Студопедия

КАТЕГОРИИ:


Архитектура-(3434)Астрономия-(809)Биология-(7483)Биотехнологии-(1457)Военное дело-(14632)Высокие технологии-(1363)География-(913)Геология-(1438)Государство-(451)Демография-(1065)Дом-(47672)Журналистика и СМИ-(912)Изобретательство-(14524)Иностранные языки-(4268)Информатика-(17799)Искусство-(1338)История-(13644)Компьютеры-(11121)Косметика-(55)Кулинария-(373)Культура-(8427)Лингвистика-(374)Литература-(1642)Маркетинг-(23702)Математика-(16968)Машиностроение-(1700)Медицина-(12668)Менеджмент-(24684)Механика-(15423)Науковедение-(506)Образование-(11852)Охрана труда-(3308)Педагогика-(5571)Полиграфия-(1312)Политика-(7869)Право-(5454)Приборостроение-(1369)Программирование-(2801)Производство-(97182)Промышленность-(8706)Психология-(18388)Религия-(3217)Связь-(10668)Сельское хозяйство-(299)Социология-(6455)Спорт-(42831)Строительство-(4793)Торговля-(5050)Транспорт-(2929)Туризм-(1568)Физика-(3942)Философия-(17015)Финансы-(26596)Химия-(22929)Экология-(12095)Экономика-(9961)Электроника-(8441)Электротехника-(4623)Энергетика-(12629)Юриспруденция-(1492)Ядерная техника-(1748)

Длина свободного пробега молекулы




Энергия молекулы

 

Запишем уравнение (**) для одной молекулы газа, разделив правую часть уравнения на n.

,

здесь – средняя кинетическая энергия одной молекулы.

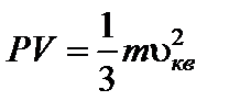
Для однородного газа масса молекулы , но скорости молекул различны. Кинетическая энергия N молекул найдется из формулы:

.

Введем понятие среднеквадратичной скорости молекул.

Возведем выражение в квадрат и подставим это значение скорости в уравнение для кинетической энергии. Получим

.

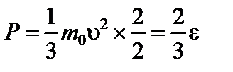
Основное уравнение примет вид: ,

Для одного моля газа ; тогда или:

;

С учетом значения энергия одной молекулы при поступательном движении

;

Таким образом, абсолютная температура является мерой средней кинетической энергии поступательного движения молекул идеального газа.

 

 

Все молекулы в действительности имеют размеры (d) и непрерывно соударяются. Между двумя соударениями молекула движется равномерно и прямолинейно. В этом случае говорят о средней длине свободного пробега молекулы .

Определим число соударений, которое испытывает молекула за единицу времени. Скорость молекулы . При движении молекула столкнется со всеми молекулами, центры которых отстоят от оси траектории движения на расстояниях d и меньше. Это будет ломаная линия (рис. 24), охваченная цилиндром с диаметром 2 d. За единицу времени длина цилиндра численно равна . Число соударений z найдем из соотношения:

Рис. 24
.

Эта формула учитывает движение только одной молекулы, остальные неподвижны. С учетом движения всех молекул формула примет вид

Длину среднего свободного пробега молекулы найдем из соотношения

.

 




Поделиться с друзьями:


Дата добавления: 2014-11-07; Просмотров: 407; Нарушение авторских прав?; Мы поможем в написании вашей работы!


Нам важно ваше мнение! Был ли полезен опубликованный материал? Да | Нет



studopedia.su - Студопедия (2013 - 2026) год. Все материалы представленные на сайте исключительно с целью ознакомления читателями и не преследуют коммерческих целей или нарушение авторских прав! Последнее добавление




Генерация страницы за: 0.008 сек.