Студопедия

КАТЕГОРИИ:


Архитектура-(3434)Астрономия-(809)Биология-(7483)Биотехнологии-(1457)Военное дело-(14632)Высокие технологии-(1363)География-(913)Геология-(1438)Государство-(451)Демография-(1065)Дом-(47672)Журналистика и СМИ-(912)Изобретательство-(14524)Иностранные языки-(4268)Информатика-(17799)Искусство-(1338)История-(13644)Компьютеры-(11121)Косметика-(55)Кулинария-(373)Культура-(8427)Лингвистика-(374)Литература-(1642)Маркетинг-(23702)Математика-(16968)Машиностроение-(1700)Медицина-(12668)Менеджмент-(24684)Механика-(15423)Науковедение-(506)Образование-(11852)Охрана труда-(3308)Педагогика-(5571)Полиграфия-(1312)Политика-(7869)Право-(5454)Приборостроение-(1369)Программирование-(2801)Производство-(97182)Промышленность-(8706)Психология-(18388)Религия-(3217)Связь-(10668)Сельское хозяйство-(299)Социология-(6455)Спорт-(42831)Строительство-(4793)Торговля-(5050)Транспорт-(2929)Туризм-(1568)Физика-(3942)Философия-(17015)Финансы-(26596)Химия-(22929)Экология-(12095)Экономика-(9961)Электроника-(8441)Электротехника-(4623)Энергетика-(12629)Юриспруденция-(1492)Ядерная техника-(1748)

Занятие 1.1.3




ТЕМА: Растворы. Коллигативные свойства растворов.

ЦЕЛЬ: Изучить коллигативные свойства растворов и приобрести навыки криометрических измерений.

ЗНАТЬ:

1. Растворы, определение. Роль воды и растворов в жизнедеятельности. Физико-химические свойства воды, обуславливающие ее роль в качестве единственного биорастворителя. Строение воды, образование межмолекулярных водородных связей.

2. Концентрация растворов, способы ее выражения. Массовая доля, молярная концентрация, моляльная концентрация, молярная концентрация эквивалента, молярная доля и титр.

3. Зависимость растворимости вещества в воде от соотношения гидрофильных и гидрофобных свойств; влияние внешних условий на растворимость.

4. Понятие об идеальном растворе.

5. Закон Рауля и следствия из него: понижение температуры замерзания, повышение температуры кипения раствора.

6. Коллигативные свойства разбавленных растворов неэлектролитов.

7. Коллигативные свойства разбавленных растворов электролитов.

8. Осмос. Омотическое давление: закон Вант-Гоффа. Осмоляльность и осмолярность биологических жидкостей и перфузионных растворов.

9. Понятие о изоосмии. Роль осмоса в биологических системах. Плазмолиз, гемолиз.

10. Законы растворения газов в воде и биологических жидкостях.

УМЕТЬ:

1. Самостоятельно пользоваться учебной, научной и справочной литературой.

2. Пользоваться химическим оборудованием (термометром, прибором для криометрических измерений, химической посудой и т.д.).

3. Наблюдать за протеканием физических процессов и делать обоснованные выводы.

4. По экспериментально найденному понижению температуры замерзания раствора рассчитать изотонический коэффициент и осмотическую концентрацию.

5. Рассчитывать давление пара над раствором, температуру кипения, замерзания, осмотическое давление растворов электролитов и неэлектролитов, молярную массу вещества эбулиометрическим и криометрическим методом.

6. Уметь применять законы Генри, Дальтона и Сеченова при лечении кессонной болезни, лечении в барокамере и исследовании электролитного состава крови.

ВЛАДЕТЬ:

1. Навыками самостоятельной работы с учебной и справочной литературой.

2. Навыками безопасной работы в химической лаборатории.

3. Навыками оформления результатов и выводов экспериментальных работ.

 

Лабораторная работа №2 «Определение осмотической концентрации и изотонического коэффициента раствора электролита»

 

Основные уравнения по теме:

«Растворы. Коллигативные свойства растворов»

Способы выражения концентрации растворов:

1. массовая доля (%)


2. молярная концентрация (моль/л)

 

 

3. молярная концентрация эквивалента (моль/л)

 

где,

 

 


4. моляльная концентрация (моль/кг)


5. молярная доля

 


6. объёмная доля

 


7. титр (г/мл)

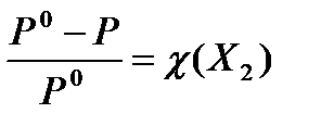
8. P = P0× c (X1) закон Рауля

 

9. закон Рауля

 

10. ∆Р = Р0×χ(Х2) закон Рауля

 

11. DTк = Кэ × b(x) - повышение температуры кипения растворов

12. D Tз = Кз × b(x) - понижение температуры замерзания растворов

13.

расчёт молярной массы вещества эбулиометрическим

методом

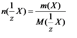
14. расчёт молярной массы вещества криометрическим

методом

15. p осм. = С(х) × RT - уравнение Вант-Гоффа

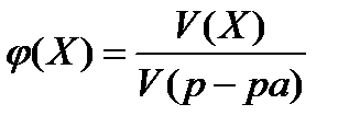
16. осмометрическое определение молярной массы вещества.

17. - расчет изотонического коэффициента

Уравнения коллигативных свойств растворов электролитов:

1. DP = i P0 c (X2)

2. DTкип = i ×Кэ ×b (х)

3. DTзам = i ×Кз × b (x)

4. p осм. = i ×C(х) ×R×T




Поделиться с друзьями:


Дата добавления: 2014-11-16; Просмотров: 861; Нарушение авторских прав?; Мы поможем в написании вашей работы!


Нам важно ваше мнение! Был ли полезен опубликованный материал? Да | Нет



studopedia.su - Студопедия (2013 - 2026) год. Все материалы представленные на сайте исключительно с целью ознакомления читателями и не преследуют коммерческих целей или нарушение авторских прав! Последнее добавление




Генерация страницы за: 0.009 сек.