Студопедия

КАТЕГОРИИ:


Архитектура-(3434)Астрономия-(809)Биология-(7483)Биотехнологии-(1457)Военное дело-(14632)Высокие технологии-(1363)География-(913)Геология-(1438)Государство-(451)Демография-(1065)Дом-(47672)Журналистика и СМИ-(912)Изобретательство-(14524)Иностранные языки-(4268)Информатика-(17799)Искусство-(1338)История-(13644)Компьютеры-(11121)Косметика-(55)Кулинария-(373)Культура-(8427)Лингвистика-(374)Литература-(1642)Маркетинг-(23702)Математика-(16968)Машиностроение-(1700)Медицина-(12668)Менеджмент-(24684)Механика-(15423)Науковедение-(506)Образование-(11852)Охрана труда-(3308)Педагогика-(5571)Полиграфия-(1312)Политика-(7869)Право-(5454)Приборостроение-(1369)Программирование-(2801)Производство-(97182)Промышленность-(8706)Психология-(18388)Религия-(3217)Связь-(10668)Сельское хозяйство-(299)Социология-(6455)Спорт-(42831)Строительство-(4793)Торговля-(5050)Транспорт-(2929)Туризм-(1568)Физика-(3942)Философия-(17015)Финансы-(26596)Химия-(22929)Экология-(12095)Экономика-(9961)Электроника-(8441)Электротехника-(4623)Энергетика-(12629)Юриспруденция-(1492)Ядерная техника-(1748)

Частные производные функции нескольких переменных




 

Частные производные первого порядка

 

Пусть функция двух переменных z = f(x, у) определена в некоторой окрестности точки М (x, у) евклидова пространства Е 2. Частная производная функции z = f(x, у) по аргументу x является обыкновенной производной функции одной перемен­ной х при фиксированном значении переменной у и обознача­ется как

 

 

Аналогичным образом определяется частная производная функции f (x, у) по переменной у в точке М, обозначаемая как

 

 

Функция, имеющая частные производные, называется диффе­ренцируемой.

Совершенно аналогично определяются частные производ­ные функций трех и более переменных. Частная производная функции нескольких переменных характеризует скорость ее изменения по данной координате при фиксированных значени­ях других координат.

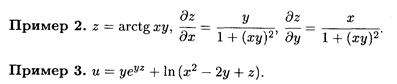
Найти частные производные следующих функций.

 

Решение. Дифференцируем функцию z = f(x, y) сначала по х, полагая у фиксированной величиной, потом повторяем эту же процедуру, меняя роли x и у. Получаем

 

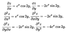
Ррешение. Частные производные этой функции трех пере­менных выражаются следующими формулами:

 

Пример 4. Найти предельные показатели продукции Q при изменении одного из факторов: затрат капитала К или вели­чины трудовых ресурсов L — по функции Кобба—Дугласа

 

 

Решение. Частные производные этой функции

 

 

дают решение сформулированной выше задачи. Очевидно, что в функции Кобба—Дугласа показатели степеней α и l — α пред­ставляют собой соответственно коэффициенты эластичности EK(Q) и EL(Q) по каждому из входящих в нее аргументов.

 

Градиент

 

Рассмотрим функцию трех переменных и = f(x, у, z), диф­ференцируемую в некоторой точке M(x, y, z).

Определение 1. Градиентом функции и = f (x, у, z) называ­ется вектор, координаты которого равны соответственно частным производным в точке М.

Для обозначения градиента функции используется символ

 

 

Аналогично в случае функции двух переменных и = f (x, у) имеем

 

 

Градиент функции характеризует направление и величину максимальной скорости возрастания этой функции в точке.

Для определения геометрического смысла градиента функ­ции введем понятие поверхности уровня. Это понятие анало­гично понятию линии уровня, рассмотренному в п. 8.2.

Определение 2. Поверхностью уровня функции и = f(x, у, z) называется поверхность, на которой эта функция сохраняет по­стоянное значение

 

 

В курсе математического анализа доказывается, что градиент в данной точке ортогонален к этой поверхности.

В случае функции двух переменных все сказанное выше остается в силе, только вместо поверхности уровня будет фи­гурировать линия уровня. Рассмотрим некоторые примеры.

Пример 5. Найти градиент и его модуль функции z = в точке М (0, 1).

Решение. По формуле (8.8) имеем для функции двух пе­ременных

 

 

При х = 0 и у = 1 получаем

 

Пример 6. Найти градиент и его модуль функции и = x 2 + у 2 - z 2 в точке М (1, 1, -2).

Решение. По формуле (8.7) имеем

 

 

Подставляя в это выражение координаты точки М, полу­чаем

 

Пример 7. Найти поверхности уровня функции u = х 2 — 2 х + у 2 + 2 уz.

Решение. Согласно определению поверхности уровня (8.9) имеем

 

 

где С = с + 2. Следовательно, поверхностями уровня данной функции являются параболоиды вращения с осью х = 1, у = -1, параллельной оси Oz, вершины которых лежат в точках с ко­ординатами (1, -1, ).

 

Частные производные высших порядков

 

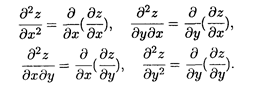
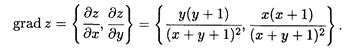
Частные производные первого порядка от функции двух и более переменных также представляют собой функции не­скольких переменных, и их можно также продифференциро­вать, т.е. найти частные производные от этих функций. Так, для функции двух переменных вида z = f (x, у) возможны че­тыре вида частных производных второго порядка:

 

 

Частные производные, в которых дифференцирование произво­дится по разным переменным, называются смешанными произ­водными. Аналогичным образом для функций нескольких пе­ременных определяются частные производные более высоких порядков.

Рассмотрим два примера нахождения частных производ­ных второго порядка для функции двух переменных.

 

Решение. Последовательно дифференцируя, получаем

 

 

 

Решение. По правилам дифференцирования произведения имеем

 

 

В рассмотренных примерах смешанные производные оказа­лись равными друг другу, хотя это бывает и не всегда. Ответ на вопрос о независимости смешанных вторых производных от порядка дифференцирования функции двух переменных дает следующая теорема.

ТЕОРЕМА 1. Если функция z = f (x, у) дважды дифферен­цируема в точке М 0( 0, y 0), тo ее смешанные производные в этой точке равны.




Поделиться с друзьями:


Дата добавления: 2014-10-15; Просмотров: 2776; Нарушение авторских прав?; Мы поможем в написании вашей работы!


Нам важно ваше мнение! Был ли полезен опубликованный материал? Да | Нет



studopedia.su - Студопедия (2013 - 2025) год. Все материалы представленные на сайте исключительно с целью ознакомления читателями и не преследуют коммерческих целей или нарушение авторских прав! Последнее добавление




Генерация страницы за: 0.012 сек.