Студопедия

КАТЕГОРИИ:


Архитектура-(3434)Астрономия-(809)Биология-(7483)Биотехнологии-(1457)Военное дело-(14632)Высокие технологии-(1363)География-(913)Геология-(1438)Государство-(451)Демография-(1065)Дом-(47672)Журналистика и СМИ-(912)Изобретательство-(14524)Иностранные языки-(4268)Информатика-(17799)Искусство-(1338)История-(13644)Компьютеры-(11121)Косметика-(55)Кулинария-(373)Культура-(8427)Лингвистика-(374)Литература-(1642)Маркетинг-(23702)Математика-(16968)Машиностроение-(1700)Медицина-(12668)Менеджмент-(24684)Механика-(15423)Науковедение-(506)Образование-(11852)Охрана труда-(3308)Педагогика-(5571)Полиграфия-(1312)Политика-(7869)Право-(5454)Приборостроение-(1369)Программирование-(2801)Производство-(97182)Промышленность-(8706)Психология-(18388)Религия-(3217)Связь-(10668)Сельское хозяйство-(299)Социология-(6455)Спорт-(42831)Строительство-(4793)Торговля-(5050)Транспорт-(2929)Туризм-(1568)Физика-(3942)Философия-(17015)Финансы-(26596)Химия-(22929)Экология-(12095)Экономика-(9961)Электроника-(8441)Электротехника-(4623)Энергетика-(12629)Юриспруденция-(1492)Ядерная техника-(1748)

Асимптоты графика функции




Вопрос

Вопрос

Вопрос

Вопрос

Вопрос

Правило Лопиталя (теорема Вернули – Лопиталя).

Пусть и гладкие в окрестности и

Тогда

Правило Лопиталя: Предел отношения функций равен пределу отношения их производных.

Доказательство:

Применим теорему для и , , где а - точка в окрестности .

где .

Примеры:

1)

2)

3)

Неопределенности типа

Пусть заданы две функции f (x) и g (x), такие, что

В этом случае говорят, что функция имеет неопределенность типа в точке x = a. Чтобы найти предел при x = a когда функция содержит неопределенность , нужно разложить на множители числитель и/или знаменатель и затем сократить члены, стремящиеся к нулю.

Примечание: В данном разделе при вычислении пределов не используется правило Лопиталя.

 

Неопределенности типа

Пусть две функции f (x) и g (x) обладают свойством

где a является действительным числом, либо стремится к + ∞ или − ∞. Говорят, что в этом случае функция имеет в точке a неопределенность типа . Для вычисления предела в этой точке необходимо разделить числитель и знаменатель на x в наивысшей степени.

 

Неопределенности типа

Неопределенности этих типов сводятся к рассмотренным выше неопределенностям типа и .

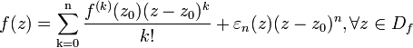
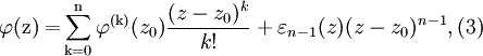
Формула ТейлораПеано Пусть , — предельная точка множества и . Если функция -дифференцируема в смысле Ферма — Лагранжа в точке , то справедлива формула Тейлора — Пеано

где εn(z) - непрерывная в точке z0 функция и εn(z0)=0. Применим метод математической индукции. Если n=0, то утверждение очевидно при εn (z)=f(z)-f(z0). Предположим, что утверждение теоремы справедливо после замены n на n-1 и что функция f n-дифференцируема в смысле Ферма-Лагранжа в точке z0. Согласно определению, существует такая n-1 дифференцируемая в смысле Ферма-Лагранжа в точке z0 функция φ, что ∀z∈Df,

По предположению

где - непрерывная в точке z0 функция и . Из равенств (2) и (3) получаем:

Что равносильно формуле (1) при

Основные разложения в ряд Тейлора

Необходимые и достаточные условия экстремума функции нескольких
(двух) переменных

Рассмотрим функцию , где -- открытое множество.

Определение 1. называется точкой максимума (минимума) функции , если

Аналогично если выполняется строгое неравенство, точка называется точкой строгого максимума (строгого минимума).

Теорема 1. (необходимое условие экстремума) Если -- точка экстремума и существует , то .

Доказательство. Частную производную можно представить как производную функции одной переменной в точке . Для этой функции точка также является точкой экстремума. Тогда, по необходимому условию экстремума функции одной переменной .

Определение 2. -- стационарная точка функции , если -- дифференцируема в этой точке и , или -- не дифференцируема в этой точке.

Замечание 1. Квадратичная форма -- многочлен вида , -- положительно определена, если на положительных переменных она принимает положительные значения. Для квадратичных форм существует критерий Сильвестра: форма положительно определена, если все главные миноры ее матрицы положительны. Форма отрицательно определена, если положительно определена. Тогда главные миноры меняют знак, начиная с минуса.

Теорема 2. (достаточное условие экстремума) Если дважды дифференцируема в стационарной точке , то -- точка минимума (максимума), если квадратичная форма положительно (отрицательно) определена. Если эта форма не определена, то экстремума в этой точке нет. Если она вырождена, то неизвестно, является ли точкой экстремума.

Доказательство. По формуле Тейлора приращение функции в точке можно записать в виде , поскольку, по необходимому условию экстремума, частные производные будут равны нулю. Перепишем выражение в виде, причем при . Заметим, что новые переменные изменяются на единичной сфере, т.к. . Кроме того, квадратичная форма непрерывна и по теореме Вейерштрасса на сфере принимает наименьшее значение, обозначим его. Пусть форма положительно определена. Тогда . Теперь благодаря тому, что при можно подобрать такое , что при выполнено , тогда выполнено в этой окрестности. Что и означает, что -- точка минимума. Для точки максимума доказательство аналогично.

Замечание 2. В случае двух переменных матрица квадратичной формы имеет вид . Тогда если , то для положительной определенности достаточно -- тогда имеется минимум. Если же , то достигается максимум. Если же , то ничего сказать нельзя.

3.2.3. Выпуклость функции и точки перегиба

Непрерывная на отрезке [ a; b ] функция f (x) называется выпуклой вверх на этом отрезке, если для любых точек x 1 и x 2 из этого отрезка

График 3.2.3.1. Другими словами, если для любых точек x 1 и x 2 отрезка [ a; b ] секущая ABпроходит под графиком функции f (x), то функция f выпукла вверх.

Аналогично определяется функция, выпуклая вниз.

Дважды дифференцируемая на [ a; b ] функция f (x) выпукла вверх, если для любого

Дважды дифференцируемая на [ a; b ] функция f (x) выпукла вниз, если для любого

Так, вторая производная функции равна откуда следует, что квадратичная функция выпукла вниз на всей области определения.

Пусть функция f (x) непрерывна в точке и имеет в этой точке конечную или бесконечную производную. Тогда точка называется точкой перегибафункции f, если в этой точке изменяется направление ее выпуклости.

Необходимое условие наличия точки перегиба. Если – точка перегиба функции f (x), и функция f (x) имеет вторую производную, непрерывную в этой точке, то

Достаточные условия наличия точки перегиба.

Пусть функция f (x) непрерывна и имеет конечную или бесконечную производную в точке Если меняет знак при переходе через точку то – точка перегиба функции f (x).

Если то – точка перегиба функции f (x).

 

В заключение приведем примеры, когда точка x 0 не является точкой перегиба несмотря на то, что ее вторая производная меняет знак при переходе через эту точку:

§ если функция разрывна в точке (например );

§ в случае угловой точки (например,

Не являются точками перегиба и точки возврата, например точка у функции

 

Все вышеперечисленные случаи изображены на рисунке.

График 3.2.3.2.

Назовём асимптотами прямые линии, к которым неограниченно приближается график функции, когда точка графика неограниченно удаляется от начала координат. В зависимости от поведения аргумента при этом, различаются два вида асимптот: вертикальные и наклонные.

Определение 7.1 Вертикальной асимптотой графика функции называется вертикальная прямая , если или при каком-либо из условий: , , . Заметим, что мы при этом не требуем, чтобы точка принадлежала области определения функции , однако она должна быть определена по крайней мере в какой-либо из односторонних окрестностей этой точки: или , где .

Пример 7.1 Рассмотрим функцию . График имеет вертикальную асимптоту , поскольку при выполняется условие , а также при выполняется условие .

 

Рис.7.1.Вертикальная асимптота функции

 


Пример 7.2 Рассмотрим функцию . Её график имеет вертикальную асимптоту , так как при . То, что при функция не стремится к бесконечности, для наличия асимптоты неважно: для того, чтобы прямая являлась вертикальной асимптотой, достаточно, чтобы график приближался к ней хотя бы с одной стороны. (К слову сказать, при .)

 

Рис.7.2.Вертикальная асимптота функции

 


Пример 7.3 Рассмотрим функцию . Прямая является вертикальной асимптотой графика , так как при . Заметим, что слева от точки функция вообще не определена.

 

Рис.7.3.Вертикальная асимптота функции

 


Пример 7.4 График функции не имеет при вертикальной асимптоты, так как -- ограниченная (числом 1) и, следовательно, локально ограниченная при и не стремящаяся к бесконечности функция. Хотя аргумент синуса -- функция -- имеет вертикальную асимптоту .

 

Рис.7.4.График функции не имеет вертикальной асимптоты

 


Пример 7.5 Прямая не является вертикальной асимптотой графика функции , поскольку здесь нельзя утверждать, что при или функция стремится к бесконечности. При некоторых малых значениях значения могут быть как угодно велики, однако при других малых функция обращается в 0: так, при () значения функции равны и стремятся к бесконечности при , а при всех вида () значения функции равны 0. В то же время как те, так и другие точки при увеличении попадают всё ближе и ближе к точке 0. Значит, функция не является бесконечно большой при , и прямая -- не асимптота.

 

Рис.7.5.График функции не имеет вертикальной асимптоты

 


Итак, для нахождения вертикальных асимптот графика данной функции нужно исследовать точки разрыва функции и точки, лежащие на границах области определения функции, и выяснить, при приближении аргумента к каким из этих точек значения функции стремятся к бесконечности.

Определение 7.2 Наклонной асимптотой графика функции при называется прямая , если выполнены два условия:
1) некоторый луч целиком содержится в ;
2) расстояние по вертикали между графиком и прямой стремится к 0 при :

(7.1)


Наклонной асимптотой графика функции при называется прямая , если
1) некоторый луч целиком содержится в ;
2) расстояние по вертикали между графиком и прямой стремится к 0 при :

 

 

Рис.7.6.Графики функций, имеющие наклонные асимптоты при и при

 


В случае, если наклонная асимптота расположена горизонтально, то есть при , она называется горизонтальной асимптотой. Таким образом, горизонтальная асимптота -- частный случай наклонной асимптоты; прямая является горизонтальной асимптотой графика при или , если

или

соответственно.

Пример 7.6 Рассмотрим функцию . График этой функции имеет наклонную асимптоту при . Действительно,

при

Однако эта функция не определена ни на каком луче вида , так что её график не может иметь асимптоты при .

 

Рис.7.7.Наклонная асимптота функции

 


Пример 7.7 График функции имеет горизонтальную асимптоту как при , так и при , поскольку, очевидно, при . Можно сказать также, что асимптота при у этого графика совпадает с асимптотой при .

 

Рис.7.8.Горизонтальная асимптота функции

 


Аналогично определению наклонной асимптоты можно дать также более общее определение:

Определение 7.3 Линия называется асимптотической линией графика функции при (или при ), если обе эти функции определены на некотором луче (или луче ) и разность ординат графиков стремится к 0 при (или при , соответственно).

Если функция -- линейная, то есть график -- наклонная прямая, то асимптотическая линия -- это наклонная асимптота. Однако и другие линии бывает естественно рассматривать в качестве асимптотических.

Пример 7.8 Рассмотрим функцию . При график этой функции имеет асимптотическую линию , поскольку разность между и , равная, очевидно, , стремится к 0 при .

 

Рис.7.9.Асимптотическая линия графика функции

 


Замечание 7.1 Функции и входят в определение асимптотической линии симметрично: если график -- асимптотическая линия для графика , то и -- асимптотическая линия для . На практике, однако, естественно считать асимптотической линией тот из двух графиков, который задаётся более простой формулой и вид которого известен.

Пример 7.9 Рассмотрим функцию . Так как при , то естественно рассматривать график как асимптотическую линию при для графика исследуемой функции .

 

Рис.7.10.Асимптотическая линия для графика функции при

 


Вернёмся к наклонным асимптотам -- прямым линиям с уравнением . Для их нахождения в тех случаях, когда значения и не очевидны, можно применять следующую теорему.

Теорема 7.1 Прямая служит наклонной асимптотой для графика при (или при ) в том и только том случае, когда

(7.2)


и

(7.3)


(соответственно, если

и

Таким образом, для нахождения наклонной (или горизонтальной, если получится ) асимптоты достаточно найти два указанных предела и, затем, . Прямая будет искомой асимптотой. Если же какой-либо из этих двух пределов не существует, то нет и соответствующей асимптоты.

Доказательство теоремы. Докажем теорему в случае ; доказательство при проводится совершенно аналогично.

Перепишем условие (7.1), задающее асимптоту, в виде

Так как первый множитель , то второй множитель, стоящий в квадратных скобках, должен быть бесконечно малым, то есть

Но и , так что

откуда следует равенство (7.2). Теперь число уже известно.

Подставляя это число в формулу (7.1), находим, что

откуда следует равенство (7.3).

 

Пример 7.10 Найдём наклонные асимптоты графика .

Попробуем отыскивать сразу оба предела, и при , и при .

Итак, и при , и при имеем и , так что обе наклонные асимптоты совпадают друг с другом и имеют уравнение , то есть, фактически, асимптота только одна.

 

Рис.7.11.График и его наклонная асимптота

 


Замечание 7.2 Из определения асимптоты не следует, что если асимптоты при и при для одного и того же графика существуют, то они непременно совпадают. Это могут быть и различные прямые, как показывает следующий простой пример.

Пример 7.11 Рассмотрим график . При график приближается к горизонтальной асимптоте , а при -- к другой горизонтальной асимптоте .

 

Рис.7.12.График арктангенса имеет две разных горизонтальных асимптоты

 


Различными могут оказаться и не обязательно горизонтальные асимптоты:

Пример 7.12 Рассмотрим функцию . Покажем, что обе её наклонные асимптоты существуют, но не совпадают друг с другом.

Сначала найдём асимптоту при . Согласно доказанной теореме, имеем:


Таким образом, при наклонной асимптотой служит прямая .

Теперь найдём асимптоту при . Имеем:

Поскольку , мы можем считать, что в допредельном выражении . В полученной дроби поделим числитель и знаменатель на положительное число . Тогда под корнем нужно будет поделить на , и получится:

Вычисление проведите сами в качестве упражнения. При этом получается , так что наклонная асимптота при имеет уравнение .

 

Рис.7.13.График и его две наклонных асимптоты

 


Замечание 7.3 Если график имеет асимптоту (например, при ) и существует предел производной:

то . Иными словами, если угловой коэффициент касательной имеет предел, то этот предел равен угловому коэффициенту асимптоты 17.

Однако асимптота может существовать и в случае, когда производная не имеет никакого предела при . Дело в том, что значения могут совершать мелкие, но частые колебания относительно ординаты асимптоты, так что значения производной могут при этом испытывать незатухающие колебания. Проиллюстрируем эту возможность следующим примером.

Пример 7.13 Рассмотрим функцию . Очевидно, что прямая -- это асимптота графика при , так как первое слагаемое имеет предел, равный 0, при . Однако вычисление производной даёт

а эта функция при росте совершает колебания, причём при больших второе слагаемое становится пренебрежимо малым, и значения колеблются примерно между и 3. Следовательно, производная не имеет предела при .

Если же рассмотреть функцию , то её производная оказывается даже неограниченной на любом луче вида , хотя прямая по-прежнему служит асимптотой графика (проведите вычисления, доказывающие это, самостоятельно в качестве упражнения).

Не так уж редко встречается случай, когда, найдя наклонные и вертикальные асимптоты графика и исследовав поведение функции слева и справа от вертикальных асимптот, мы уже достаточно хорошо можем представить себе поведение функции.

Пример 7.14 Рассмотрим функцию . Мы можем заметить, что -- чётная функция, поскольку она зависит только от и, следовательно, не меняет знак при смене знака . Заметим также, что .

Знаменатель обращается в 0 при , то есть при и при . Тем самым, прямые и -- это вертикальные асимптоты. Подробнее разберём порведение функции при приближении к . Если , то и, следовательно, . Числитель при всех , так что дробь положительна. Значит, при . При ) имеем , поэтому и , так что при . Вследствие чётности функции получаем также, что при и при .

Найдём теперь наклонные асимптоты. Вычисляя параметры и по формулам (7.2) и (7.3), получаем:

Таким образом, асимптоты при и при совпадают и имеют уравнение .

Суммируя сказанное, мы можем представить себе, что график функции ведёт себя примерно так:

Рис.7.14.График функции




Поделиться с друзьями:


Дата добавления: 2014-01-15; Просмотров: 1182; Нарушение авторских прав?; Мы поможем в написании вашей работы!


Нам важно ваше мнение! Был ли полезен опубликованный материал? Да | Нет



studopedia.su - Студопедия (2013 - 2025) год. Все материалы представленные на сайте исключительно с целью ознакомления читателями и не преследуют коммерческих целей или нарушение авторских прав! Последнее добавление




Генерация страницы за: 0.01 сек.