Студопедия

КАТЕГОРИИ:


Архитектура-(3434)Астрономия-(809)Биология-(7483)Биотехнологии-(1457)Военное дело-(14632)Высокие технологии-(1363)География-(913)Геология-(1438)Государство-(451)Демография-(1065)Дом-(47672)Журналистика и СМИ-(912)Изобретательство-(14524)Иностранные языки-(4268)Информатика-(17799)Искусство-(1338)История-(13644)Компьютеры-(11121)Косметика-(55)Кулинария-(373)Культура-(8427)Лингвистика-(374)Литература-(1642)Маркетинг-(23702)Математика-(16968)Машиностроение-(1700)Медицина-(12668)Менеджмент-(24684)Механика-(15423)Науковедение-(506)Образование-(11852)Охрана труда-(3308)Педагогика-(5571)Полиграфия-(1312)Политика-(7869)Право-(5454)Приборостроение-(1369)Программирование-(2801)Производство-(97182)Промышленность-(8706)Психология-(18388)Религия-(3217)Связь-(10668)Сельское хозяйство-(299)Социология-(6455)Спорт-(42831)Строительство-(4793)Торговля-(5050)Транспорт-(2929)Туризм-(1568)Физика-(3942)Философия-(17015)Финансы-(26596)Химия-(22929)Экология-(12095)Экономика-(9961)Электроника-(8441)Электротехника-(4623)Энергетика-(12629)Юриспруденция-(1492)Ядерная техника-(1748)

Пример 1. Точка движется прямолинейно по закону S = t4 +2t (S - в метрах, t - в секундах)




Точка движется прямолинейно по закону S = t4 +2t (S - в метрах, t - в секундах). Найти ее среднее ускорение в промежутке между моментами t1 = 5 с, t2 = 7 с, а также ее истинное ускорение в момент t 3 = 6 с.

Решение.

1. Находим скорость движения точки как производную от пути S по времени t, т.е.

2. Подставляя вместо t его значения t1 = 5 с и t2 = 7 с, находим скорости:

 

V1 = 4 • 53 + 2 = 502 м/с; V2 = 4 • 73 + 2=1374 м/с.

 

3. Определяем приращение скорости ΔV за время Δt = 7 - 5 =2 с:

 

ΔV = V2 - V1 = 1374 - 502 = 872 м/с.

 

4. Таким образом, среднее ускорение точки будет равно

5. Для определения истинного значения ускорения точки берем производную скорости по времени:

6. Подставляя вместо t значение t3 = 6 с, получим ускорение в этот момент времени

aср=12-63=432 м/с2.

 

Криволинейное движение. При криволинейном движении скорость точки изменяется по величине и направлению.

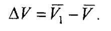
Представим себе точку М, которая за время Δt, двигаясь по какой-то криволинейной траектории, переместилась в положение М1 (рис. 6).

Вектор приращения (изменения) скорости ΔV будет

Рис. 6

 

Для нахождения вектора ΔV перенесем вектор V1, в точку М и построим треугольник скоростей. Определим вектор среднего ускорения:

Вектор аср параллелен вектору ΔV, так как от деления вектора на скалярную величину направление вектора не изменяется. Вектор истинного ускорения есть предел, к которому стремится отношение вектора скорости к соответствующему промежутку времени Δt, стремящемуся к нулю, т.е.

Такой предел называют векторной производной.

Таким образом, истинное ускорение точки при криволинейном движении равно векторной производной по скорости.

Из рис. 6 видно, что вектор ускорения при криволинейном движении всегда направлен в сторону вогнутости траектории.

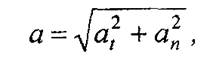
Для удобства расчетов ускорение раскладывают на две составляющие к траектории движения: по касательной, называемое касательным (тангенциальным) ускорением а,, и по нормали, называемое нор-мальным ускорением аn (рис. 7).

Рис. 7

В этом случае полное ускорение будет равно

Касательное ускорение совпадает по направлению со скоростью точки или противоположно ей. Оно характеризует изменение величины скорости и соответственно определяется по формуле

Нормальное ускорение перпендикулярно к направлению скорости точки, а численное значение его определяется по формуле

где r - радиус кривизны траектории в рассматриваемой точке.

 

 

Так как касательное и нормальные ускорения взаимно перпендикулярны, поэтому величина полного ускорения определяется по формуле

а направление его

Если , то векторы касательного ускорения и скорости направлены в одну сторону и движение будет ускоренным.

Если , то вектор касательного ускорения направлен в сторону, противоположную вектору скорости, и движение будет замедленным.

Вектор нормального ускорения всегда направлен к центру кривизны, поэтому оно называется центростремительным.




Поделиться с друзьями:


Дата добавления: 2014-01-07; Просмотров: 2672; Нарушение авторских прав?; Мы поможем в написании вашей работы!


Нам важно ваше мнение! Был ли полезен опубликованный материал? Да | Нет



studopedia.su - Студопедия (2013 - 2025) год. Все материалы представленные на сайте исключительно с целью ознакомления читателями и не преследуют коммерческих целей или нарушение авторских прав! Последнее добавление




Генерация страницы за: 0.009 сек.