Студопедия

КАТЕГОРИИ:


Архитектура-(3434)Астрономия-(809)Биология-(7483)Биотехнологии-(1457)Военное дело-(14632)Высокие технологии-(1363)География-(913)Геология-(1438)Государство-(451)Демография-(1065)Дом-(47672)Журналистика и СМИ-(912)Изобретательство-(14524)Иностранные языки-(4268)Информатика-(17799)Искусство-(1338)История-(13644)Компьютеры-(11121)Косметика-(55)Кулинария-(373)Культура-(8427)Лингвистика-(374)Литература-(1642)Маркетинг-(23702)Математика-(16968)Машиностроение-(1700)Медицина-(12668)Менеджмент-(24684)Механика-(15423)Науковедение-(506)Образование-(11852)Охрана труда-(3308)Педагогика-(5571)Полиграфия-(1312)Политика-(7869)Право-(5454)Приборостроение-(1369)Программирование-(2801)Производство-(97182)Промышленность-(8706)Психология-(18388)Религия-(3217)Связь-(10668)Сельское хозяйство-(299)Социология-(6455)Спорт-(42831)Строительство-(4793)Торговля-(5050)Транспорт-(2929)Туризм-(1568)Физика-(3942)Философия-(17015)Финансы-(26596)Химия-(22929)Экология-(12095)Экономика-(9961)Электроника-(8441)Электротехника-(4623)Энергетика-(12629)Юриспруденция-(1492)Ядерная техника-(1748)

Матрицы и действия над ними




Краткие теоретические сведения для выполнения контрольной работы № 1 и решение типовых задач

Контрольная работа № 1. Элементы линейной алгебры

 

1.1. Найти значение матричного многочлена , если , , .

1.2. Вычислить определитель двумя способами, по правилу треугольника и разложением по строке (или столбцу): .

1.3. Найти матрицу обратную к матрице и проверить выполнение равенства .

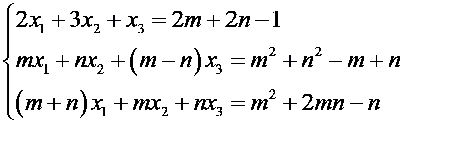
1.4. Решить систему линейных алгебраических уравнений двумя способами: по формулам Крамера и методом Гаусса: .

 

Прямоугольная таблица чисел вида

называется матрицей размера m ´ n; здесь m – число строк, n – число столбцов.

Числа (i = 1,2,…, m; j = 1,2,…, n) составляющие матрицу, называются ее элементами. Первый индекс i означает номер строки, второй j – номер столбца.

Если число строк и столбцов матрицы одинаковое , то матрица называется квадратной, порядка n.

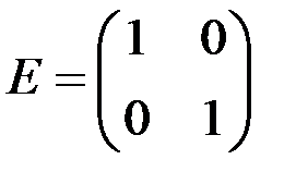
Квадратная матрица, в которой все элементы, не стоящие на главной диагонали, равны нулю, называется диагональной, а диагональная матрица, у которой все элементы, стоящие на главной диагонали равны единице, называется единичной:

Квадратная матрица называется треугольной, если все элементы, расположенные по одну сторону от главной диагонали, равны нулю. Например:

.

Матрица, все элементы которой равны нулю, называется нулевой и обозначается символом О, например .

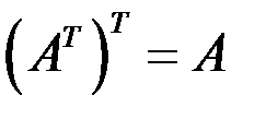
Прямоугольная матрица, в которой каждая строка заменена столбцом с тем же номером, называется транспонированной по отношению к данной матрице, обозначается . Например, если , то .

Очевидно, что .




Поделиться с друзьями:


Дата добавления: 2014-11-16; Просмотров: 491; Нарушение авторских прав?; Мы поможем в написании вашей работы!


Нам важно ваше мнение! Был ли полезен опубликованный материал? Да | Нет



studopedia.su - Студопедия (2013 - 2025) год. Все материалы представленные на сайте исключительно с целью ознакомления читателями и не преследуют коммерческих целей или нарушение авторских прав! Последнее добавление




Генерация страницы за: 0.008 сек.