Студопедия

КАТЕГОРИИ:


Архитектура-(3434)Астрономия-(809)Биология-(7483)Биотехнологии-(1457)Военное дело-(14632)Высокие технологии-(1363)География-(913)Геология-(1438)Государство-(451)Демография-(1065)Дом-(47672)Журналистика и СМИ-(912)Изобретательство-(14524)Иностранные языки-(4268)Информатика-(17799)Искусство-(1338)История-(13644)Компьютеры-(11121)Косметика-(55)Кулинария-(373)Культура-(8427)Лингвистика-(374)Литература-(1642)Маркетинг-(23702)Математика-(16968)Машиностроение-(1700)Медицина-(12668)Менеджмент-(24684)Механика-(15423)Науковедение-(506)Образование-(11852)Охрана труда-(3308)Педагогика-(5571)Полиграфия-(1312)Политика-(7869)Право-(5454)Приборостроение-(1369)Программирование-(2801)Производство-(97182)Промышленность-(8706)Психология-(18388)Религия-(3217)Связь-(10668)Сельское хозяйство-(299)Социология-(6455)Спорт-(42831)Строительство-(4793)Торговля-(5050)Транспорт-(2929)Туризм-(1568)Физика-(3942)Философия-(17015)Финансы-(26596)Химия-(22929)Экология-(12095)Экономика-(9961)Электроника-(8441)Электротехника-(4623)Энергетика-(12629)Юриспруденция-(1492)Ядерная техника-(1748)

УПРАЖНЕНИЯ. 14.1. Вычислить определители:




14.1. Вычислить определители:

 

14.2. Дана матрица

 

 

Найти миноры элементов a 23, a 14, a 34 и алгебраические допол­нения элементов a 32, a 43, a 24.

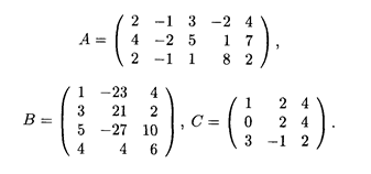
14.3. Найти ранги следующих матриц:

 

14.4. Определить, являются ли зависимыми векторы 1, 2, 3: a) 1 = (2, -1, 3), 2 = (1, 4, -1), 3 = (0, -9, 5); б) 1 = (1, 2, 0), 2 = (3, -1, 1), 3 = (0, 1, 1).

14.5. Показать, что векторы 1 = (1, -1, 3), 2 = (3, -1, 1) и 3 = (0, 1, 1) образуют базис.

 

Глава 15. СИСТЕМЫ ЛИНЕЙНЫХ АЛГЕБРАИЧЕСКИХ УРАВНЕНИЙ

 

Этот раздел является одним из основных в алгебре. Нет такой отрасли науки и приложений, где в том или ином виде не использовались бы системы линейных алгебраических урав­нений. При решении экономических задач системы линейных уравнений наиболее употребимы как в аппарате исследования, так и при рассмотрении частных проблем.

 




Поделиться с друзьями:


Дата добавления: 2014-10-15; Просмотров: 323; Нарушение авторских прав?; Мы поможем в написании вашей работы!


Нам важно ваше мнение! Был ли полезен опубликованный материал? Да | Нет



studopedia.su - Студопедия (2013 - 2026) год. Все материалы представленные на сайте исключительно с целью ознакомления читателями и не преследуют коммерческих целей или нарушение авторских прав! Последнее добавление




Генерация страницы за: 0.008 сек.