Студопедия

КАТЕГОРИИ:


Архитектура-(3434)Астрономия-(809)Биология-(7483)Биотехнологии-(1457)Военное дело-(14632)Высокие технологии-(1363)География-(913)Геология-(1438)Государство-(451)Демография-(1065)Дом-(47672)Журналистика и СМИ-(912)Изобретательство-(14524)Иностранные языки-(4268)Информатика-(17799)Искусство-(1338)История-(13644)Компьютеры-(11121)Косметика-(55)Кулинария-(373)Культура-(8427)Лингвистика-(374)Литература-(1642)Маркетинг-(23702)Математика-(16968)Машиностроение-(1700)Медицина-(12668)Менеджмент-(24684)Механика-(15423)Науковедение-(506)Образование-(11852)Охрана труда-(3308)Педагогика-(5571)Полиграфия-(1312)Политика-(7869)Право-(5454)Приборостроение-(1369)Программирование-(2801)Производство-(97182)Промышленность-(8706)Психология-(18388)Религия-(3217)Связь-(10668)Сельское хозяйство-(299)Социология-(6455)Спорт-(42831)Строительство-(4793)Торговля-(5050)Транспорт-(2929)Туризм-(1568)Физика-(3942)Философия-(17015)Финансы-(26596)Химия-(22929)Экология-(12095)Экономика-(9961)Электроника-(8441)Электротехника-(4623)Энергетика-(12629)Юриспруденция-(1492)Ядерная техника-(1748)

Разработка управленческого решения

Электронно-дырочный переход. Явления инжекции и экстракции. Теория выпрямления электронно-дырочного перехода, емкость р-n перехода. Биполярные приборы микроэлектроники с р-n переходами. Гетеропереходы. Типы гетеропереходов. Построение энергетической диаграммы гетероперехода. Электрические свойства гетеропереходов. Основные гетеропереходные пары. Приборы с гетеропереходами. Сверхрешетки. Приборы на сверхрешетках. Варизонные структуры и область их применения.

Термоэлектронная и фотоэлектрическая работа выхода. Контактная разность потенциалов. Потенциальные барьеры в контакте металл-полупроводник (модель Шоттки). Распределение концентрации электронов и потенциала в слое объемного заряда. Выпрямление в контакте металл-полупроводник. Вольт-амперная характеристика. Диодная и диффузионная теория выпрямления. Вольт-фарадная характеристика. Диод Шоттки. Омический контакт. Определение высоты барьера Шоттки на контакте металл-полупроводник. Высота барьеров, наблюдаемых у различных полупроводников. Влияние поверхностных состояний на высоту барьера. Приборы с барьером Шоттки в микроэлектронике.

Биполярный коэффициент диффузии, дрейфовая подвижность и диффузионная длина. Экспериментальные данные для Ge, Si и GaAs. Движение неравновесных носителей заряда в электрическом поле. Длина затягивания по полю и против поля. Инжекция, экстракция, аккумуляция и эксклюзия неравновесных носителей заряда.

Биполярная диффузия. Биполярная диффузионная длина

При освещении образца полупроводника ростом из области сильного поглощения генерируются е и n вблизи освещенной поверхности – возникает градиент концентраций е и по отношению к неосвещенной поверхности.

e и n диффузируют в объем образца при этом е упрежают дырки(т к μnp) что приводит к возникновению ЭП ED, которое ускоряет дырки- происходит совместная диффузия е и n – биполярная диффузия, которая характеризуется биполярным коэффициентом диффузии – D и биполярной диффузионной длиной L

D=(n+p)/(n/Dp+p/Dn) или D=(n0+p0)/(n0/Dp+p0/Dn) – для низкого уровня инжекции

Образец n-тип n0>>p0

 

D=Dp – т о биполярный коэффициент D определяет коэффициент Диффузии неосновных носителей заряда Dp

p-тип D=Dn

Собственный п/п D=2niDnDp/ni(Dn+Dp)=2DnDp/(Dn+Dp)

 

Ошибка: источник перекрестной ссылки не найденБиполярная диффузионная длина L=√Dτпары

 

Диэлектрическое время релаксации-τn

 

Среднее время жизни объемного заряда неравновесных носителей – объемный заряд исчезает в результате проводимости: ∂ρg/∂t = - div jd

 

Id=σE div jd=div(σE)=(divσ)E+σdivE

 

div jd= σdivE

divE=4π*ρg/E

 

т о ∂ρg/∂t=-4πσ/E* ρg Введем τm=E/4πσ

 

о ∂ρg/∂t=-ρg/ τm ρg(t)= ρ(0)e-t/tm

ρ(0)=- ρ(t) t=0

 

Т о объемный заряд основных носителей заряда ρg сгорает по exp-закону с характеристическим временем

 

τm=E/4 πσ

 

τm<< τnp

 

 


Ошибка: источник перекрестной ссылки не найден

 

 

Если вводим ρg слева то справа через τn такой же заряд ρg должен уйти из образца в цепь через время τm

 

Дрейфовая длина неосновных носителей

Найдем распределение Δp(x) в n-типе в условиях сильного поля (диффузии нет)

 

∂(Δp)/∂T=-1/q div jpd- Δp/τp; ∂(Δp)/∂T=0

1/q div jpd+Δp/τp=0

div jpd=div(qpμp)E=qμp∂p/∂xE+qμpp*divE

 

1/q div jpdp∂p/∂xE

 

p(x)=Δp(0)e-x/e

 

Дрейфовая длина неравновесных дырок (lp) в полупроводнике n-типа

 

 

Определим из уравнения непреывности при условии E≠0, дир. Jpd=0

 

∂(Δp)/∂x- Δp/(μpp)=0 Обозначим lp=μpp

 

∂(Δp)/∂x-Δp/lp=0

 

lp – расстояние которое проходят неравновесные дырки со скоростью дрейфа

 

Δp(x)= Δp(0)*e-x/lp

Δp(x) – убывает с расстоянием от плоскости инжекции х=0 по экспоненте.

 

Инжекция и экстракция неравновесных носителей

Инжекция – обогащение объема полупроводника неравновесными неосновными носителями при наложении электрического поля на полупроводник.

Экстракция - обеднение

τμ<<τn τρ

ē

јd

Объёмный заряд основной носитель заряда вводится при пропускании тока через образец.

Если вводим ρq слева, то справа через τμ такой же заряд ρq должен уйти из образца в цепь через время τμ

 

Дрейф неосновных носителей

Найдём распределение ∆ρ(х) в n-типе в условиях сильного поля (диффузии нет)

;

Дрейфовая длина неравновесных дырок (еρ) в полупроводниках n-типа

Определить из уравнения непрерывности, при условии , div(jρ)=0

Обозначаем:

-расстояние, которое проходят неравновесные дырки со скоростью дрейфа

за время жизни

убывание с расстоянием от площадки инжекции х=0 по exp

Инжекция и экстракция неравновесных носителей

Инжекция- обогащение объёма полупроводника неравновесными не основными носителями наложений электрического поля на полупроводник

Экстракция- обеднение

Полупроводник n-типа:

Поверхностная рекомбинация не основных носителей

На поверхности реальных кристаллов имеются центры рекомбинации в объёме, которые эффективно уменьшают время жизни и избыточную концентрацию в приповерхностном слое.

Рекомбинационные свойства поверхности оценивают темпом поверхности рекомбинации Us (количество носителей заряда, которые рекомбинируют на единицу поверхности в секунду) и скорость поверхности рекомбинации S

 

S связывает Us с избытком концентрации неравновесных носителей

Us=S (для объёмности рекомбинации) S-зависит от качества обработки поверхности, для свежесколотой поверхности S=0

Поверхностное время жизни (объёмное), поэтому рекомбинационные свойства кристалла оценивают эффективным временем жизни

.

Распределение избыточной концентрации при поверхностной рекомбинации

-уменьшается при х=0, поэтому к поверхности будет направлен поток дырок

-D/х=0=Us пока есть неравновесные дырки в объёме

Коэффициент инжекции

отношение плотности тока не основных носителей заряда к суммарному току через полупроводник.

Используют для оценки инжекционных свойств контактов.

Раздел 7. Контактные явления

 

 

7.1. Термоэлектронная и фотоэлектрическая работа выхода. Контактная разность потенциалов. Потенциальные барьеры в контакте металл-полупроводник (модель Шоттки). Распределение концентрации электронов и потенциала в слое объемного заряда. Выпрямление в контакте металл-полупроводник. Вольт-амперная характеристика. Диодная и диффузионная теория выпрямления. Вольт-фарадная характеристика. Диод Шоттки. Омический контакт. Определение высоты барьера Шоттки на контакте металл-полупроводник. Высота барьеров, наблюдаемых у различных полупроводников. Влияние поверхностных состояний на высоту барьера. Приборы с барьером Шоттки в микроэлектронике.

7.2. Электронно-дырочный переход. Явления инжекции и экстракции. Теория выпрямления электронно-дырочного перехода, емкость р-n перехода. Биполярные приборы микроэлектроники с р-n переходами. Гетеропереходы. Типы гетеропереходов. Построение энергетической диаграммы гетероперехода. Электрические свойства гетеропереходов. Основные гетеропереходные пары. Приборы с гетеропереходами. Сверхрешетки. Приборы на сверхрешетках. Варизонные структуры и область их применения.

 

 

 

Контактные явления -физические явления которые возникают в структурах с контактными (M/M, M/n, n/n)

 

Основные понятия физики контактов

Зонные модели М и П

-уровень вакуума (начало отсчёта энергии), уровень на котором кинетическая энергия ē=0

Фм и Фп – терм. Работы выхода электрона из М и П- энергия, которую нужно сообщить электрону для его перевода с уровня Ферми на уровень

- энергия электронного сродства – внешняя (фотоэлектрическая) работа выхода- энергия, необходимая для перевода электрона с уровня на уровень

Токи термоэлектронной эмиссии

 

Использование в эмиссионной модели контактов

Метан: jтэм=AT2e-Фμ/кт

-const Больцмана

Полупроводник: jтэп*Т2е-Фп/кт

(в А* вместо m0→m*n)

Контакт полупроводника с металлом

Выпрямляющий контакт: М/П (n-типа), если Фпм -нелинейное вольтамперная характеристика (диод)

Невыпрямляющий контакт - линейка ВАХ (М/П(n-тип) – Фп > Фм)

Выпрямляющий контакт

М/П (n-тип) Фп < Фм

-х=0 –граница контакта

-уровни fм и fп при контакте выравниваются из-за обмена электронами между М и П

 

Зонная модель

Так как Фпм при контакте электронов из П уходят в М и образуется двойной объёмный заряд: в П (ионы доноров D+) в область толщиной d и заряд на поверхности М (поверхностный d≈0)

d- толщина области объёмного заряда (ТООЗ) контакта М/П (n-типа)- слой повышенного сопротивления (Rконтакта>Rобъёма)

Происходит искривление зон полупроводника вверх на величину qUкмп , где - контактная разность потенциалов.

Этот барьер препятствует уходу электронов из П в М, а со стороны М- возникает барьер , препятствующий переходу электронов из М в П.

В равновесии потоки электронов уравновешивают друг друга и ток через переход=0 (j=0)

Нарушить равновесие можно, если приложить внешнее напряжение U, которое изменит барьер q(Uk±U), так как напряжение в структуре в основном падает слой с сопротивлением Rk

Распределение электростатического потенциала и концентрации n(х) для выпрямляющего контакта М/П.

Используя уравнение Пуассона:

; -объёмный заряд в области контакта

=q(-n(x))=q(Nd-n(x))=q(-n(x))

Граничные условия:

x=0 n=n0 - концентрация электронов при х=0 (Граница)

х→∞ φ=Uк n=n0 (Объём полупроводника)

n(x)=nк

• Случай слабого искривления зон: q<<1

Обозначим:

-спадает по экспоненте.

- длина экранирования- глубины проникновения электрического поля в объём полупроводника.

• Случай сильного искривления:

При: х=0

U= d=- толщина обедненного слоя

ВАХ выпрямляющего контакта М/П (n-типа)

Зонная модель контакта в равновесии (внешнее напряжение U=0)

В результате обмена электрополями м/у М и П из П в М течёт ток , а из М в П→ток

= -, jn=jм=j0 -при равновесии потоков электронов (Fм=Fn) токи равны

• Прямая ветвь ВАХ - зависимость прямого тока через контакт jпр от внешнего напряжения – U

Полезность прямого смещения:

но П (n-типа)) внешнее U падает на обедненное П,

но М) сопротивление которого Rк<R объёма полупроводника

 

Зонная модель контакта при прямом смещении

 

Равновесие нарушается, уровень Fn может выше Fм на величину qUа –энергии электрона во внешнем поле

Барьер дна электронов из П в М уменьшается- ток jn возрастает (jn>j0), а так =jм – не уменьшается- внешнее U не влияет на высоту барьера Фв

Плотность прямого тока:

jпр=jn-j0=j0-j0=j0(-1)

jпр=j0(-1) -прямая ветвь ВАХ ток ↑ с U и зависит от Т

Обратная ветвь ВАХ jобр=f(Uобр)

 

Зонная модель контакта при обратном смещении

Полярность обратного смещения

Барьер для электронов, выходящих из П в М возрастает на величину qU ток из П в М-jn уменьшается, а ток j0-не измениться.

Обратный ток: jобр=jn-jм=j0-j0

Обратная ветвь ВАХ jобр=j0(-1)

Ток при малых U~, а при больших jобр=j0 – ток насыщения контакта.

 

ВАХ выпрямляющего контакта

При больших прямых смещениях барьер исчезает и контакт становится невыпрямляющим- омическим с линейным ВАХ.

 

При больших обратных напряжениях (U<0) наступает резкое возрастание тока- пробой контакт- вплоть до разрушения

Реальная ВАХ: j=j0(-1)

U>0- прямой ток

U<0 – обратный

U>(1-2) – возникает из-за туннельных токов (электроны проходят через барьер, а не над барьером) и рекомбинации электронов в области ОЗ

 

 

p-n-переход

- структура полупроводника, состояние из контактирующих n и p областей кристалла

Резкий эксцентричный p-n-переход (NA>Nd)

Х=0 – металлургическая граница

При контакте n и p- областей происходит обмен носителями: электроны переходят в р – область, дырки в n – область. Возникает объёмный заряд в n – области; в p – области.

 

Распределение концентрации в p-n- перехода

nn, pp – концентрация основных носителей заряда

np, pnконцентрация не основных носителей заряда

dn и dp – толщина и объёмных зарядов в n и p- областей.

ТООЗ d=dn+dp – область сильного изменения концентрации носителей – есть физический p-n- переход.

 

Зонная модель p-n перехода в равновесие

 

Uк-контактная разность потенциалов

ионы доноров; ионы акцепторов; электроны;дырки

Контактная разность потенциалов

Uк возникает в результате диффузионного перераспределения электронов и дырок

Uк=? nnpp= nnpp=

ni-собственная концентрация не основных зарядов Uк=

Толщина объединённого слоя (ТООЗ)

Для резкого ассимметричного p-n перехода

Ёмкость p-n – перехода

p-n – образует плоский конденсатор пластины –более низкоомные р и n области, прилегающие к границам p-n- перехода, диэлектрик - обеднённый слой.

S-площадь p-n – перехода

•прямое напряжение: U>0 d↑ C↓ повышение U

•обратное: U<0 d↓ C↑

 

Вольт-фарадная характеристика p-n – перехода (ВФХ)

Зависимость

Из ВФХ определяем Uк

Вольт-фарадный метод определения концентрацией примеси.

Из измерения ёмкости p-n – перехода можно определить концентрацию примеси

 

Перенос заряда в p-n –переходе

Прямое смещение- источника напряжена n-областьисточник напряжения на р- области

Зонная модель p-n- перехода

-уменьшает контактную разность потенциалов, барьер p-n – перехода уменьшается на величину qU –термодинамическое равновесие нарушается следовательно происходит инжекция электронов в р – область, дырок в n- область, через p-n – течёт прямой электрический ток, образованный основными носителями.

Обратное смещение - на n – область; на p-область

-внешнее электрическое поле совпадает по направлению с внутренним полем p-n – перехода.

 

Зонная модель p-n – перехода

Потенциальный барьер p-n – перехода увеличивается на qU –происходит перенос не основных носителей через p-n – переход:

• дырок из n – области в p - область

• электронов из p – области в n – область

 

Возникает обратный ток, образованный не основными носителями.

 

Плотность прямого и обратного тока зависит от приложенного напряжения

j=js() U>0 – прямое смещение; U<0 – обратное

js- ток насыщения (имеет диффузионную природу)

js=q()

Ln, Lpдиффузионная длина Dn, Dp- коэффициент диффузии np, pn – концентрация не основных носителей в р и n – областей p-n – перехода соответственно

 

При прямых смещениях n>>кт/q барьер p-n – перехода уменьшается (снимается) и прямой ток линейно зависит от U

При обратном смещении U>кт/q обратный ток достаёт насыщения: jобр=js и в дальнейшем может произойти резкое возрастание jобр – возникает при высоких обратных напряжениях.

При высоких обратных напряжениях возникает разное возрастание обратного тока (jобр>>Js) – явление пробоя p-n - перехода может быть обратимым и необратимым.

 

Омический контакт

М-П (n- тип), Фмп

Зонные модели М и П до контакта

Зонная модель омического контакта

Так как Фмn, то при контакте электроны из М перейдут в П, а на границе контакта возникает в объёме П – слой, обогащённый основным носителем; сопротивление этого слоя Rконт меньше сопротивления объёма П.

Происходит искривление зон П – вниз. Внешнее напряжение будет падать на объёме П (Rn>>Rк), поэтому так через контакт будет – линейная функция от U (как для омического сопротивления)

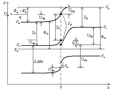
Гетеропереходы (ГП)

- контакты П с разными запрещёнными зонами.

Различают классические гетеропереходы (квантово-размерные структуры)

Классические ГП - полупроводники, структуры на трёх мерном электроне, газе;

Нано ГП – на низкомерном электроне, газе.

 

Классический анизотипный переход

- контакт широкозонного полупроводника n –типа (∆dn) с полупроводником p –типа (∆dp<∆dn)

n и p – полупроводник до контакта

+∆=-=-=(-)=∆

 

ГП в равновесии (U=0)

 

При контакте – в результате обмена носителями → Fn = Fp и происходит искривление зон:

в n-типе: вверх

в p-типе: вниз.

 

В зоне проводимости структуры возникает разрыв, равный ∆Ec – барьер для электронов,

а в валентной зоне – разрыв - ∆Ev – барьер для дырок.

 

В состоянии равновесия ток равен нулю через переход, между n- и p- области полупроводников возникает диффузионная потенциал:

 

, где ε – диэлектрическая проницаемость, Nd и Nа – концентрация доноров в n – полупроводника и акцепторов в p – полупроводника.

 

Отличия p-n гетероперехода.

потенциальные барьеры для электронов и дырок – различные.

При прямом смещении – возникает явление односторонней инжекции электронов в p-обл., инжекции дырок – не происходит, т.к. барьер для дырок значительно больше, чем для электронов – это улучшает характеристики приборов.

 

Прямое смещение

«-» -на n-обл. «+» - на p-обл.

Поверхностные электронные состояния, их влияние на контактные явления.

Поверхностные состояния возникают на поверхности кристалла из-за обрыва связи кристаллической решетки и адсорбций примеси на поверхности и слое.

 

Поверхностные состояния, возникающие из-за обрыва, наз. собственными, и они образуют 2-х мерные энергетические зоны, которые накладывают на объемные зоны кристалла, а также на з.з. Энергия электронов определяется компонентами квазиимпульса P, параллельными поверхности (если поверхность при x=0, то – Py и Pz).

 

Несобственные поверхностные состояния образуют поверхностные примесные центры – им соотв. дискретные уровни Es.

Зонные модели полупроводников с поверхностными состояниями

Поверхностный потенциал φS

 

Поверхностные состояния действуют на акцепторы или доноры.

 

Полупроводник n-типа

 

ПС – акцептор (ненасыщенная оборванная связь)

 

ПС – акцептор забирает электрон из приповерхностного слоя полупроводника – вследствие чего образуется «-» заряд на поверхности и «+» заряд в объеме полупроводника.

 

Двойной слой заряда приводит к возникновению электрического поля Е и электрического потенциала - поверхностный потенциал = разности потенциалов между поверхностью и объемом.

 

Глубина проникновения электрического поля = глубине экранирования:

 

 

Энергетические зоны (уровни ЕС и ЕV) будут искривлены вверх:

 

 

EC0, EV0 – уровни в объеме.

 

Таким образом приповерхностный слой будет обеднен основными носителями заряда и будет иметь проводимость ниже, чем объём.

 

ПС – донор – приповерхностный слой, обогащается основными носителями заряда и имеет повышенную проводимость

Т.о. ПС изменяют проводимость поверхности и искривляют энергетические уровни. Следовательно, будут влиять на явления в контактах.

 

Поверхностный потенциал

,

- плотность поверхностного заряда,

 

=

- плотность поверхностных состояний

 

 

- изменение электрического потенциала в приповерхностном слое

 

Поверхностная проводимость:

- избыточная проводимость, рассчитанная на единицу поверхности.

 

 

 

 

и - подвижности в приповерхностном слое

 

Эффект поля

- изменение под действием внешнего поля.

П/п помещают в конденсатор, на который подают внешнее напряжение U, что изменяет QS и

Эффект используют для исследования поверхностных состояний

Влияние ПС на контактную разность потенциалов в структурах с барьером.

При большой плотности состояний они концентрируются вблизи середины запрещённой зоны

И фиксируют уровень ферми вблизи ур Ei

Это приводит к тому что контактная разность потенциалов не зависит от типа проводимости полупроводника и природы металла

 

НАНОГЕТЕРОПЕРЕХОД

на двухмерном электронном газе

- квантово размерные структуры на ультратонких n/n слоях (толщина слоя сравнима с длиной волны Де-Бройля электронного (дырочного) газа, которая составляет в твердом теле нанометры.

 

Квантование энергии электронов и дырок в полупроводнике

Ультратонкий слой

 

 

Размер n/n ограничен в направлении z - электронов не могут свободно двигаться в этом направлении, а в плоскости XY ведут себя как свободные электроны с массой m*

Ограничение движения электронов по оси z – приводит к образованию двух бесконечных потенциальных барьеров UD, расположенных на расстоянии Lz

 

 

Поэтому электроны (Блоховские) волны будут отражаться от барьеров, и электроны будут соответствовать не бегущие, а стоящие волны.

Стоячим волнам соответствуют компоненты волн. В.

KZn = 2П/λll = П/Lz• n

n = 1 – основное состояние электронов в Я

Значению KZ (n = 1) соответствует изменению энергии

ẽ: ∆E = ђ2/2m* (П/ Lz)2 – это энергия размерного квантования или квантово измерения эффективности

 

Энергетический спектр двумерного электрона - газа (2∆)

Е (n, kx, ky) = En + ђ2/2mx(kx2 + ky2)

En = ђ2/2mx (П/Lz•n)2

 

2D – наногетеропереход

 

Плотность состояний Nc2D

 

 

<== предыдущая лекция | следующая лекция ==>
Диффузионные токи в полупроводниках и диэлектриках | Коран. Сура 13:12
Поделиться с друзьями:


Дата добавления: 2014-01-07; Просмотров: 385; Нарушение авторских прав?; Мы поможем в написании вашей работы!


Нам важно ваше мнение! Был ли полезен опубликованный материал? Да | Нет



studopedia.su - Студопедия (2013 - 2026) год. Все материалы представленные на сайте исключительно с целью ознакомления читателями и не преследуют коммерческих целей или нарушение авторских прав! Последнее добавление




Генерация страницы за: 0.053 сек.