Студопедия

КАТЕГОРИИ:


Архитектура-(3434)Астрономия-(809)Биология-(7483)Биотехнологии-(1457)Военное дело-(14632)Высокие технологии-(1363)География-(913)Геология-(1438)Государство-(451)Демография-(1065)Дом-(47672)Журналистика и СМИ-(912)Изобретательство-(14524)Иностранные языки-(4268)Информатика-(17799)Искусство-(1338)История-(13644)Компьютеры-(11121)Косметика-(55)Кулинария-(373)Культура-(8427)Лингвистика-(374)Литература-(1642)Маркетинг-(23702)Математика-(16968)Машиностроение-(1700)Медицина-(12668)Менеджмент-(24684)Механика-(15423)Науковедение-(506)Образование-(11852)Охрана труда-(3308)Педагогика-(5571)Полиграфия-(1312)Политика-(7869)Право-(5454)Приборостроение-(1369)Программирование-(2801)Производство-(97182)Промышленность-(8706)Психология-(18388)Религия-(3217)Связь-(10668)Сельское хозяйство-(299)Социология-(6455)Спорт-(42831)Строительство-(4793)Торговля-(5050)Транспорт-(2929)Туризм-(1568)Физика-(3942)Философия-(17015)Финансы-(26596)Химия-(22929)Экология-(12095)Экономика-(9961)Электроника-(8441)Электротехника-(4623)Энергетика-(12629)Юриспруденция-(1492)Ядерная техника-(1748)

Авиационные ферродинамические приборы




КЛАССИФИКАЦИЯ ПОГРЕШНОСТЕЙ

 

Любое измерение не дает абсолютно точного значения измеряемой величины из-за наличия погрешностей, связанных с несовершенством средств измерений (измерительных приборов), изменением параметров окружающей среды, влиянием внешних магнитных и электрических полей и т. п.

Все погрешности условно подразделяются на две группы:

погрешности средств измерения;

погрешности измерений, связанные с неправильно выбранными методом измерения, схемой включения прибора в цепь, пределом измерения прибора и т. п.

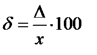
В практике электрических измерений встречаются следующие виды погрешностей: абсолютная, относительная, приведенная, основная и дополнительная.

Абсолютной погрешностью ∆ называют разность между показаниями прибора хпр и истинным (действительным) значением измеряемой величины х: . Для точного определения измеряемой величины вводят поправку - абсолютную погрешность, взятую с обратным знаком: .

Абсолютная погрешность не дает возможности судить о точности измерения, которая может быть определена лишь при сопоставлении (сравнении) абсолютной погрешности с истинным (действительным) значением величины.

Точность измерения определяют по относительной погрешности - отношению абсолютной погрешности к истинному значению измеряемой величины, выраженной в процентах:

. (1.1)

Очевидно, чем больше истинное значение измеряемой величины, тем выше при той же абсолютной погрешности точность измерения, т. е. меньше относительная погрешность.

Безусловно, точность измерения зависит от точности прибора: чем точнее прибор, тем выше точность измерения. Но это не означает, что точность прибора можно оценивать по относительной погрешности. Такое суждение является неправильным, что иллюстрируется следующим примером.

Пусть вольтметром с пределом измерения 100 В, измеряющим напряжения с абсолютной погрешностью ∆ U = 2 В, измерили два напряжения, истинные значения которых равны U1 = 100 В, U2 = 10 В. Тогда согласно выражению (5.1) δ1 = 2%, а δ2 = 20%.

Другими словами, характеризовать точность прибора по относительной погрешности нельзя, так как она является величиной переменной, зависящей от численного значения измеряемой величины.

В связи с этим точность приборов оценивается не относительной, а приведенной погрешностью.

Приведенная погрешность γ по своему математическому смыслу представляет относительную погрешность, но выражает, отношение абсолютной погрешности не к истинному значению измеряемой величины, которое является переменным, а к величине, являющейся для данного прибора постоянной, - верхнему пределу измерениям xN (нормиро­ванному значению измеряемой величины):

. (1.2)

Из рассмотренного примера вытекают следующие выводы:

точность измерения одним и тем же прибором зависит от численного значения измеряемой величины;

выбирая прибор (предел измерения у многопредельного прибора), необходимо стремиться к тому, чтобы численное значение измеряемой величины максимально приближалось к верхнему пределу измерения прибора, но не превышало его.

Классы точности приборов 0,02; 0,05 и т. д. указывают на максимальное значение приведенной погрешности для данного прибора. Например, для прибора класса 1,0 максимальное значение приведенной погрешности, определяемой по формуле (1.2), не должно превышать 1%.

Приборы классов с 0,02 по 0,5 являются наиболее точными и применяются для проверки приборов меньшей точности, в лабораторных измерениях, используются при регулировке и настройке наиболее ответственных элементов (узлов) авиационного обору­дования. Приборы классов с 1,0 до 4,0 применяются как технические в повседневной практике. На летательных аппаратах, как правило, применяются «грубые» приборы, т. е. классов точности 2,5 и 4.

Независимо от ведомственной принадлежности все измерительные приборы подлежат обязательной проверке в сроки, устанавливаемые государственными стандартами. Проверка производится поверочными лабораториями.

Поверка производится, как правило, методом сравнения показаний поверяемого прибора с показаниями прибора высокого масса точности, которые принимаются за истинные значения измеряемой величины. По результатам измерений находится максимальная абсолютная погрешность, и по ней вычисляется приведенная погрешность.

Если приведенная погрешность окажется меньше класса точности, указанного на шкале поверяемого прибора, или равна ему, то он считается годным к эксплуатации.

Каждый измерительный прибор рассчитывается на работу при определенных параметрах внешней среды, которые называются нормальными. Поверка приборов производится только в нормальных условиях, а приведенная погрешность, определенная в этих условиях, называется основной. Если прибор эксплуатируется в условиях, отличных от нормальных, то у него появляется дополнительная погрешность.

 

1.1.3 ПРИБОРЫ МАГНИТО­ЭЛЕКТРИЧЕСКОЙ СИСТЕМЫ

 

Основной частью любого прибора является измерительный механизм, который в комплекте с дополнительными устройствами может быть использован для измерения различных электриче­ских и неэлектрических величин.

Существует несколько конструкций магнитоэлектрических измерительных механизмов. Наибольшее распространение получили приборы с неподвижным подковообразным магнитом и поворотной рамкой (рис. 1.1).

Рисунок 1.1 – Устройство магнитоэлектрического измерительного механизма:

1 – постоянный магнит; 2 – полюсные наконечники; 3 – сердечники; 4 – рамка;

5 – стрелка; 6 – противовес; 7 – пружины (вторая на рисунке не показана);

8 – корректор; 9 – винт корректор; 10 – полуоси

 

Постоянный магнит 1, полюсные наконечники 2 и неподвижный железный сердечник 3 образуют магнитную цепь прибора. В равномерном воздушном зазоре между наконечниками и сердечником помещается рамка 4 из тонкой изолированной проволоки, намотанной на алюминиевый каркас, к которому крепятся полуоси 10. Прибор имеет стрелку 5 с противовесами 6. Ток к рамке подводится через спиральные пружины 7, которые одновременно являются и противодействующими. Для установки стрелки на нуль имеется корректор 8, винт которого 9 выведен, на лицевую панель прибора. Весь механизм помещается в корпус, у некоторых приборов он заключен в магнитный экран.

Все приборы снабжаются демпфирующими (успокоительными) устройствами, служащими для успокоения подвижной системы. В магнитоэлектрическом механизме роль успокоителя выполняет алюминиевый каркас, представляющий собой замкнутый виток. При колебаниях системы каркас пересекает магнитное поле магнита, в нем индуктируются токи, магнитное поле которых при взаимодействии с полем постоянного магнита вызывает успокоение подвижной системы.

Принцип действия магнитоэлектрического измерительного механизма основан на явлении выталкивания проводника (рамки) с током из магнитного поля постоянного магнита (рис. 1.2).

Рисунок 1.2 – Принцип действия магнитоэлектрического измерительного механизма

 

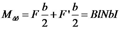
При протекании по рамке измеряемого тока I на ее активные стороны l действуют электромагнитные силы F:

,

где В - магнитная индукция в воздушном зазоре;

N - число витков рамки.

Пара сил, действующих на рамку, создает вращающий момент

. (1.3)

Под действием вращающего момента подвижная система поворачивается, закручивая пружины, которые создают противодействующий момент

, (1.4)

где D - удельный противодействующий момент, т. е. момент, создаваемый пружинами при повороте рамки на 1°. Удельный противодействующий момент зависит от материала пружины и ее геометрических размеров;

α - угол закручивания пружины (угол поворота подвижной системы).

В установившемся режиме наступает равновесие моментов Мпр=Mвр.

Приравняв выражения (1.4) и (1.3), получим уравнение шкалы магнитоэлектрического измерительного механизма

. (1.5)

Все величины, входящие в правую часть равенства (1.5), кроме силы тока, являются постоянными.

Тогда окончательно

, (1.6)

где S1 - чувствительность механизма.

Так как угол поворота подвижной системы магнитоэлектрического механизма прямо пропорционален току, протекающему по рамке, то прибор может быть применен для измерения данной электрической величины. Однако рамки механизмов изготавливаются из тонкого провода, и непосредственно (без дополнительных устройств) они могут быть использованы лишь в качестве милли- и микроамперметров при последовательном включении в цепь.

Если рамку прибора включить параллельно, то согласно закону Ома ток в ней , где - сопротивление подвижной системы прибора. В этом случае уравнение (1.6) примет вид

. (1.7)

Отсюда и второе назначение прибора - измерение напряжения в милливольтах.

И наконец, если к прибору подключить источник с постоянным по величине напряжением, а в цепь рамки включить последова­тельно неизвестное сопротивление Rx, то уравнение (1.6) примет вид

(1.8)

и угол поворота подвижной системы оказывается функцией измеряемого сопротивления.

В комбинированных электроизмерительных приборах (ампервольтметрах, ампервольтомметрах) в комплекте с дополнительными устройствами, расширяющими пределы измерения электрических величин, используется общий магнитоэлектрический измерительный механизм с несколькими шкалами.

Приборы магнитоэлектрической системы получили широкое практическое применение, так как по сравнению с измерительными механизмами других систем они имеют ряд преимуществ:

потребляют незначительную мощность;

обладают высокой точностью и чувствительностью;

имеют относительно небольшие габариты;

с помощью шунтов и добавочных сопротивлений у них достаточно просто расширяются пределы измерений;

внешние магнитные поля оказывают на работу приборов незначительное влияние.

К недостаткам приборов следует отнести сложность устройства и высокую стоимость; малую перегрузочную способность. Слабым местом у приборов является рамка и пружины, которые при незначительных токовых перегрузках могут перегореть.

Недостатком прибора является также то, что он может работать только в цепях постоянного тока. Если по рамке (см. рис. 1.2) пропускать переменный ток, то направление вращающего момента за период будет дважды меняться на обратное и средний вращающий момент окажется равным нулю.

Указанный недостаток устраняется путем включения в цепь прибора полупроводниковых диодов. Приборы, представляющие сочетание магнитоэлектрического измерительного механизма с полупроводниковыми диодами, называют приборами выпрямительной (детекторной) системы.

Рисунок 1.3 – Схема прибора выпрямительной системы

 

На рис. 1.3 приведена однополупериодная схема выпрямления, в которой один полупериод измеряемого тока проходит через диод V1 и измерительный механизм; в другой - через диод V2, минуя прибор.

 

Магнитоэлектрический амперметр

Магнитоэлектрические измерительные механизмы непосредственно используются в качестве милли- и микроамперметров.

Однако на практике значения токов, протекающих в авиационных электрических сетях, достигают значительных величин. Например, авиационный генератор постоянного тока мощностью 18 кВт при номинальной нагрузке отдает в бортовую сеть ток 600 А.

Для расширения пределов измерения магнитоэлектрического прибора по току применяют шунты. Шунт включается параллельно с измерительным механизмом, а с нагрузкой оба эти элемента включаются последовательно (рис. 1.4). При данном способе включения по указателю протекает незначительная часть измеряе­мого тока.

Рисунок 1.4 – Схема магнитоэлектрического амперметра

 

Для точки А схемы на рис. 1.4 согласно первому закону Кирхгофа имеем .

Это является основанием для того, чтобы, рассчитав шунт, проградуировать шкалу измерительного механизма непосредственно в значениях измеряемого тока. Очевидно, чем меньше со­противление шунта Rш, тем больше его шунтирующее действие и тем больше предел измерения прибора.

Для расчета шунта необходимо знать: сопротивление указате­ля Rук; ток полного отклонения указателя Iук; предел измерения тока I, на который рассчитывается шунт.

При расчете шунта определяют коэффициент шунтиро­вания - число, показывающее, во сколько раз измеряемый ток больше тока полного отклонения указателя: .

Тогда для точки A схемы на рис. 1.4

.

Так как указатель и шунт включены параллельно, то

.

Отсюда

(1.9)

В амперметрах, рассчитанных на небольшие токи (до 0,5 А), шунты изготавливают в виде катушек; на большие токи - в виде пластин.

Для уменьшения влияния температуры на показания прибора шунты изготавливают из материалов с малым температурным коэффициентом сопротивления - константана или манганина.

По месту установки шунты делятся на внутренние (монтируются в корпусе прибора) и наружные. В последнем случае на шкале прибора делается надпись: НШ 400 А; 75тУ.

В целях унификации приборов шунты и указатели изготавли­вают на стандартные напряжения: 45; 75; 100 и 150 мВ. Таким образом, если имеется, например, указатель с напряжением полного отклонения 75 мВ и стандартный шунт на это же напряжение, то необходимость в расчете шунта отпадает: достаточно к прибору подключить шунт и амперметр будет измерять силу тока, указанную на нем.

В многопредельных амперметрах применяют схему комбинированного шунта, состоящую из нескольких резисторов. На рис. 1.5 показана схема трехпредельного амперметра с комбинированным шунтом.

При включении прибора на предел I1 (рис. 1.5, а) сопротивление шунта наибольшее: , предел измерения тока - наименьший.

При включении прибора на предел I3 (на рис. 1.5, б начертание схемы несколько изменено) роль шунта выполняет только резистор с сопротивлением R3, т. е. , а предел измерения тока - наибольший.

На летательных аппаратах устанавливаются малогабаритные амперметры магнитоэлектрической системы серии А с конструкцией магнитной цепи, несколько отличной от приведенной на рис. 1.1. Угол поворота подвижной системы механизма равен 270°. Приборы работают в комплекте с наружными шунтами и имеют приведенную (основную) погрешность γ = 2,5%. Все указатели имеют двустороннюю шкалу на следующие пределы измерений: 40-0-400 А (прибор типа А-1); 50-0-500 А (прибор А-2);

Рисунок 1.5 – Схема трехпредельного амперметра:

а – для наименьшего предела измерения; б – для наибольшего предела измерения

 

100-0-1000 А (прибор А-3). Эти приборы включаются в цепи генераторов постоянного тока. При отклонении стрелки от нуля вправо прибор измеряет ток, отдаваемый генератором в бортовую сеть; отклонение стрелки от нуля влево указывает на то, что генератор перешел в двигательный режим, т. е. потребляет ток от сети.

 

Магнитоэлектрический вольтметр

 

Магнитоэлектрический измерительный механизм непосредственно может быть использован в качестве милливольтметра. Однако напряжения в бортовых сетях летательных аппаратов и промышленных сетях измеряются десятками и сотнями вольт.

Для расширения пределов измерения магнитоэлектрического прибора по напряжению применяют добавочные сопротивления, которые включаются последовательно с измерительными механизмами (рис. 1.6).

Рисунок 1.6 – Схема магнитоэлектрического вольтметра

 

Известно, что падения напряжения на отдельных участках при последовательном соединении элементов прямо пропорциональны сопротивлениям этих участков, а между измеряемым напряжением U и падениями напряжения на участках справедлива зависимость . Эти соотношения являются основанием для того, чтобы, рассчитав величину добавочного сопротивления, проградуировать шкалу механизма непосредственно в значениях измеряемого напряжения.

Очевидно, чем больше будет величина добавочного сопротивления, тем при большем значении измеряемого напряжения ток в механизме достигает предельного значения.

Для расчета добавочного сопротивления необходимо знать:

сопротивление указателя Rук;

напряжение полного отклонения указателя Uук;

предел измерения напряжения U, на которое рассчитывается добавочное сопротивление.

При расчете добавочного сопротивления определяют коэффициент - число, показывающее, во сколько раз расширяется предел измерения указателя: .

Ток, протекающий по вольтметру:

(1.10)

С другой стороны, для указателя

(1.11)

Так как элементы соединены последовательно и , приравняем правые части равенств (1.10) и (1.11) и полученное выражение преобразуем к виду

или .

Окончательно

. (1.12)

Конструктивно добавочные сопротивления выполняются в виде катушек из изолированной константановой или манганиновой проволоки и монтируются или внутри прибора, или отдельно от него (отдельные добавочные сопротивления).

На летательных аппаратах устанавливается магнитоэлектрический вольтметр типа В-1 с верхним пределом измерения напряжения 30 В. Указатель прибора имеет конструкцию прибора, аналогичную амперметрам серии А. Добавочное сопротивление смонтировано в корпусе прибора. Приведенная (основная) погрешность γ = 2,5%.

 

Рисунок 1.7 – Схема многопредельного магнитоэлектрического вольтметра

 

В многопредельных вольтметрах применяют схему комбинированного добавочного сопротивления, состоящую из нескольких резисторов (рис. 1.7). При включении прибора на предел U1 указатель используется в качестве милливольтметра (Rдоб = 0).

На пределе U2 добавочное сопротивление равно сопротивлению R1, т. е. Rдоб = R1; при включении на предел U3 прибор будет измерять наибольшее напряжение; так как Rдоб = R1+R2.

Рисунок 1.8 – Схема многопредельного вольтметра выпрямительной системы

 

Если в цепь вольтметра включить полупроводниковые диоды (рис. 1.8), то данным прибором можно измерять напряжения в цепях переменного тока.

На некоторых типах летательных аппаратов применяется комбинированный прибор - вольтамперметр серии ВА с измеритель­ным механизмом, аналогичным механизму прибора серии А.

Указатель имеет кнопку с надписью на корпусе «V нажать» и двухрядную шкалу: верхнюю - для измерения напряжения в пределах 0-30 В и нижнюю - для измерения силы тока с пределами 10-0-30 А (прибор ВА-1), 20-0-60 А (прибор ВА-2), 40-0-120 А (прибор ВА-3). Указатель работает в комплекте с наружным шунтом и внутренним добавочным сопротивлением.

В обычном состоянии прибор работает по схеме на рис. 1.4 и измеряет силу тока. При нажатии кнопки указатель отключается от шунта и последовательно с ним включается добавочное сопро­тивление. Вольтметр прибора работает по схеме на рис. 1.6.

 

Магнитоэлектрический омметр

Омметр - прибор, предназначенный для измерения сопротивлений.

Упрощенная схема омметра приведена на рис. 1.9. В цепь измерительного механизма включают низковольтный (1,5-6 В) химический источник питания, смонтированный в корпусе прибора, а к внешним клеммам подключают измеряемое сопротивление Rx.

Рисунок 1.9 – Упрощенная схема магнитоэлектрического омметра

 

Согласно закону Ома ток, протекающий по рамке указателя:

,

окажется зависящим от величины противления Кх.

Предположим, что э. д. с. источника и его внутреннее сопротивление - величины постоянные. Тогда каждому значению сопротивления Rx соответствует, определенное значение тока в цепи и шкала указателя может быть проградуирована непосредственно в омах. Заметим, что сила тока, протекающая по указателю, и сопротивление обратно пропорциональны друг другу: отсутствие тока соответствует обрыву в измеряемой цепи (Rx = ∞), а максимальный ток -сопротивлению, равному нулю. Отсюда вывод: шкала омметра, собранного по схеме на рис. 1.9, обратная и читается справа налево.

Реальные схемы омметров имеют дополнительные элементы.

При измерении малых сопротивлений ток в цепи указателя может оказаться больше тока полного отклонения и для его уменьшения последовательно с механизмом включают ограничивающее сопротивление Rогр (рис. 1.10).

 

Рисунок 1.10 – Принципиальная схема магнитоэлектрического омметра

 

Со временем (и при измерениях) химические источники разряжаются и их параметры изменяются: э. д. с. уменьшается, внутреннее сопротивление возрастает. Для исключения (точнее, уменьшения) влияния параметров ис­точника на точность измерения параллельно указателю (рис. 1.10) включают регулируемый резистор, рукоятка которого выводится на панель прибора.

Методика работы с омметром заключается в следующем: корректором при разомкнутой внешней цепи (Rx = ∞) стрелку прибора устанавливают на крайнюю левую отметку шкалы;

внешними проводниками замыкают клеммы (из-за малого сопротивления соединительных проводов можно считать, что Rx = 0), и, изменяя величину сопротивления регулируемого резистора, уста­навливают стрелку на нулевую отметку на шкале омметра, что соответствует предельному значению тока, протекающего по рамке;

размыкают внешние проводники и подключают их к измеряемому сопротивлению.

Так как прибор имеет собственный источник питания, измерения омметром производятся в обесточенных цепях. Настройку прибора на нуль омметра и измерения сопротивлений рекомендуется производить по возможности быстрее, так как при разрядке источника изменяются его параметры, что приводит к уменьшению точности измерения.

 

Малогабаритные ферродинамические приборы на летательных аппаратах применяются для измерения напряжения, силы тока, частоты, активной мощности в бортовых электрических сетях с номинальной частотой 400 Гц. Все эти приборы имеют измерительный механизм одной конструкции (рис. 1.12).

Рисунок 1.12 – Устройство ферродинамического измерительного механизма

 

Принципиальное отличие конструкции ферродинамического измерительного механизма от магнитоэлектрического прибора (см. рис. 1.1) состоит в том, что вместо постоянного магнита здесь применен электромагнит, состоящий из П-образного ферромагнитного сердечника, собранного из отдельных пластин, на кото­рый помещается неподвижная катушка ωн. В равномерном магнитном зазоре помещается подвижная рамка ωп.

Вольтметры ферродинамические (ВФ) выпускаются на 3 различных предела измерения напряжения: 45, 150 и 250 В (числа, следующие за маркой прибора, указывают на верхний предел измерения: вольтметров - в вольтах; амперметров - в амперах). Обе обмотки с встроенным в корпус добавочным сопротивлением включаются последовательно. Данные приборы имеют две моди­фикации ВФ-0,4 и ВФ-1, отличающиеся друг от друга габарит­ными размерами и массой.

Амперметры ферродинамические (АФ) выпускаются на следую­щие пределы измерения тока: 25; 50; 75; 100; 150; 200; 300; 400 и 600 А. Упрощенная схема авиационного ферродинамического амперметра приведена на рис. 1.13. Обе обмотки измерительного механизма АФ включаются между собой последовательно. Для уменьшения тока в подвижной рамке она шунтируется резистором Rш. Все механизмы авиационных амперметров серии АФ имеют ток полного отклонения 1 А.

Рисунок 1.13 – Схема авиационного ферродинамического амперметра

 

Для расширения пределов измерения указатели работают в комплекте с трансформаторами тока типа ТФ-1 или ТФ-2.

Трансформатор тока представляет собой тороидальный (в виде кольца) ферромагнитный сердечник, собранный из отдельных пла­стин, на который наматывается вторичная обмотка w2 с выводами u1 и u2. С этой обмоткой соединяется цепь измерительного ме­ханизма.

Первичной обмотки у трансформатора тока нет - она создается проводом, ток I в котором измеряется. Например, у амперметра типа АФ-25, работающего в комплекте с трансформатором тока ТФ-1, проводом в тороиде делается четыре витка; у прибора АФ-50 - 2 витка и т. п.

Переменный ток, протекая по проводу (первичной обмотке), создает переменный магнитный поток, под действием которого во вторичной обмотке индуктируется э. д. с. взаимной индукции и в цепи указателя протекает вторичный ток I2, величина которого пропорциональна току первичной обмотки. Шкалы амперметров градуируются непосредственно в амперах.

 




Поделиться с друзьями:


Дата добавления: 2014-11-08; Просмотров: 4838; Нарушение авторских прав?; Мы поможем в написании вашей работы!


Нам важно ваше мнение! Был ли полезен опубликованный материал? Да | Нет



studopedia.su - Студопедия (2013 - 2026) год. Все материалы представленные на сайте исключительно с целью ознакомления читателями и не преследуют коммерческих целей или нарушение авторских прав! Последнее добавление




Генерация страницы за: 0.052 сек.