Студопедия

КАТЕГОРИИ:


Архитектура-(3434)Астрономия-(809)Биология-(7483)Биотехнологии-(1457)Военное дело-(14632)Высокие технологии-(1363)География-(913)Геология-(1438)Государство-(451)Демография-(1065)Дом-(47672)Журналистика и СМИ-(912)Изобретательство-(14524)Иностранные языки-(4268)Информатика-(17799)Искусство-(1338)История-(13644)Компьютеры-(11121)Косметика-(55)Кулинария-(373)Культура-(8427)Лингвистика-(374)Литература-(1642)Маркетинг-(23702)Математика-(16968)Машиностроение-(1700)Медицина-(12668)Менеджмент-(24684)Механика-(15423)Науковедение-(506)Образование-(11852)Охрана труда-(3308)Педагогика-(5571)Полиграфия-(1312)Политика-(7869)Право-(5454)Приборостроение-(1369)Программирование-(2801)Производство-(97182)Промышленность-(8706)Психология-(18388)Религия-(3217)Связь-(10668)Сельское хозяйство-(299)Социология-(6455)Спорт-(42831)Строительство-(4793)Торговля-(5050)Транспорт-(2929)Туризм-(1568)Физика-(3942)Философия-(17015)Финансы-(26596)Химия-(22929)Экология-(12095)Экономика-(9961)Электроника-(8441)Электротехника-(4623)Энергетика-(12629)Юриспруденция-(1492)Ядерная техника-(1748)

Реальные газы




 

В отличие от идеального газа, молекулы реальных газов взаимодействуют между собой и имеют размер.

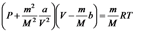
Уравнение состояния реальных газов впервые было получено Я. Ван-дер-Ваальсом и носит его имя.

– для одного моля.

– для произвольной массы газа.

Рис. 34
В 1866 году Т. Эндрюс исследовал экспериментально поведение углекислого газа при изотермическом сжатии (рис. 34). При температурах, меньше некоторой TK на каждой изотерме имеется горизонтальный участок, вдоль которого постоянны температура и давление. Объем меняется тем больше, чем ниже температура.

Рассмотрим изотерму с температурой T. Выделим на ней три участка AB, BC, CT:

Участок CT – процесс изотермического сжатия газа;

Участок BC – в точке С газ начинает конденсироваться в жидкость и в точке В газ полностью переходит в жидкое состояние.

Участок АВ – процесс сжатия жидкости.

Рис. 35
По построенным изотермам можно выделить три области (рис. 35). Область I – газ находится в жидком состоянии; область II – газ существует в двух состояниях – жидком и газообразном; область
III – газ находится в газообразном состоянии. Приведенный (рис. 35) называется фазовой диаграммой, а различные формы существования газа называются фазами.

 




Поделиться с друзьями:


Дата добавления: 2014-11-07; Просмотров: 392; Нарушение авторских прав?; Мы поможем в написании вашей работы!


Нам важно ваше мнение! Был ли полезен опубликованный материал? Да | Нет



studopedia.su - Студопедия (2013 - 2025) год. Все материалы представленные на сайте исключительно с целью ознакомления читателями и не преследуют коммерческих целей или нарушение авторских прав! Последнее добавление




Генерация страницы за: 0.008 сек.