Студопедия

КАТЕГОРИИ:


Архитектура-(3434)Астрономия-(809)Биология-(7483)Биотехнологии-(1457)Военное дело-(14632)Высокие технологии-(1363)География-(913)Геология-(1438)Государство-(451)Демография-(1065)Дом-(47672)Журналистика и СМИ-(912)Изобретательство-(14524)Иностранные языки-(4268)Информатика-(17799)Искусство-(1338)История-(13644)Компьютеры-(11121)Косметика-(55)Кулинария-(373)Культура-(8427)Лингвистика-(374)Литература-(1642)Маркетинг-(23702)Математика-(16968)Машиностроение-(1700)Медицина-(12668)Менеджмент-(24684)Механика-(15423)Науковедение-(506)Образование-(11852)Охрана труда-(3308)Педагогика-(5571)Полиграфия-(1312)Политика-(7869)Право-(5454)Приборостроение-(1369)Программирование-(2801)Производство-(97182)Промышленность-(8706)Психология-(18388)Религия-(3217)Связь-(10668)Сельское хозяйство-(299)Социология-(6455)Спорт-(42831)Строительство-(4793)Торговля-(5050)Транспорт-(2929)Туризм-(1568)Физика-(3942)Философия-(17015)Финансы-(26596)Химия-(22929)Экология-(12095)Экономика-(9961)Электроника-(8441)Электротехника-(4623)Энергетика-(12629)Юриспруденция-(1492)Ядерная техника-(1748)

Электрические мостовые схемы




Электрические мостовые схемы относятся к наиболее точным и чувствительным схемам, применяемым в электроизмерительных приборах и устройствах авиационной автоматики.

Рисунок 1.23 – К пояснению принципа образования мостовой схемы

 

На рис. 1.23 представлена электрическая схема, в которую включены четыре резистора, образующие две параллельные ветви с эквивалентными сопротивлениями R1,3 и R2,4. К узловым точкам С и D подключен источник питания с напряжением U.

Рисунок 1.24 – Схема электрического моста постоянного тока

 

На рис. 1.24 начертание схемы несколько изменено, а между точками А и В дополнительно включен измерительный прибор, который образует «мост» между параллельными ветвями. Отсюда и происходит название «электрическая мостовая схема». Таким образом, «мостом» в схеме рис. 1.24 является ветвь АВ,но этот термин распространяют на всю схему.

Сопротивления R1-R4 называют плечами моста: точки A, В, C, D - вершинами моста, ветвь АВ - измерительной диагональю, ветвь CD - питающей диагональю.

По роду тока мостовые электрические схемы делятся на мосты постоянного и мосты переменного тока.

При включенном источнике питания возможны два состояния мостовой схемы:

уравновешенное - ток в измерительной диагонали не протекает;

неуравновешенное - ток в измерительной диагонали протекает.

На практике используются оба состояния мостовой схемы.

Если мост уравновешен, то Iпр = 0, т. е. можно считать, что эта ветвь выключена и схема моста превращается в схему, как на рис. 1.23. В свою очередь, это может иметь место при равенстве потенциалов точек A и В, т. е. φA = φB.

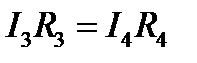
Но потенциалы φA и φB равны при равенстве падений напряжений на смежных плечах моста, т. е. U1 = U2 и U3 = U4.

Представим данные напряжения по закону Ома через произведения соответствующих токов и сопротивлений:

; (1.19)

. (1.20)

Из схемы на рис. 1.24, имея в виду, что ток в измерительную диагональ не ответвляется, следует, I1 = I3 и I2 = I4. Поделим выражение (1.19) на выражение (1.20), тогда получим:

или . (1.21)

В уравновешенной мостовой схеме произведения сопротивлений противоположных плеч равны.

Зная численные значения сопротивлений трех плеч и введя схему в равновесное состояние (Iпр = 0), из уравнения (1.21) можем определить численное значение сопротивления четвертого плеча:

. (1.22)

В неуравновешенном состоянии ток, протекающий по измерительной диагонали, зависит от соотношения сопротивлений плеч, сопротивления указателя и величины напряжения источника питания.

Электрическая мостовая схема является основой ряда измерительных приборов, применяемых для измерения электрических и неэлектрических величин.

В мостах постоянного тока - приборах, предназначенных для точного измерения сопротивлений, используется уравновешенное состояние электрической мостовой схемы.

Для питания мостов применяют марганцево-цинковые химические элементы, монтируемые внутри приборов (внутренний источник). Во многих промышленных мостах к зажимам внутреннего источника присоединены клеммы с надписью БАТ для подключения внешнего источника питания.

Три плеча моста изготавливаются с высокой точностью и представляют собой меры сопротивлений. Однозначная мера выполняется в виде катушки из манганиновой проволоки на одно из следующих.сопротивлений: 10 ±п Ом, где п - целое число.

Десять последовательно соединенных мер с одинаковыми со­противлениями образуют декаду сопротивлений.

Набор декад с различными сопротивлениями, отличающимися друг от друга в 10, 100, 1000 и т. д. раз, называют магазином сопротивлений (рис. 1.25). Декады соединяют между собой последовательно и с помощью переключателей на магазинах набирают различные сопротивления.

Рисунок 1.25 – Принципиальная схема магазина сопротивлений

 

Измерительным прибором, применяемым в мостах постоянного тока, является высокочувствительный магнитоэлектрический гальванометр, который выполняет роль индикатора, определяющего наличие тока и указывающего на неуравновешенное состояние моста.

От рассмотренного ранее магнитоэлектрического прибора галь­ванометр отличается тем, что не имеет спиральных пружин. В гальванометре рамка подвешивается вертикально на металли­ческой нити-подвеске, работающей на скручивание (рис. 1.26), Отсутствие осей (и трения в них) повышает чувствительность указателя в тысячи раз.

 

Рисунок 1.26 – К пояснению устройства магнитоэлектрического гальванометра

 

Упрощенная схема лабораторного моста постоянного тока представлена на рис. 1.27. Под сопротивлением R3 подразумевается магазин сопротивлений, под сопротивлениями R1 и R2 - меры сопротивлений. Плечо R2 изготавливают из нескольких мер такой величины, чтобы отношение плеч моста R1/R2 оказывалось равным величине 10±n, где п - целое число. Вместе взятые плечи R1 и R2 называют плечом отношения, а плечо R3 - плечом сравнения.

Рисунок 1.27 – Упрощенная схема лабораторного моста постоянного тока

 

Методика работы с промышленными мостами заключается в следующем:

к клеммам Rx подключают резистор, электрическое сопротивление которого измеряется;

включают источник питания;

изменяя положение рукояток переключателей плеч отношения и сравнения, вводят мостовую схему в равновесие, т. е. добиваются нулевого показания гальванометра;

В авиационных приборах для измерения неэлектрических величин, функционально связанных с сопротивлением (давления, температуры и т. п.), находят применение неуравновешенные мостовые электрические схемы.

Если мостовая схема находится в неуравновешенном состоянии, то ток, протекающий по измерительной диагонали, зависит от величины питающего напряжения. Для исключения этого влияния при измерении неэлектрических величин в мостовую схему включают магнитоэлектрический логометр.

Мостовая электрическая схема с логометром отличается от рассмотренной выше схемы моста с гальванометром наличием дополнительной ветви-полудиагонали СЕ с сопротивлением R5, которое ограничивает силу тока в рамках логометра, что в конечном счете увеличивает чувствительность прибора (рис. 1.28).

Рисунок 1.28 – Мостовая схема с логометром

 

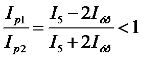
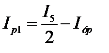
В приведенной схеме сопротивления плеч R1 и R2 равны. Если сопротивления плеч R3 и Rx также равны, то мостовая схема находится в равновесии и потенциалы точек А и В равны. В этом состоянии от точки С к точке Е по сопротивлению R5 протекает ток I5, который в точке E разветвляется на два одинаковых тока:

.

Отношение токов , и подвижная система прибора находится в среднем положении.

При уменьшении сопротивления Rx равновесие моста нарушается, потенциал точки В понизится и в измерительной диагонали от точки А к точке В потечет уравнительный ток Iур. Теперь токи в рамках логометра определятся следующими выражениями:

и

Отношение токов в рамках станет другим, а именно:

,

и подвижная система займет новое положение.

Так как при разбалансе моста токи рамок изменяются в противоположных направлениях, то их отношение меняется более резко, что значительно увеличивает чувствительность прибора


 




Поделиться с друзьями:


Дата добавления: 2014-11-08; Просмотров: 6160; Нарушение авторских прав?; Мы поможем в написании вашей работы!


Нам важно ваше мнение! Был ли полезен опубликованный материал? Да | Нет



studopedia.su - Студопедия (2013 - 2026) год. Все материалы представленные на сайте исключительно с целью ознакомления читателями и не преследуют коммерческих целей или нарушение авторских прав! Последнее добавление




Генерация страницы за: 0.011 сек.