Студопедия

КАТЕГОРИИ:


Архитектура-(3434)Астрономия-(809)Биология-(7483)Биотехнологии-(1457)Военное дело-(14632)Высокие технологии-(1363)География-(913)Геология-(1438)Государство-(451)Демография-(1065)Дом-(47672)Журналистика и СМИ-(912)Изобретательство-(14524)Иностранные языки-(4268)Информатика-(17799)Искусство-(1338)История-(13644)Компьютеры-(11121)Косметика-(55)Кулинария-(373)Культура-(8427)Лингвистика-(374)Литература-(1642)Маркетинг-(23702)Математика-(16968)Машиностроение-(1700)Медицина-(12668)Менеджмент-(24684)Механика-(15423)Науковедение-(506)Образование-(11852)Охрана труда-(3308)Педагогика-(5571)Полиграфия-(1312)Политика-(7869)Право-(5454)Приборостроение-(1369)Программирование-(2801)Производство-(97182)Промышленность-(8706)Психология-(18388)Религия-(3217)Связь-(10668)Сельское хозяйство-(299)Социология-(6455)Спорт-(42831)Строительство-(4793)Торговля-(5050)Транспорт-(2929)Туризм-(1568)Физика-(3942)Философия-(17015)Финансы-(26596)Химия-(22929)Экология-(12095)Экономика-(9961)Электроника-(8441)Электротехника-(4623)Энергетика-(12629)Юриспруденция-(1492)Ядерная техника-(1748)

Ранг матрицы




Решение

Пример 1.

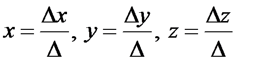
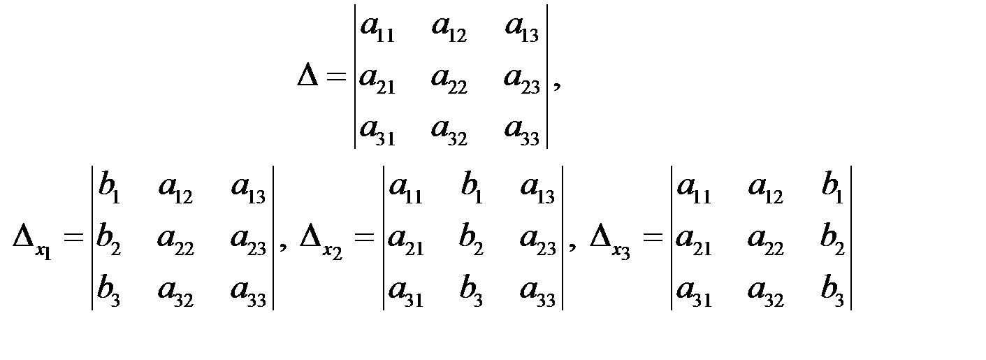
Формулы Крамера для решения СЛАУр

 

Если определитель системы , то эта система имеет единственное решение, которое можно получить по формулам Крамера. Формулы Крамера имеют вид

,

где

.

 

В знаменателях этих формул стоит определитель системы , а в числителях – определители, которые получаются из определителя системы заменой коэффициентов при соответствующих неизвестных столбцом свободных членов.

 

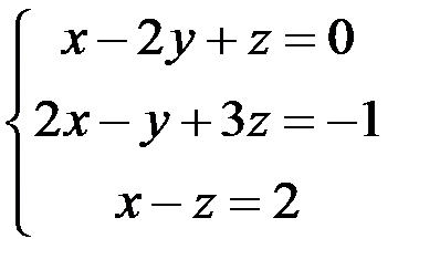
Решить систему по формулам Крамера.

Формулы Крамера: . Вычислим определители:

 

,

, тогда

 

, , .

Итак, , , .

 

Пусть дана матрица .

 

Рангом матрицы называется наибольший из порядков отличных от нуля ее миноров. Обозначение: rang A, r (А) или r.

Очевидно, – меньшее из чисел m и n.

Минор, порядок которого определяет ранг матрицы, называется базисным. Вычисление всех миноров отличных от нуля трудоемкая операция. На практике для вычисления r (A) используют метод Гаусса.

Элементарными преобразованиями называются следующие действия над матрицами:

1. Вычеркивание нулевой строки.

2. Умножение какой либо строки на число.

3. Прибавление к одной из строк другой строки, умноженной на любое число.

4. Перестановка двух столбцов или двух строк.

 

Теорема 1. Ранг матрицы не меняется при элементарных преобразованиях.

 




Поделиться с друзьями:


Дата добавления: 2014-11-16; Просмотров: 413; Нарушение авторских прав?; Мы поможем в написании вашей работы!


Нам важно ваше мнение! Был ли полезен опубликованный материал? Да | Нет



studopedia.su - Студопедия (2013 - 2025) год. Все материалы представленные на сайте исключительно с целью ознакомления читателями и не преследуют коммерческих целей или нарушение авторских прав! Последнее добавление




Генерация страницы за: 0.006 сек.