Студопедия

КАТЕГОРИИ:


Архитектура-(3434)Астрономия-(809)Биология-(7483)Биотехнологии-(1457)Военное дело-(14632)Высокие технологии-(1363)География-(913)Геология-(1438)Государство-(451)Демография-(1065)Дом-(47672)Журналистика и СМИ-(912)Изобретательство-(14524)Иностранные языки-(4268)Информатика-(17799)Искусство-(1338)История-(13644)Компьютеры-(11121)Косметика-(55)Кулинария-(373)Культура-(8427)Лингвистика-(374)Литература-(1642)Маркетинг-(23702)Математика-(16968)Машиностроение-(1700)Медицина-(12668)Менеджмент-(24684)Механика-(15423)Науковедение-(506)Образование-(11852)Охрана труда-(3308)Педагогика-(5571)Полиграфия-(1312)Политика-(7869)Право-(5454)Приборостроение-(1369)Программирование-(2801)Производство-(97182)Промышленность-(8706)Психология-(18388)Религия-(3217)Связь-(10668)Сельское хозяйство-(299)Социология-(6455)Спорт-(42831)Строительство-(4793)Торговля-(5050)Транспорт-(2929)Туризм-(1568)Физика-(3942)Философия-(17015)Финансы-(26596)Химия-(22929)Экология-(12095)Экономика-(9961)Электроника-(8441)Электротехника-(4623)Энергетика-(12629)Юриспруденция-(1492)Ядерная техника-(1748)

Интегрирование тригонометрических функций




Вопрос

Вопрос

Вопрос

Интегрирование рациональных функций
 
Для интегрирования рациональной функции , где P (x) и Q (x) - полиномы, используется следующая последовательность шагов:
  1. Если дробь неправильная (т.е. степень P (x) больше степени Q (x)), преобразовать ее в правильную, выделив целое выражение;
 
  1. Разложить знаменатель Q (x) на произведение одночленов и/или несократимых квадратичных выражений;
 
  1. Разложить рациональную дробь на простейшие дроби, используя метод неопределенных коэффициентов;
 
  1. Вычислить интегралы от простейших дробей.
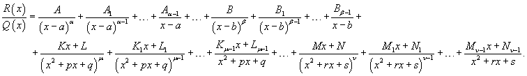
Рассмотрим указанные шаги более подробно. Шаг 1. Преобразование неправильной рациональной дроби Если дробь неправильная (т.е. степень числителя P (x) больше степени знаменателя Q (x)), разделим многочлен P (x) на Q (x). Получим следующее выражение: где - правильная рациональная дробь. Шаг 2. Разложение знаменателя на простейшие дроби Запишем многочлен знаменателя Q (x) в виде где квадратичные функции являются несократимыми, то есть не имеющими действительных корней. Шаг 3. Разложение рациональной дроби на сумму простейших дробей. Запишем рациональную функцию в следующем виде: Общее число неопределенных коэффициентов Ai, Bi, Ki, Li, Mi, Ni,... должно быть равно степени знаменателя Q (x). Затем умножим обе части полученного уравнения на знаменатель Q (x) и приравняем коэффициенты при слагаемых с одинаковыми степенями x. В результате мы получим систему линейных уравнений относительно неизвестных коэффициентов Ai, Bi, Ki, Li, Mi, Ni,.... Данная система всегда имеет единственное решение. Описанный алгоритм представляет собой метод неопределенных коэффициентов. Шаг 4. Интегрирование простейших рациональных дробей. Простейшие дроби, полученные при разложении произвольной правильной рациональной дроби, интегрируются с помощью следующих шести формул: 1.   2. У дробей с квадратичным знаменателем сначала необходимо выделить полный квадрат: где Затем применяются следующие формулы: 3.   4.   5. Интеграл может быть вычислен за k шагов с помощью формулы редукции 6.
Пример 1
 
Вычислить интеграл . Решение. Разложим подынтегральное выражение на простейшие дроби: Сгруппируем слагаемые и приравняем коэффициенты при членах с одинаковыми степенями: Следовательно, Тогда Теперь легко вычислить исходный интеграл
Пример 2
 
Вычислить интеграл . Решение. Сначала выделим правильную рациональную дробь, разделив числитель на знаменатель. Получаем
Пример 3
 
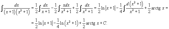
Вычислить интеграл . Решение.
Пример 4
 
Вычислить интеграл . Решение. Разложим подынтегральное выражение на сумму простейших дробей, используя метод неопределенных коэффициентов: Определим ы: Следовательно, Получаем Интеграл, соответственно, равен
Пример 5
 
Найти интеграл . Решение. Разложим подынтегральное выражение на сумму двух дробей. Найдем неизвестные коэффициенты. Отсюда получаем Подынтегральное выражение представляется в виде Исходный интеграл равен
Пример 6
 
Найти интеграл . Решение. Разложим знаменатель в подынтегральном выражении на множители: Далее представим подынтегральное выражение в виде суммы простейших дробей Определим коэффициенты: Следовательно, Отсюда находим Теперь вычислим исходный интеграл
Пример 7
 
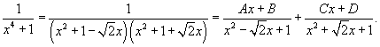
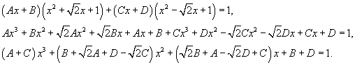
Вычислить интеграл . Решение. Перепишем знаменатель рациональной дроби в следующем виде: Поскольку полученные множители являются несократимыми квадратичными функциями, то подынтегральное выражение представляется в виде Определим неизвестные коэффициенты. Получаем Следовательно, Интегрируем каждое слагаемое и находим ответ.
Пример 8
 
Вычислить интеграл . Решение. Разложим знаменатель на множители: Запишем подынтегральную дробь в виде суммы простейших дробей. Сгруппируем члены с одинаковыми степенями чтобы определить неизвестные коэффициенты из системы линейных уравнений. Следовательно, Таким образом, подынтегральное выражение представляется в виде Окончательно находим
Пример 9
 
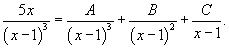
Вычислить интеграл . Решение. Разложим подынтегральное выражение на сумму простейших дробей, учитывая что знаменатель имеет кратный корень 3-го порядка: Определим неизвестные коэффициенты. Получаем систему уравнений Следовательно, Исходный интеграл равен
Пример 10
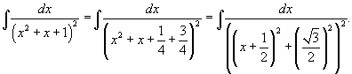
Вычислить интеграл . Решение. Поскольку - несократимый квадратный трехчлен, выделим в знаменателе полный квадрат: Найдем полученный интеграл с помощью формулы редукции Получаем ответ:

Интегрирование некоторых иррациональных функций

1. Интегралы вида рационализируются подстановкой , где - общий знаменатель дробей .
2. Интеграл от дифференциального бинома выражается через конечную комбинацию элементарных функций лишь в трех случаях:
2.1. - целое число, подстановка ( - наименьший общий знаменатель дробей ).
2.2. - целое число, подстановка ( - знаменатель дроби ).
2.3. - целое число, подстановка ( - знаменатель дроби ).

В остальных случаях интеграл от дифференциального бинома не выражается через конечное число элементарных функций.

3. Интеграл вида , подстановка .
4. Интеграл вида , подстановка или .
5. Интеграл вида , подстановка или .
6. Интеграл вида с помощью подстановки сводится к одному из интегралов (3) – (5).
7. Интеграл вида можно также упростить подстановками Эйлера:
7.1. Если
7.2. Если
7.3. Если трехчлен имеет различные корни , то

Интегрирование дифференциальных биномов

Выражение вида, где m, n, p, a, b - постоянные числа, называемые дифференциальным биномом.

Интеграл может быть выражен через элементарные функции в следующих случаях:

1) p - есть целое число,

2) - целое число,

3) - целое число,

Доказательство:

преобразуем данный интеграл с помощью подстановки

, dx =, (2-138)

тогда

=

где .

Пусть p целое число. Тогда g - есть рациональное число и его можно обозначить через . И тогда интеграл примет вид . Этот интеграл берется подстановкой .

. Пусть целое число. Тогда тоже целое число и интеграл решается подстановкой где u есть знаменатель рационального числа ,.

. Пусть целое число, тогда тоже есть целое число.

Тогда его берут с помощью подстановки где e -есть знаменатель числа .

Пример 1.

Дан

Здесь p = -1 (целое число). Положим . Тогда ,.

=arctg t +c=3arctgarctg.

Пример 2.

Здесь m=3; n=2; целое число.

Делаем замену , тогда

. Сделаем подстановку , следовательно,

.

Пример 3.

.

Здесь m=-2, n=2, причем (целое число).

Сведем выражение в скобках к линейной функции

, сделаем замену тогда , следовательно,

=

-.

Доказательство, того, что биномиальное выражение может быть проинтегрировано только в этих трех случаях, можно выразить через элементарные функции, выполнил знаменитый русский математик П. Л. Чебышев.

Множество задач сводится к нахождению интегралов трансцендентных функций, содержащих тригонометрические функции. В данной статье сгруппируем наиболее часто встречающиеся виды подынтегральных функций и на примерах рассмотрим методы их интегрирования.

· Начнем с интегрирования синуса, косинуса, тангенса и котангенса.

Из таблицы первообразных сразу заметим, что и .

Метод подведения под знак дифференциала позволяет вычислить неопределенные интегралы функций тангенса и котангенса:

К началу страницы

· Поясним, как были найдены формулы и, находящиеся в таблице первообразных.

Разберем первый случай, второй абсолютно аналогичен.

Воспользуемся методом подстановки:

Пришли к задаче интегрирования иррациональной функции. Здесь нам также поможет метод подстановки:

Осталось провести обратную замену и t = sinx:

К началу страницы

· Отдельно хочется остановиться на интегралах, содержащих степени тригонометрических функций, вида .

Подробно о принципах их нахождении можете ознакомиться в разделе интегрирование с использованием рекуррентных формул. Если изучите вывод этих формул, то без особого труда сможете брать интегралы вида , где m и n – натуральные числа.

К началу страницы

· Когда тригонометрические функции идут в комбинациях с многочленами или показательными функциями, то применяется метод интегрирования по частям. В этом разделе даны рекомендации для нахождения интегралов , .

К началу страницы

· Максимум творчества приходится вкладывать, когда подынтегральная функция содержит тригонометрические функции с различными аргументами.

Здесь на помощь приходят основные формулы тригонометрии. Так что выписывайте их на отдельный листочек и держите перед глазами.

Пример.

Найти множество первообразных функции .

Решение.

Формулы понижения степени дают и .

Поэтому

Знаменатель представляет собой формулу синуса суммы, следовательно,

Приходим к сумме трех интегралов.

К началу страницы

· Подынтегральные выражения, содержащие тригонометрические функции, иногда можно свести к дробно рациональным выражениям, используя стандартную тригонометрическую подстановку.

Выпишем тригонометрические формулы, выражающие синус, косинус, тангенс через тангенс половинного аргумента:

При интегрировании нам также понадобится выражение дифференциала dx через тангенс половинного угла.

Так как , то

То есть, , где .

Пример.

Найти неопределенный интеграл .

Решение.

Применим стандартную тригонометрическую подстановку:

Таким образом, .

Разложение на простейшие дроби подынтегральной функции приводит нас к сумме двух интегралов:

Осталось провести обратную замену :

ЗАМЕЧАНИЕ:

Формулы, выражающие тригонометрические функции через тангенс их половинного аргумента, не являются тождествами. Поэтому, полученное выражение является множеством первообразных функции только на области своего определения.




Поделиться с друзьями:


Дата добавления: 2014-01-15; Просмотров: 1926; Нарушение авторских прав?; Мы поможем в написании вашей работы!


Нам важно ваше мнение! Был ли полезен опубликованный материал? Да | Нет



studopedia.su - Студопедия (2013 - 2025) год. Все материалы представленные на сайте исключительно с целью ознакомления читателями и не преследуют коммерческих целей или нарушение авторских прав! Последнее добавление




Генерация страницы за: 0.01 сек.