Студопедия

КАТЕГОРИИ:


Архитектура-(3434)Астрономия-(809)Биология-(7483)Биотехнологии-(1457)Военное дело-(14632)Высокие технологии-(1363)География-(913)Геология-(1438)Государство-(451)Демография-(1065)Дом-(47672)Журналистика и СМИ-(912)Изобретательство-(14524)Иностранные языки-(4268)Информатика-(17799)Искусство-(1338)История-(13644)Компьютеры-(11121)Косметика-(55)Кулинария-(373)Культура-(8427)Лингвистика-(374)Литература-(1642)Маркетинг-(23702)Математика-(16968)Машиностроение-(1700)Медицина-(12668)Менеджмент-(24684)Механика-(15423)Науковедение-(506)Образование-(11852)Охрана труда-(3308)Педагогика-(5571)Полиграфия-(1312)Политика-(7869)Право-(5454)Приборостроение-(1369)Программирование-(2801)Производство-(97182)Промышленность-(8706)Психология-(18388)Религия-(3217)Связь-(10668)Сельское хозяйство-(299)Социология-(6455)Спорт-(42831)Строительство-(4793)Торговля-(5050)Транспорт-(2929)Туризм-(1568)Физика-(3942)Философия-(17015)Финансы-(26596)Химия-(22929)Экология-(12095)Экономика-(9961)Электроника-(8441)Электротехника-(4623)Энергетика-(12629)Юриспруденция-(1492)Ядерная техника-(1748)

Эквивалентный коэффициент теплопроводности плоской стенки

Теплопроводность через многослойную стенку

 

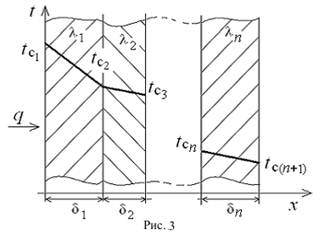
Рассмотрим теплопроводность многослойной стенки (рис. 3), состоящей из n однородных слоев. Примем, что контакт между слоями совершенный и температура на соприкасающихся поверхностях двух слоев одинакова.

При стационарном режиме тепловой поток, проходящий через любую изотермическую поверхность неоднородной стенки, один и тот же, т.е.

При заданных температурах внешних поверхностей такой стенки, размерах слоев и, соответственно, коэффициентах теплопроводности можно составить систему уравнений для плотности теплового потока каждого из слоев, из которых выразим температурные напоры:

Сложив левые и правые части уравнений, получим:

 

Отсюда плотность теплового потока

Величина , равная сумме тепловых сопротивлений всех n слоев, называется полным тепловым или термическим сопротивлением теплопроводности многослойной стенки.

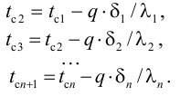
Температуры на границе соприкосновения двух соседних слоев равны:

Внутри каждого из слоев температура изменяется согласно уравнениям (2.3), (2.5) или (2.7), а для многослойной стенки в целом температурная кривая представляет ломаную линию.

При сравнении переноса тепла через многослойную стенку и стенку из однородного материала удобно ввести в рассмотрение эквивалентный коэффициент теплопроводности для многослойной стенки λэкв. Он равен коэффициенту теплопроводности однородной стенки, толщина которой D равна толщине многослойной стенки , а тепловое сопротивление равно термическому сопротивлению рассматриваемой многослойной стенки, т. е.

Отсюда получаем:

Таким образом, эквивалентный коэффициент теплопроводности λэкв зависит не только от теплофизических свойств слоев, но и от их толщины.

<== предыдущая лекция | следующая лекция ==>
Зависимость коэффициента теплопроводности от температуры | Принципы культивирования бактерий
Поделиться с друзьями:


Дата добавления: 2014-01-07; Просмотров: 2308; Нарушение авторских прав?; Мы поможем в написании вашей работы!


Нам важно ваше мнение! Был ли полезен опубликованный материал? Да | Нет



studopedia.su - Студопедия (2013 - 2025) год. Все материалы представленные на сайте исключительно с целью ознакомления читателями и не преследуют коммерческих целей или нарушение авторских прав! Последнее добавление




Генерация страницы за: 0.007 сек.