Студопедия

КАТЕГОРИИ:


Архитектура-(3434)Астрономия-(809)Биология-(7483)Биотехнологии-(1457)Военное дело-(14632)Высокие технологии-(1363)География-(913)Геология-(1438)Государство-(451)Демография-(1065)Дом-(47672)Журналистика и СМИ-(912)Изобретательство-(14524)Иностранные языки-(4268)Информатика-(17799)Искусство-(1338)История-(13644)Компьютеры-(11121)Косметика-(55)Кулинария-(373)Культура-(8427)Лингвистика-(374)Литература-(1642)Маркетинг-(23702)Математика-(16968)Машиностроение-(1700)Медицина-(12668)Менеджмент-(24684)Механика-(15423)Науковедение-(506)Образование-(11852)Охрана труда-(3308)Педагогика-(5571)Полиграфия-(1312)Политика-(7869)Право-(5454)Приборостроение-(1369)Программирование-(2801)Производство-(97182)Промышленность-(8706)Психология-(18388)Религия-(3217)Связь-(10668)Сельское хозяйство-(299)Социология-(6455)Спорт-(42831)Строительство-(4793)Торговля-(5050)Транспорт-(2929)Туризм-(1568)Физика-(3942)Философия-(17015)Финансы-(26596)Химия-(22929)Экология-(12095)Экономика-(9961)Электроника-(8441)Электротехника-(4623)Энергетика-(12629)Юриспруденция-(1492)Ядерная техника-(1748)

Распределение Пуассона




 

Пусть в каждом из п производимых испытаний вероят­ность появления события А равна р. Как мы знаем, для опреде­ления вероятности k появлений события А используется фор­мула Бернулли (18.2); при больших п пользуются асимптоти­ческой формулой Лапласа (17.17). Однако эта формула плохо подходит для случая, когда р мало. Для случая малых значе­ний р и больших значений п используется асимптотическая формула Пуассона. Эта формула выведена при важном допу­щении, что произведение пр является постоянной величиной, т.е. пр = λ. Тогда вероятность того, что событие А наступит ровно k раз, дается формулой, которая представляет собой за­кон распределения Пуассона вероятностей массовых и редких событий:

 

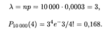
Пример 5. На базу отправлено 10 000 изделий. Вероятность того, что изделие в пути получит повреждение, равна 0,0003. Найти вероятность того, что на базу прибудут 4 поврежденных изделия.

Решение. По условию задачи п = 10 000, р = 0,0003, k = 4. Находим А, а затем по формуле (18.4) и искомую вероятность:

 




Поделиться с друзьями:


Дата добавления: 2014-10-15; Просмотров: 277; Нарушение авторских прав?; Мы поможем в написании вашей работы!


Нам важно ваше мнение! Был ли полезен опубликованный материал? Да | Нет



studopedia.su - Студопедия (2013 - 2026) год. Все материалы представленные на сайте исключительно с целью ознакомления читателями и не преследуют коммерческих целей или нарушение авторских прав! Последнее добавление




Генерация страницы за: 0.011 сек.