Студопедия

КАТЕГОРИИ:


Архитектура-(3434)Астрономия-(809)Биология-(7483)Биотехнологии-(1457)Военное дело-(14632)Высокие технологии-(1363)География-(913)Геология-(1438)Государство-(451)Демография-(1065)Дом-(47672)Журналистика и СМИ-(912)Изобретательство-(14524)Иностранные языки-(4268)Информатика-(17799)Искусство-(1338)История-(13644)Компьютеры-(11121)Косметика-(55)Кулинария-(373)Культура-(8427)Лингвистика-(374)Литература-(1642)Маркетинг-(23702)Математика-(16968)Машиностроение-(1700)Медицина-(12668)Менеджмент-(24684)Механика-(15423)Науковедение-(506)Образование-(11852)Охрана труда-(3308)Педагогика-(5571)Полиграфия-(1312)Политика-(7869)Право-(5454)Приборостроение-(1369)Программирование-(2801)Производство-(97182)Промышленность-(8706)Психология-(18388)Религия-(3217)Связь-(10668)Сельское хозяйство-(299)Социология-(6455)Спорт-(42831)Строительство-(4793)Торговля-(5050)Транспорт-(2929)Туризм-(1568)Физика-(3942)Философия-(17015)Финансы-(26596)Химия-(22929)Экология-(12095)Экономика-(9961)Электроника-(8441)Электротехника-(4623)Энергетика-(12629)Юриспруденция-(1492)Ядерная техника-(1748)

УПРАЖНЕНИЯ. Вычислить определенные интегралы




 

Вычислить определенные интегралы.

 

 

Найти площади фигур, ограниченных следующими линиями.

 

 

Найти объемы тел, образованных вращением вокруг оси Ох фигуры, ограниченной следующими линиями.

 

 

Вычислить несобственные интегралы в случае их сходимости.

 

7.32. Найти площадь, заключенную между кривой у = и ее асимптотой при х ≥ 0.

7.33. Найти объем тела, образованного вращением вокруг оси Ох дуги кривой у = e-x от х = 0 до х = +.

 

Решить задачи с экономическим содержанием.

7.34. Найти стоимость перевозки М т груза по железной доро­ге на расстояние 1 км при условии, что тариф у перевозки одной тонны убывает на а р. на каждом последующем километре.

7.35. Мощность у потребляемой городом электроэнергии вы­ражается формулой

 

 

где t — текущее время суток. Найти суточное потребление электроэнергии при а = 15000 кВт, b = 12000 кВт.


Глава 8. ФУНКЦИИ НЕСКОЛЬКИХ ПЕРЕМЕННЫХ

8.1. Евклидово пространство Em

Евклидова плоскость и евклидово пространство

 

Как мы знаем, множество всех упорядоченных пар вещест­венных чисел (x, у) называется координатной плоскостью и каждая точка на ней характеризуется парой своих координат: М(x, у).

Определение 1. Координатная плоскость называется евкли­довой плоскостью, если расстояние между двумя любыми точ­ками M1(x1, y1) и М2(x2, y2) определено по формуле

 

 

Аналогично вводится и понятие евклидова пространства. В этом случае каждая точка координатного пространства ха­рактеризуется тройкой чисел и тогда расстояние между дву­мя любыми точками пространства M (x1, y1,z1) и М (x2, y2, z2) определяется формулой

 

 

Стало быть, евклидова плоскость и евклидово пространст­во определяются способом измерения расстояния между двумя любыми своими точками.

 

Понятия m-мерного координатного пространства и m-мерного евклидова пространства

Определение 2. Множество всевозможных упорядоченных со­вокупностей т действительных чисел (x1, х2, x3,..., xm) назы­вается т-мерным координатным пространством Аm.

Каждую упорядоченную совокупность (x1, x2, x3,, …,xт,) называют точкой этого пространства и обозначают одной буквой М. При этом числа x1, x2, x3, …, xm называются коорди­натами точки М, что символически записывается следующим образом: М (x1, x2,..., xm).

Определение 3. Координатное пространство Аm называется т-мерным евклидовым пространством Еm, если между двумя любыми точками М'(х1', х2, '..., хm') и М" (x1'', х2'',..., хm'') про­странства Аm определено расстояние ρ(М', М") по формуле

 

 

Очевидно, что введенные понятия m -мерного координат­ного пространства Аm и m -мерного евклидова пространства Em являются обобщениями понятий соответственно коорди­натных плоскости и пространства и евклидовых плоскости и пространства.

 

8.2. Множества точек евклидова пространства Еm

 

Примеры множеств евклидова пространства Еm

 

Будем обозначать символом { М } некоторое множество то­чек m -мерного пространства Еm. Рассмотрим некоторые при­меры множеств в этом пространстве.

1. Множество { М } всевозможных точек, координаты x1, x2,..., xm которых удовлетворяют неравенству

 

 

называется т-мерным шаром радиуса R с центром в точке M0(x,x,...,x).

Этот пример является m -мерным обобщением соответ­ственно круга на евклидовой плоскости и шара в трехмерном евклидовом пространстве, которые задаются следующими не­равенствами:

 

 

Неравенство (8.2) можно переписать с учетом (8.1) в виде

 

 

В случае строгого неравенства ρ(М, М0) < R множество { М } называется открытым т-мерным шаром. Часто это мно­жество также называют R-окрестностью точки M0. В случае (8.3) если неравенство не строгое, множество { М } называет­ся замкнутым т-мерным шаром. Эти понятия переносятся на случай любой размерности при т ≥ 2.

2. Множество { М } точек, таких, что расстояние от каж­дой из них до некоторой точки M0 удовлетворяет равенству ρ(М, М0) = R, называется т-мерной сферой радиуса R с цент­ром в точке M0.

Аналогия: для плоскости — окружность (xx0)2 + (у – y0)2 = R2 радиуса R с центром в точке М00, у0), для пространства — сфера (xx0)2 + (уy0)2 + (zz0)2 = R 2 радиуса R с центром в точке М00, у0, z0).

 

Понятие функции нескольких переменных

 

Введем понятие функции нескольких переменных.

Определение 1. Пусть каждой точке М из множества точек { М } евклидова пространства Em по какому-либо закону ста­вится в соответствие некоторое число и из числового множес­тва U. Тогда будем говорить, что на множестве { М } задана функция и = f(M). При этом множества { М } и U называют­ся соответственно областью определения (задания) и областью изменения функции f(M).

Как известно, функция одной переменной у = f (x) изобра­жается на плоскости в виде линии. В случае двух переменных область определения { Мп } функции z = f(x, y) представляет собой некоторое множество точек на координатной плоскости Оху (рис. 8.1). Координата z называется аппликатой, и тогда сама функция изображается в виде некоторой поверхности в пространстве E3. Аналогичным образом функция от т пере­менных

 

 

определенная на множестве { М } евклидова пространства Еm, представляет собой гиперповерхность в евклидовом простран­стве Еm+1.

 

 

Некоторые виды функций нескольких переменных

 

Рассмотрим примеры функций нескольких переменных и найдем их области определения.

 

Решение. Это поверхность в евклидовом пространстве Е3. Областью определения этой функции является все множест­во точек плоскости Оху. Область значений этой функции — промежуток [0, ). Данная функция представляет собой пара­болоид вращения (рис. 8.2): в вертикальных сечениях этой поверхности плоскостями Oxz и Оуz получаются соответственно параболы z = х2 и z = у2.

 

 

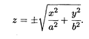
Решение. Это поверхность в евклидовом пространстве Е3. Область определения данной функции — все множество точек евклидова пространства Е2 или плоскости Оху. Эта функция является так называемым эллиптическим конусом с вершиной в начале координат O (0, 0, 0); приведенная формула суммирует две функции, задающие две его симметричные относительно плоскости Оху части (рис. 8.3):

 

 

 

Приведем теперь наиболее часто встречающиеся в различ­ных приложениях виды функций нескольких переменных.

1. Уравнение вида

 

 

называется общим уравнением плоскости в системе коорди­нат Oxyz. Вектор = (А, В, С) перпендикулярен плоскости (8.4); он называется нормальным вектором этой плоскости. Ес­ли известно, что плоскость проходит через некоторую точку M0(x0, y0, z0), то она может быть задана уравнением

 

 

Например, составить уравнение плоскости с перпендику­лярным вектором = (1, 2, -1), проходящей через точку М 0 (2, 1, 1), Согласно формуле (8.5) имеем

 

 

2. Функция Кобба—Дугласа — производственная функция, показывающая объем выпуска продукции Q при затратах ка­питала К и трудовых ресурсов L. Для случая двух переменных она имеет вид

 

 

где А > 0 — параметр производительности конкретно взятой технологии, 0 < α < 1 — доля капитала в доходе.

 

Линии уровня

 

Понятие линии уровня широко используется прежде всего в геодезии, картографии, при составлении синоптических карт, а также при описании различных физических полей (темпера­тура, давление и пр.).

Определение 2. Линией уровня функции двух переменных z = f(x, y) называется плоская кривая, получаемая при пе­ресечении графика этой функции плоскостью z = С, где С — постоянная величина, параллельной координатной плоскости Оху.

Обычно линии уровня, соответствующие различным зна­чениям постоянной величины С, проецируются на одну плос­кость, например на координатную плоскость Оху; тогда их удобно анализировать и с их помощью исследовать сложный характер поверхности, описываемой функцией z = f (x, у).

Таким образом, можно сказать, что линии уровня функции z = f (x, у) — это семейство кривых на координатной плоскос­ти Оху, описываемое уравнениями вида

 

 

Обычно берут арифметическую прогрессию чисел Ci с по­стоянной разностью h; тогда по взаимному расположению ли­ний уровня можно получить представление о форме поверхнос­ти, описываемой функцией z = f(x, у). Там, где функция изме­няется быстрее, линии уровня сгущаются, а там, где поверх­ность пологая, линии уровня располагаются реже (рис. 8.4).

 

Пример 3. Найти линии уровня функции z = х 2 + у 2 2 х — 2 у.

Решение. Линии уровня данной функции — это семейство кривых на плоскости Оху, описываемое уравнением

 

 

Последнее уравнение описывает семейство окружностей с цент­ром в точке O 1(l, 1) радиуса r = . Поверхность враще­ния (параболоид), описываемая данной функцией, становится "круче" по мере ее удаления от оси, которая дается уравнени­ями x = 1, у = 1.

 




Поделиться с друзьями:


Дата добавления: 2014-10-15; Просмотров: 971; Нарушение авторских прав?; Мы поможем в написании вашей работы!


Нам важно ваше мнение! Был ли полезен опубликованный материал? Да | Нет



studopedia.su - Студопедия (2013 - 2025) год. Все материалы представленные на сайте исключительно с целью ознакомления читателями и не преследуют коммерческих целей или нарушение авторских прав! Последнее добавление




Генерация страницы за: 0.013 сек.