Студопедия

КАТЕГОРИИ:


Архитектура-(3434)Астрономия-(809)Биология-(7483)Биотехнологии-(1457)Военное дело-(14632)Высокие технологии-(1363)География-(913)Геология-(1438)Государство-(451)Демография-(1065)Дом-(47672)Журналистика и СМИ-(912)Изобретательство-(14524)Иностранные языки-(4268)Информатика-(17799)Искусство-(1338)История-(13644)Компьютеры-(11121)Косметика-(55)Кулинария-(373)Культура-(8427)Лингвистика-(374)Литература-(1642)Маркетинг-(23702)Математика-(16968)Машиностроение-(1700)Медицина-(12668)Менеджмент-(24684)Механика-(15423)Науковедение-(506)Образование-(11852)Охрана труда-(3308)Педагогика-(5571)Полиграфия-(1312)Политика-(7869)Право-(5454)Приборостроение-(1369)Программирование-(2801)Производство-(97182)Промышленность-(8706)Психология-(18388)Религия-(3217)Связь-(10668)Сельское хозяйство-(299)Социология-(6455)Спорт-(42831)Строительство-(4793)Торговля-(5050)Транспорт-(2929)Туризм-(1568)Физика-(3942)Философия-(17015)Финансы-(26596)Химия-(22929)Экология-(12095)Экономика-(9961)Электроника-(8441)Электротехника-(4623)Энергетика-(12629)Юриспруденция-(1492)Ядерная техника-(1748)

Выпуск оборудования при постоянном темпе роста




 

Производство оборудования некоторого вида характеризу­ется темпом роста его выпуска

 

 

где Δ у — прирост выпуска этого оборудования за промежу­ток времени Δ t, а у — уровень его производства за единицу времени на момент времени t. Найти общее количество обо­рудования, произведенного к моменту времени t, полагая, что К — известная постоянная величина, единицей времени явля­ется год, а в начальный момент времени t = 0 уровень ежегод­ного производства оборудования составлял у0.

Решение. Перейдем к пределу при Δ t → 0, полагая, что он существует. Будем также полагать, что у является непре­рывной функцией от времени t. Согласно определению произ­водной функции

 

 

Интегрируя это равенство в пределах от 0 до t, получаем

 

 

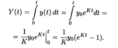
Суммарное количество оборудования, выпущенного за проме­жуток времени t, дается определенным интегралом

 

 

Например, при К = 0,05 (5% ежегодного темпа роста) об­щее количество оборудования, выпущенного за 10 лет, соста­вит

 

 

причем уровень производства за указанный период времени увеличится почти на 65%.

 




Поделиться с друзьями:


Дата добавления: 2014-10-15; Просмотров: 483; Нарушение авторских прав?; Мы поможем в написании вашей работы!


Нам важно ваше мнение! Был ли полезен опубликованный материал? Да | Нет



studopedia.su - Студопедия (2013 - 2026) год. Все материалы представленные на сайте исключительно с целью ознакомления читателями и не преследуют коммерческих целей или нарушение авторских прав! Последнее добавление




Генерация страницы за: 0.008 сек.