Студопедия

КАТЕГОРИИ:


Архитектура-(3434)Астрономия-(809)Биология-(7483)Биотехнологии-(1457)Военное дело-(14632)Высокие технологии-(1363)География-(913)Геология-(1438)Государство-(451)Демография-(1065)Дом-(47672)Журналистика и СМИ-(912)Изобретательство-(14524)Иностранные языки-(4268)Информатика-(17799)Искусство-(1338)История-(13644)Компьютеры-(11121)Косметика-(55)Кулинария-(373)Культура-(8427)Лингвистика-(374)Литература-(1642)Маркетинг-(23702)Математика-(16968)Машиностроение-(1700)Медицина-(12668)Менеджмент-(24684)Механика-(15423)Науковедение-(506)Образование-(11852)Охрана труда-(3308)Педагогика-(5571)Полиграфия-(1312)Политика-(7869)Право-(5454)Приборостроение-(1369)Программирование-(2801)Производство-(97182)Промышленность-(8706)Психология-(18388)Религия-(3217)Связь-(10668)Сельское хозяйство-(299)Социология-(6455)Спорт-(42831)Строительство-(4793)Торговля-(5050)Транспорт-(2929)Туризм-(1568)Физика-(3942)Философия-(17015)Финансы-(26596)Химия-(22929)Экология-(12095)Экономика-(9961)Электроника-(8441)Электротехника-(4623)Энергетика-(12629)Юриспруденция-(1492)Ядерная техника-(1748)

Стратегическое планирование выпуска изделий с учетом имеющихся ресурсов




 

Фирма выпускает три вида изделий, располагая при этом сырьем 4 типов: А, Б, В, Г соответственно в количествах 18, 16, 8 и 6 т. Нормы затрат каждого типа сырья на единицу из­делия первого вида составляют соответственно 1, 2, 1, 0, вто­рого вида — 2, 1, 1, 1 и третьего вида — 1, 1, 0, 1. Прибыль от реализации единицы изделия первого вида равна 3 усл. ед., второго — 4 усл. ед., третьего — 2 усл. ед.

Требуется:

1) составить план производства трех видов, максимизиру­ющих прибыль;

2) определить дефицитность сырья;

3) установить размеры максимальной прибыли при изме­нении сырья А на 6 т, Б — на 3 т, В — на 2 т, Г — на 2 т. Оценить раздельное влияние этих изменений и суммарное их влияние на прибыль;

4) оценить целесообразность введения в план производства фирмы нового вида изделий (четвертого), нормы затрат на единицу которого соответственно равны 1, 2, 2, 0, а прибыль составляет 15 усл. ед.

Решение. 1. Обозначим через = (x 1, x 2, x 3) план про­изводства изделий трех видов, тогда математическая модель задачи примет вид

 

 

при ограничениях:

 

 

Решаем задачу симплексным методом, при этом последняя таблица будет иметь вид табл. 22.3.

 

 

Из таблицы следует

 

 

Согласно теоремам двойственности

 

 

2. Наиболее дефицитным является сырье типа В, для кото­рого двойственная оценка у 3 = 2. Менее дефицитным является сырье вида Б, для которого у 2 = 1/2. Совсем не дефицитным является сырье A (y 1 = 0).

Для определения интервала устойчивости оценок найдем обратную матрицу для матрицы коэффициентов при базис­ных переменных в оптимальном решении системы ограниче­ний. Базисными переменными в оптимальном решении явля­ются x 1, x 2, х 3, x 4. Матрица коэффициентов при этих переменных в системе ограничений имеет вид

 

 

Тогда обратная матрица для матрицы А следующая:

 

 

Найдем интервал устойчивости оценок по видам сырья:

 

 

Интервал устойчивости оценок по отношению к первому огра­ничению:

 

 

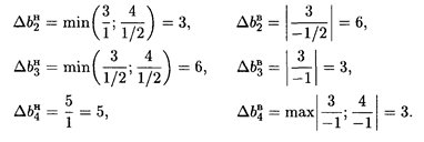
Аналогично определим интервалы устойчивости оценок по отношению к ограничениям остальных видов сырья:

 

 

Интервалы устойчивости оценок по отношению ко второму ограничению:

 

 

к третьему ограничению:

 

 

к четвертому ограничению:

 

 

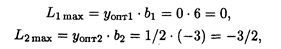
3. Изменения сырья согласно условиям задачи на +6, -3, +2, +2 т приводят к ограничению запаса сырья до 24, 13, 10, 8 т соответственно. Поскольку эти изменения находятся в пре­делах устойчивости оценок, на что указывают интервалы, то раздельное их влияние на прибыль определяется по формуле

 

 

тогда

 

 

 

Суммарное влияние на прибыль:

 

 

Если изменение сырья не находится в пределах устойчивости оценок, то необходимо найти новые условные оценки, т.е. ре­шить задачу симплексным методом с изменением количества сырья соответствующих видов.

4. Для оценки целесообразности введения в план производ­ства фирмы четвертого вида изделий используем формулу

 

 

Так как прибыль превышает затраты, то введение в план про­изводства четвертого вида изделий целесообразно.




Поделиться с друзьями:


Дата добавления: 2014-10-15; Просмотров: 309; Нарушение авторских прав?; Мы поможем в написании вашей работы!


Нам важно ваше мнение! Был ли полезен опубликованный материал? Да | Нет



studopedia.su - Студопедия (2013 - 2025) год. Все материалы представленные на сайте исключительно с целью ознакомления читателями и не преследуют коммерческих целей или нарушение авторских прав! Последнее добавление




Генерация страницы за: 0.012 сек.