Студопедия

КАТЕГОРИИ:


Архитектура-(3434)Астрономия-(809)Биология-(7483)Биотехнологии-(1457)Военное дело-(14632)Высокие технологии-(1363)География-(913)Геология-(1438)Государство-(451)Демография-(1065)Дом-(47672)Журналистика и СМИ-(912)Изобретательство-(14524)Иностранные языки-(4268)Информатика-(17799)Искусство-(1338)История-(13644)Компьютеры-(11121)Косметика-(55)Кулинария-(373)Культура-(8427)Лингвистика-(374)Литература-(1642)Маркетинг-(23702)Математика-(16968)Машиностроение-(1700)Медицина-(12668)Менеджмент-(24684)Механика-(15423)Науковедение-(506)Образование-(11852)Охрана труда-(3308)Педагогика-(5571)Полиграфия-(1312)Политика-(7869)Право-(5454)Приборостроение-(1369)Программирование-(2801)Производство-(97182)Промышленность-(8706)Психология-(18388)Религия-(3217)Связь-(10668)Сельское хозяйство-(299)Социология-(6455)Спорт-(42831)Строительство-(4793)Торговля-(5050)Транспорт-(2929)Туризм-(1568)Физика-(3942)Философия-(17015)Финансы-(26596)Химия-(22929)Экология-(12095)Экономика-(9961)Электроника-(8441)Электротехника-(4623)Энергетика-(12629)Юриспруденция-(1492)Ядерная техника-(1748)

Занятие 1.1.5




ТЕМА: Химическая кинетика и катализ

ЦЕЛЬ: Изучить основные законы кинетики, усвоить представления о фармакокинетике. Экспериментально оценить влияние концентрации и температуры на скорость химической реакции.

ЗНАТЬ:

1. Понятие о скорости химической реакции, средняя скорость реакции в интервале, истинная скорость.

2. Классификации реакций, применяющихся в кинетике: реакции гомогенные, гетерогенные и микрогетерогенные; реакции простые и сложные (параллельные, последовательные, сопряжённые, цепные).

3. Молекулярность и порядок реакции. Закон действующих масс. Влияние различных факторов на скорость химической реакции. Зависимость скорости реакции от концентрации. Фармакокинетика.

4. Кинетические уравнения реакций нулевого, первого, второго порядков. Размерность константы скорости. Период полупревращений. Экспериментальные методы определения скорости и константы скорости реакции.

5. Зависимость скорости реакции от температуры. Правило Вант-Гоффа. Уравнение Аррениуса. Энергия активации. Понятие о теории активных соударений и о теории переходного состояния.

6. Катализ. Катализаторы. Механизм их действия. Основы гомогенного и гетерогенного катализа. Энергетический профиль каталитической реакции.

7. Особенности каталитической активности ферментов. Уравнение Михаэлиса-Ментен и его анализ.

УМЕТЬ:

1. Самостоятельно пользоваться учебной и справочной литературой.

2. Пользоваться химической посудой и оборудованием (мерные пробирки, водяные бани, термометры, секундомер и т.д.).

3. Определять скорость химической реакции по изменению концентрации и температуры реагирующих веществ.

4. Строить зависимости скорости реакций от концентрации реагента и температуры.

5. Определять молекулярность и порядок реакций.

ВЛАДЕТЬ:

1. Навыками самостоятельной работы с учебной и справочной литературой.

2. Навыками безопасной работы в химической лаборатории.

3. Навыками оформления результатов и выводов экспериментальных работ.

Лабораторная работа №4 «Изучение зависимости скорости реакции от концентрации и температуры».

 

Основные уравнения по теме: «Химическая кинетика и катализ»

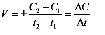
1. - уравнение для расчета средней скорости реакции

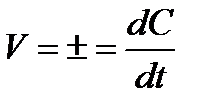
2. - расчет истинной скорости

3. V = K×[A]a×[B]b - закон действующих масс

4. - кинетическое уравнение для реакции первого порядка

5. период полураспада для реакции первого порядка

6. - кинетическое уравнение для реакций второго порядка

7. - период полураспада для реакций второго порядка

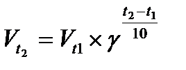
8. - уравнение Вант-Гоффа

9. - уравнение Аррениуса

10. - уравнение Аррениуса

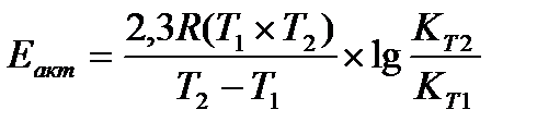
11. - расчет энергии активации

12. - уравнение Михаэлиса - Ментен

 




Поделиться с друзьями:


Дата добавления: 2014-11-16; Просмотров: 442; Нарушение авторских прав?; Мы поможем в написании вашей работы!


Нам важно ваше мнение! Был ли полезен опубликованный материал? Да | Нет



studopedia.su - Студопедия (2013 - 2026) год. Все материалы представленные на сайте исключительно с целью ознакомления читателями и не преследуют коммерческих целей или нарушение авторских прав! Последнее добавление




Генерация страницы за: 0.013 сек.