Студопедия

КАТЕГОРИИ:


Архитектура-(3434)Астрономия-(809)Биология-(7483)Биотехнологии-(1457)Военное дело-(14632)Высокие технологии-(1363)География-(913)Геология-(1438)Государство-(451)Демография-(1065)Дом-(47672)Журналистика и СМИ-(912)Изобретательство-(14524)Иностранные языки-(4268)Информатика-(17799)Искусство-(1338)История-(13644)Компьютеры-(11121)Косметика-(55)Кулинария-(373)Культура-(8427)Лингвистика-(374)Литература-(1642)Маркетинг-(23702)Математика-(16968)Машиностроение-(1700)Медицина-(12668)Менеджмент-(24684)Механика-(15423)Науковедение-(506)Образование-(11852)Охрана труда-(3308)Педагогика-(5571)Полиграфия-(1312)Политика-(7869)Право-(5454)Приборостроение-(1369)Программирование-(2801)Производство-(97182)Промышленность-(8706)Психология-(18388)Религия-(3217)Связь-(10668)Сельское хозяйство-(299)Социология-(6455)Спорт-(42831)Строительство-(4793)Торговля-(5050)Транспорт-(2929)Туризм-(1568)Физика-(3942)Философия-(17015)Финансы-(26596)Химия-(22929)Экология-(12095)Экономика-(9961)Электроника-(8441)Электротехника-(4623)Энергетика-(12629)Юриспруденция-(1492)Ядерная техника-(1748)

Состоянием




Управление по состоянию. Системы управления

 

Подключение дополнительных контуров обратной связи в многоконтурных системах обеспечивает повышение качества управления. Наиболее полная информация об управляемом объекте содержится в переменных состояния. Управление по состоянию предусматривает введение в структуру системы контуров прямых и обратных связей по переменным состояния объекта управления. При этом задача стабилизации и слежения формулируется как задача поддержания постоянного X* = const или изменяющегося по заданному закону X* (t) состояния объекта управления X* = X* (t).

Изменяющиеся во времени или фиксированные сигналы xi* , определяющие требуемый характер изменения переменных состояния xi , составляют расширенный вектор задания X* = { xi* }, а ошибка движения объекта управления по состоянию определяется вектором отклонения e = X* - X.

Упраление по состоянию, как и управление по выходу объекта управления, может быть разомкнутым: U = F[X*], замкнутым U = F[e], или комбинированным: U = F[e, X*].

Системы с регуляторами состояния относятся к многоконтурным системам и, следовательно, обладают лучшими точностными и динамическими свойствами, чем одноконтурные. Они проектируются для управления как одномерными, так и многомерными объектами управления.

Проанализируем использование линейных регуляторов состояния для решения задач стабилизации и слежения [15].

Рассмотрим задачу стабилизации объекта управления (ОУ) в точке Y* = 0, полагая, что при этом вектор состояния также принимает нулевое значение: X* = 0 (к такому виду задача почти всегда может быть приведена преобразованием координат векторов X и Y).

Простейший регулятор состояния - пропорциональный или модальный регулятор вводит обратные связи по всем переменным xi (рис. 10.5).

 

Рис. 10.5. Структурная схема системы с П-регулятором

 

Модальный регулятор реализует пропорциональный закон управления

U = - K´X, (10.38)

 

где K - матрица коэффициентов обратной связи по состоянию.

Для одномерного объекта управления в качестве координат xi вектора X можно выбрать, например, фазовые переменные y, ,..., y(n-1) , то есть

X = [ x1 x2 ... xn ]T = [ y ... y(n-1) ]T , (10.39)

где ; n - порядок системы.

Тогда K = [ k1 k2 ... kn ]. Выражение (10.38) можно записать в скалярной форме

. (10.40)

 

Первые члены закона управления (10.40) соответствуют описанию ПД-регулятора выхода при y* = 0.

Таким образом, регуляторы состояния являются обобщением ПД-регуляторов, хотя и не содержат в явном виде дифференцирующих звеньев. Выбор коэффициентов k матрицы обратной связи K обеспечивает получение заданных динамических свойств системы.

В условиях действия на объект управления внешних возмущений F точностные показатели качества системы с пропорциональным регулятором состояния ограничены. Снижение установившихся ошибок достигается введением в состав регулятора контуров интегральных обратных связей (рис. 10.6).

 

 

Рис. 10.6. Структурная схема системы с ПИ-регулятором

 

ПИ-регулятор реализует пропорционально-интегральный закон управления

, (10.41)

 

где KI - матрица обратных связей по интегралу от вектора состояния.

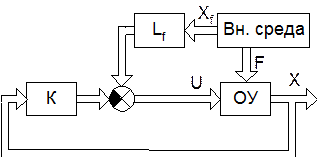
Комбинированный регулятор позволяет обеспечить компенсацию возмущения за счет прямых связей по возмущающему воздействию F (рис. 10.7).

 

Рис. 10.7. Структурная схема комбинированной системы по возмущающему воздействию

 

В этом случае закон управления принимает вид

 

U = - K´X + LF´XF, (10.42)

 

где LF - матрица коэффициентов контура связей по F;

XF - вектор, составленный из возмущения F и его производных.

Задача слежения рассматривается как задача отработки расширенного вектора задания X* = X* (t). П-регулятор состояния в следящей системе вырабатывает управляющее воздействие, пропорциональное вектору отклонения e = X* - X, то есть реализует закон управления

U = K´e. (10.43)

 

Для одномерного объекта управления с вектором состояния (10.39) выражение (10.43) можно переписать в скалярной форме

, (10.44)

где xi* = (y(i-1))* .

ПИ-регулятор дополняет структуру системы интегральными связями:

. (10.45)

 

Эффективная компенсация ошибок, вызванных возмущающим воздействием F и изменениями задания X* достигается использованием комбинированного управления (рис. 10.8)

 

U = K´e + LX´X* + LF´XF , (10.46)

 

где LX - матрица коэффициентов контура прямых связей по X*;

X* - расширенный вектор задания;

LF - матрица коэффициентов контура связей по F;

XF - вектор, составленный из возмущения F и его производных.

 

 

Рис. 10.8. Структурная схема комбинированной системы

 

Параметры регуляторов (коэффициенты прямых и обратных связей) определяются как функции параметров c математической модели объекта управления. Поэтому при управлении нестационарным объектом возникает необходимость изменения параметров регулятора в процессе работы системы. Задача настройки регулятора осложняется, когда параметры объекта управления неизвестны или неконтролируемо изменяются. Для управления такими объектами используются адаптивные регуляторы, параметры которых настраиваются с помощью блока адаптации (БА, рис. 10.9).

 

 

Рис. 10.9. Структурная схема адаптивной системы

 

Адаптивный регулятор состояния комбинированного типа содержит настраиваемые контуры обратных связей по состоянию X и прямых связей по расширенному вектору задания X*. Закон управления такого регулятора

U = ´ e + ´ X*, (10.47)

 

где , - матрицы прямых и обратных связей с переменными коэффициентами (параметрами).

Функции блока адаптации заключаются в автоматической настройке параметров регулятора (10.47).

В практике адаптивных систем получили распространение два подхода к настройке параметров.

Первый из них предусматривает включение в состав системы блока идентификатора, осуществляющего вычисление неизвестных параметров объекта управления. Тогда после определения вектора c значения и могут быть найдены по известным, подготовленным заранее, зависимостям

 

= (c), = (c). (10.48)

 

Второй подход (безидентификационный) позволяет осуществить настройку контура прямых связей части регулятора (10.47). При этом матрица обратных связей рассчитывается по номинальному значению вектора c и остается неизменной = KO. В качестве источника информации о параметрических ошибках регулятора в блоке адаптации используется сигнал обратной связи по отклонению:

Ue = KO ´ e. (10.49)

 

Блок адаптации осуществляет изменение параметров регулятора до тех пор, пока в системе не установится нулевое значение сигнала обратной связи Ue и, следовательно, значение e будет равняться нулю.

 

 




Поделиться с друзьями:


Дата добавления: 2014-01-07; Просмотров: 873; Нарушение авторских прав?; Мы поможем в написании вашей работы!


Нам важно ваше мнение! Был ли полезен опубликованный материал? Да | Нет



studopedia.su - Студопедия (2013 - 2026) год. Все материалы представленные на сайте исключительно с целью ознакомления читателями и не преследуют коммерческих целей или нарушение авторских прав! Последнее добавление




Генерация страницы за: 0.011 сек.