Студопедия

КАТЕГОРИИ:


Архитектура-(3434)Астрономия-(809)Биология-(7483)Биотехнологии-(1457)Военное дело-(14632)Высокие технологии-(1363)География-(913)Геология-(1438)Государство-(451)Демография-(1065)Дом-(47672)Журналистика и СМИ-(912)Изобретательство-(14524)Иностранные языки-(4268)Информатика-(17799)Искусство-(1338)История-(13644)Компьютеры-(11121)Косметика-(55)Кулинария-(373)Культура-(8427)Лингвистика-(374)Литература-(1642)Маркетинг-(23702)Математика-(16968)Машиностроение-(1700)Медицина-(12668)Менеджмент-(24684)Механика-(15423)Науковедение-(506)Образование-(11852)Охрана труда-(3308)Педагогика-(5571)Полиграфия-(1312)Политика-(7869)Право-(5454)Приборостроение-(1369)Программирование-(2801)Производство-(97182)Промышленность-(8706)Психология-(18388)Религия-(3217)Связь-(10668)Сельское хозяйство-(299)Социология-(6455)Спорт-(42831)Строительство-(4793)Торговля-(5050)Транспорт-(2929)Туризм-(1568)Физика-(3942)Философия-(17015)Финансы-(26596)Химия-(22929)Экология-(12095)Экономика-(9961)Электроника-(8441)Электротехника-(4623)Энергетика-(12629)Юриспруденция-(1492)Ядерная техника-(1748)

Технологические ошибки




Теоретические ошибки

Причины возникновения:

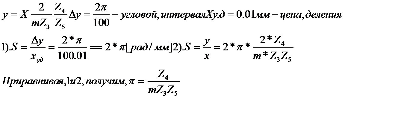
1. Когда вместо строгой функции преобразования, связывающую выходную величину прибора со входной, используется приблизительная функция.

 

(30)

 

2.Ошибки из-за округления параметров прибора.

Пример: Так как реализовать значение модуля m, соответствующего значению p, не представляется возможным, то за счёт округления возникает ошибка, составляющая до 30% допуска.

 

 

Рисунок 51 - Механизм зубчатых колес с рейкой

 

3.Ошибка из-за идеализации конструкционных параметров прибора.

Пример. В кулачковом механизме из за замены стрелки в идеальном случае (рис.52 а) на реальный шар(рис.52 б) возникает теоретическая ошибка

(31)

 

Рисунок 52 – Определение ошибки из за идеализация конструктивных параметров кулачкового механизма

 

Они могут быть скалярными и векторными. Для нахождения передаточных функций векторных ошибок их надо разложить на две скалярные составляющие по двум осям. Их необходимо ориентировать так, чтобы одна составляющая не вызывала погрешности функционирования устройства.

Пример. Определить погрешность считывания показаний по круговой шкале при наличии эксцентриситета.

 

 

Рисунок 53 – Действие эксцентриситета круговой шкалы: А-разложение вектора эксцентриситета на скалярные составляющие; Б-ошибка отсчета угла поворота шкалы.

 

(32)




Поделиться с друзьями:


Дата добавления: 2014-11-16; Просмотров: 806; Нарушение авторских прав?; Мы поможем в написании вашей работы!


Нам важно ваше мнение! Был ли полезен опубликованный материал? Да | Нет



studopedia.su - Студопедия (2013 - 2026) год. Все материалы представленные на сайте исключительно с целью ознакомления читателями и не преследуют коммерческих целей или нарушение авторских прав! Последнее добавление




Генерация страницы за: 0.01 сек.