Студопедия

КАТЕГОРИИ:


Архитектура-(3434)Астрономия-(809)Биология-(7483)Биотехнологии-(1457)Военное дело-(14632)Высокие технологии-(1363)География-(913)Геология-(1438)Государство-(451)Демография-(1065)Дом-(47672)Журналистика и СМИ-(912)Изобретательство-(14524)Иностранные языки-(4268)Информатика-(17799)Искусство-(1338)История-(13644)Компьютеры-(11121)Косметика-(55)Кулинария-(373)Культура-(8427)Лингвистика-(374)Литература-(1642)Маркетинг-(23702)Математика-(16968)Машиностроение-(1700)Медицина-(12668)Менеджмент-(24684)Механика-(15423)Науковедение-(506)Образование-(11852)Охрана труда-(3308)Педагогика-(5571)Полиграфия-(1312)Политика-(7869)Право-(5454)Приборостроение-(1369)Программирование-(2801)Производство-(97182)Промышленность-(8706)Психология-(18388)Религия-(3217)Связь-(10668)Сельское хозяйство-(299)Социология-(6455)Спорт-(42831)Строительство-(4793)Торговля-(5050)Транспорт-(2929)Туризм-(1568)Физика-(3942)Философия-(17015)Финансы-(26596)Химия-(22929)Экология-(12095)Экономика-(9961)Электроника-(8441)Электротехника-(4623)Энергетика-(12629)Юриспруденция-(1492)Ядерная техника-(1748)

Получение. Этилморфина гидрохлорид




Этилморфина гидрохлорид

Aethylmorphini hydrochloridum

Количественное определение.

ГФ: кислотно-основное титрование в неводных средах.

Точную навеску препарата растворяют в безводной уксусной кислоте при нагревании на водяной бане и титруют 0,1 М раствором HClO4 до голубовато-зеленого окрашивания (индикатор кристаллический фиолетовый).

УЧ=1; формула прямого титрования.

ВАК: метод нейтрализации по фосфорной кислоте

кодеин · H3PO4 + 2 NaOH = кодеин + Na2HPO4 + 2H2O

УЧ = 1/2; формула прямого титрования.

Хранение. В хорошо укупоренной таре, предохраняющей от действия света.

Применение. Анальгезирующее (наркотическое средство) и противокашлевое средство.

Форма выпуска. Таблетки 0,015.

 

Dioninum

Дионин

Этиловый эфир морфина

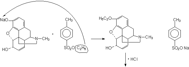
Этилирование морфина.

морфинат натрия   этиловый эфир n-толуолсульфокислоты   этилморфина гидрохлорид натриевая соль n-толуолсульфокислоты

Описание. Белый кристаллический порошок без запаха, горького вкуса. Растворим в воде и спирте, мало растворим в хлороформе, очень мало растворим в эфире.




Поделиться с друзьями:


Дата добавления: 2014-11-25; Просмотров: 5882; Нарушение авторских прав?; Мы поможем в написании вашей работы!


Нам важно ваше мнение! Был ли полезен опубликованный материал? Да | Нет



studopedia.su - Студопедия (2013 - 2025) год. Все материалы представленные на сайте исключительно с целью ознакомления читателями и не преследуют коммерческих целей или нарушение авторских прав! Последнее добавление




Генерация страницы за: 0.01 сек.