Студопедия

КАТЕГОРИИ:


Архитектура-(3434)Астрономия-(809)Биология-(7483)Биотехнологии-(1457)Военное дело-(14632)Высокие технологии-(1363)География-(913)Геология-(1438)Государство-(451)Демография-(1065)Дом-(47672)Журналистика и СМИ-(912)Изобретательство-(14524)Иностранные языки-(4268)Информатика-(17799)Искусство-(1338)История-(13644)Компьютеры-(11121)Косметика-(55)Кулинария-(373)Культура-(8427)Лингвистика-(374)Литература-(1642)Маркетинг-(23702)Математика-(16968)Машиностроение-(1700)Медицина-(12668)Менеджмент-(24684)Механика-(15423)Науковедение-(506)Образование-(11852)Охрана труда-(3308)Педагогика-(5571)Полиграфия-(1312)Политика-(7869)Право-(5454)Приборостроение-(1369)Программирование-(2801)Производство-(97182)Промышленность-(8706)Психология-(18388)Религия-(3217)Связь-(10668)Сельское хозяйство-(299)Социология-(6455)Спорт-(42831)Строительство-(4793)Торговля-(5050)Транспорт-(2929)Туризм-(1568)Физика-(3942)Философия-(17015)Финансы-(26596)Химия-(22929)Экология-(12095)Экономика-(9961)Электроника-(8441)Электротехника-(4623)Энергетика-(12629)Юриспруденция-(1492)Ядерная техника-(1748)

Методы расчета ошибок




Определение передаточной характеристики прибора

Для нахождения ошибок прибора необходимо определить передаточную характеристику прибора, которая будет состоять из входящих из него звеньев.

 

Рисунок 47-Определение передаточной характеристики прибора

 

Передаточную характеристику прибора находят методом последовательной подстановки предыдущей функции в последующую.

(26)

 

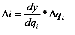
1) Метод дифференцирования передаточной функции системы.

 

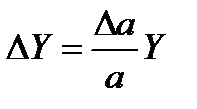
- для неслучайных ошибок (27)

- частичная ошибка

- частичная передаточная функция

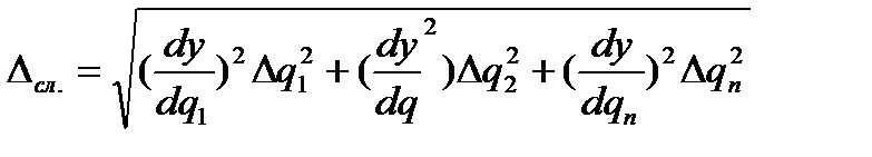
Для случайных погрешностей среднеквадратическая ошибка находится по выражению:

 

(28)

 

При наличии случайных и систематических ошибок погрешность прибора находится по выражению:

 

(29)

 

Пример: Dn, Dd, DR, Dt

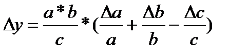
Для функции из последовательно включённых звеньев ошибку целесообразно находить методом логарифмирования.

Пример.

2) Метод преобразования исходной схемы устройства.

Преобразуется исходная схема устройства с учётом ошибки параметра, определяется его новая передаточная функция, а затем применяется метод дифференцирования.

Пример. Найти ошибку от перекоса кулисы в кривошипно-кулисном механизме (рис.48)

 

 

Рисунок 48 - Кривошипно-кулисный механизм

 

 

Дифференцируем Y` по ,получим:

 

 

3) Геометрический метод

Основан на сопоставлении реального устройства, имеющего ошибку, с идеальным прототипом. Задача решается в два этапа: 1. Производятся построения, выявляющие ошибку. 2. Находятся формулы расчёта ошибки. На рис.49 тубус сдвигается вправо. Ошибка от вертикального смещения тубуса находится из подобия треугольников .

 

 

Рисунок 49 - Рычажно-винтовой механизм

y
 

4)Расчёт ошибок методом малых перемещений - метод Брусевича. Для нахождения ошибок механизмов механизм преобразуется так, что жестко закрепляются ведущие звенья и делаются переменными все размеры звеньев, имеющие первичные ошибки. Затем строится картина малых перемещений преобразованного механизма, сообщив ведущим звеньям перемещения, равные первичным ошибкам. Замыкающий график даёт полную ошибку механизма.

Пример. Кулачковый механизм (рис. а) содержит кулачок 1, толкатель 2 и шарнир 3, в котором из за зазора кулачок может смещаться, что приводит к перемещению толкателя и появлению ошибки. В преобразованной схеме (рис. б) ошибка заменена поступательным перемещением кулачка по линии действия силы реакции в опоре его вращения. Затем из треугольника, образованного векторами, находится ошибка

 

Рисунок 50 – Определение ошибки кулачкового механизма

 

Особенности расчёта ошибок приборов.




Поделиться с друзьями:


Дата добавления: 2014-11-16; Просмотров: 935; Нарушение авторских прав?; Мы поможем в написании вашей работы!


Нам важно ваше мнение! Был ли полезен опубликованный материал? Да | Нет



studopedia.su - Студопедия (2013 - 2026) год. Все материалы представленные на сайте исключительно с целью ознакомления читателями и не преследуют коммерческих целей или нарушение авторских прав! Последнее добавление




Генерация страницы за: 0.013 сек.