Студопедия

КАТЕГОРИИ:


Архитектура-(3434)Астрономия-(809)Биология-(7483)Биотехнологии-(1457)Военное дело-(14632)Высокие технологии-(1363)География-(913)Геология-(1438)Государство-(451)Демография-(1065)Дом-(47672)Журналистика и СМИ-(912)Изобретательство-(14524)Иностранные языки-(4268)Информатика-(17799)Искусство-(1338)История-(13644)Компьютеры-(11121)Косметика-(55)Кулинария-(373)Культура-(8427)Лингвистика-(374)Литература-(1642)Маркетинг-(23702)Математика-(16968)Машиностроение-(1700)Медицина-(12668)Менеджмент-(24684)Механика-(15423)Науковедение-(506)Образование-(11852)Охрана труда-(3308)Педагогика-(5571)Полиграфия-(1312)Политика-(7869)Право-(5454)Приборостроение-(1369)Программирование-(2801)Производство-(97182)Промышленность-(8706)Психология-(18388)Религия-(3217)Связь-(10668)Сельское хозяйство-(299)Социология-(6455)Спорт-(42831)Строительство-(4793)Торговля-(5050)Транспорт-(2929)Туризм-(1568)Физика-(3942)Философия-(17015)Финансы-(26596)Химия-(22929)Экология-(12095)Экономика-(9961)Электроника-(8441)Электротехника-(4623)Энергетика-(12629)Юриспруденция-(1492)Ядерная техника-(1748)

Сплайны

В сопромате описывается однородный брус, закрепленный в двух точках с приданием ему наклона в этих точках, т.е. заданных в них касательных. Напомню –касательная к кривой – это фактически первая производная. Кроме того задается непрерывность кривизны, а это вторая производная.

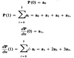
Зададим в параметрической форме сплайн кубической параболой, проходящей через две точки Р(0) и Р(1).

(1)

в точках 0 и 1 известны касательные, а значит первые производные:

и

отсюда есть условия для определения четырех коэффициентов

(2)

Из выражений (2) следует

Отсюда можно вывести:

(3)

Определив кубическую параболу (рис.) между точками Р(0) и Р(1), для нахождения следующей дуги кривой между точками Р' (0) и Р' (1) необ­
ходимо в точках Р' (0) и Р(1) приравнять значения самой кривой и ее пер­вых производных и задать значение вектора —. Таким образом, шаг за за шагом определяется последовательность дуг кубической кривой, соеди­няющей точки Р, Р',..., Рп и имеющей непрерывные касательные в этих точках.

Хотя теоретически оба метода эквивалентны друг другу, тем не менее следует согласиться с тем, что управлять формой кривой проще, задавая значения первых производных на ее концах, а не значения второй произ­водной в начальной точке.

 

<== предыдущая лекция | следующая лекция ==>
Интерполирование полиномами | Кривые Безье
Поделиться с друзьями:


Дата добавления: 2014-01-07; Просмотров: 300; Нарушение авторских прав?; Мы поможем в написании вашей работы!


Нам важно ваше мнение! Был ли полезен опубликованный материал? Да | Нет



studopedia.su - Студопедия (2013 - 2026) год. Все материалы представленные на сайте исключительно с целью ознакомления читателями и не преследуют коммерческих целей или нарушение авторских прав! Последнее добавление




Генерация страницы за: 0.009 сек.