Студопедия

КАТЕГОРИИ:


Архитектура-(3434)Астрономия-(809)Биология-(7483)Биотехнологии-(1457)Военное дело-(14632)Высокие технологии-(1363)География-(913)Геология-(1438)Государство-(451)Демография-(1065)Дом-(47672)Журналистика и СМИ-(912)Изобретательство-(14524)Иностранные языки-(4268)Информатика-(17799)Искусство-(1338)История-(13644)Компьютеры-(11121)Косметика-(55)Кулинария-(373)Культура-(8427)Лингвистика-(374)Литература-(1642)Маркетинг-(23702)Математика-(16968)Машиностроение-(1700)Медицина-(12668)Менеджмент-(24684)Механика-(15423)Науковедение-(506)Образование-(11852)Охрана труда-(3308)Педагогика-(5571)Полиграфия-(1312)Политика-(7869)Право-(5454)Приборостроение-(1369)Программирование-(2801)Производство-(97182)Промышленность-(8706)Психология-(18388)Религия-(3217)Связь-(10668)Сельское хозяйство-(299)Социология-(6455)Спорт-(42831)Строительство-(4793)Торговля-(5050)Транспорт-(2929)Туризм-(1568)Физика-(3942)Философия-(17015)Финансы-(26596)Химия-(22929)Экология-(12095)Экономика-(9961)Электроника-(8441)Электротехника-(4623)Энергетика-(12629)Юриспруденция-(1492)Ядерная техника-(1748)

Пример 2




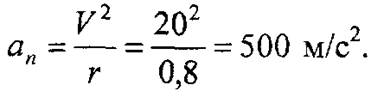
Точка обода маховика двигателя в период разгона движется согласно закону S = 0,2t3 (S - в метрах, t - в секундах). Радиус маховика r = 0,8 м. Определить касательное и нормальное ускорения точки в момент, когда ее скорость V = 20 м/с.

 

Решение.

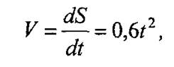
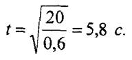
1. Определяем время разгона маховика при скорости V = 20 м/с, для чего вычислим производную пути по времени, т.е.

 

 

 

откуда время t будет

 

 

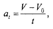
2. Для этого момента времени находим касательное ускорение как производную скорости по времени:

3. Находим нормальное ускорение в конце разгона маховика, т.е.

Анализируя приведенные формулы касательного и нормального ускорений, можно установить следующие виды движения точки (рис. 8).

Рис. 8.

 

1. Равномерное прямолинейное движение (рис. 8, а). В

этом случае касательное ускорение равно нулю, так как величина скорости не изменяется (ΔV = 0) и нормальное ускорение равно нулю, так как r = ∞, т.е.

Значит и полное ускорение равно нулю: a = 0.

2. Равномерное криволинейное движение (рис. 8, б). Оно характеризуется тем, что численное значение скорости постоянно (V = const), а вектор скорости меняется (r ≠ ∞), т.е.

Полное ускорение при этом движении равно нормальному ускорению:

а =аn

 

3. Неравномерное прямолинейное движение (рис. 27, в) характеризуется тем, что модуль скорости движения точки изменяется (ΔV ≠ 0), а радиус кривизны траектории движения точки равен бесконечности (r = со). В этом случае касательное ускорение не равно нулю, а нормальное равно нулю, т.е.

Полное ускорение в этом случае будет

а = аt

 

4. Неравномерное криволинейное движение (рис. 27, г) характерно тем, что скорость движения непостоянна (V ≠ const) и вектор скорости изменяется (r ≠ ∞). В этом случае касательное и нормальное ускорения не равны нулю, т.е.

Полное ускорение складывается геометрически из касательного и нормального ускорений:

 

5. Равнопеременное движение точки характеризуется тем, что если нормальное ускорение не равно нулю n 0), то имеет место криволинейное движение, а если аn = 0 - прямолинейное. В этом случае касательное ускорение есть величина постоянная, т.е.

Формулы равнопеременного движения точки. Равнопеременное движение может быть равномерно ускоренным, если численное значение скорости увеличивается, и равномерно замедленным, если численное значение скорости уменьшается. Величину ускорения можно определить через значения скорости в начале и в конце произвольного промежутка времени t, т.е.

где V0 - начальная скорость.

Преобразуя формулу касательного ускорения находим значение скорости:

V = V0 + at, t.

При равномерно ускоренном движении ускорение аt имеет положительное значение, а при равномерно замедленном - отрицательное.

Пусть, пройденный точкой при равнопеременном движении, определяется из уравнения:

откуда после подстановки значения скорости и преобразований получим уравнение пройденного точкой пути, т.е.

 




Поделиться с друзьями:


Дата добавления: 2014-01-07; Просмотров: 2633; Нарушение авторских прав?; Мы поможем в написании вашей работы!


Нам важно ваше мнение! Был ли полезен опубликованный материал? Да | Нет



studopedia.su - Студопедия (2013 - 2026) год. Все материалы представленные на сайте исключительно с целью ознакомления читателями и не преследуют коммерческих целей или нарушение авторских прав! Последнее добавление




Генерация страницы за: 0.011 сек.