, непрерывная на отрезке, достигает своего максимального М и минимального m значения.

Возможны два варианта:

1. Пусть М=m на [a;b] функция .

Тогда в т. , ч.т.д.

2. Пусть , тогда по теореме Ферма (п.7.1.) , ч.т.д.

 

7.3. Теорема Лагранжа [15]. Геометрический смысл

 

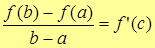
Т. (Теорема Лагранжа) Пусть функция y=f(x) определена и непрерывна на отрезке [a;b] и дифференцируема на интервале (a;b). Тогда, .

 

Proof:

 

Чтобы воспользоваться теоремой Роля (п.7.2.) введем вспомогательную функцию

.

Очевидно, что и , тогда по теореме Роля .

Но, производная .

В т.производная (по теореме Ролля).

Или , ч.т.д.

 

Геометрический смысл

 

Очевидно, что тангенс угла «наклона» хорды, соединяющей точки и к оси ОХ.

угловой коэффициент касательной к графику функции в т. .

Note Таким образом, тангенс угла «наклона» хорды равен угловому коэффициенту касательной в т. .

 

 

<== предыдущая лекция | следующая лекция ==>
Производные и дифференциалы высших порядков | Формула конечных приращений
Поделиться с друзьями:


Дата добавления: 2014-01-06; Просмотров: 1364; Нарушение авторских прав?; Мы поможем в написании вашей работы!


Нам важно ваше мнение! Был ли полезен опубликованный материал? Да | Нет



studopedia.su - Студопедия (2013 - 2025) год. Все материалы представленные на сайте исключительно с целью ознакомления читателями и не преследуют коммерческих целей или нарушение авторских прав! Последнее добавление




Генерация страницы за: 0.01 сек.