Студопедия

КАТЕГОРИИ:


Архитектура-(3434)Астрономия-(809)Биология-(7483)Биотехнологии-(1457)Военное дело-(14632)Высокие технологии-(1363)География-(913)Геология-(1438)Государство-(451)Демография-(1065)Дом-(47672)Журналистика и СМИ-(912)Изобретательство-(14524)Иностранные языки-(4268)Информатика-(17799)Искусство-(1338)История-(13644)Компьютеры-(11121)Косметика-(55)Кулинария-(373)Культура-(8427)Лингвистика-(374)Литература-(1642)Маркетинг-(23702)Математика-(16968)Машиностроение-(1700)Медицина-(12668)Менеджмент-(24684)Механика-(15423)Науковедение-(506)Образование-(11852)Охрана труда-(3308)Педагогика-(5571)Полиграфия-(1312)Политика-(7869)Право-(5454)Приборостроение-(1369)Программирование-(2801)Производство-(97182)Промышленность-(8706)Психология-(18388)Религия-(3217)Связь-(10668)Сельское хозяйство-(299)Социология-(6455)Спорт-(42831)Строительство-(4793)Торговля-(5050)Транспорт-(2929)Туризм-(1568)Физика-(3942)Философия-(17015)Финансы-(26596)Химия-(22929)Экология-(12095)Экономика-(9961)Электроника-(8441)Электротехника-(4623)Энергетика-(12629)Юриспруденция-(1492)Ядерная техника-(1748)

Пример 6. Свойство 1.Определитель равен сумме произведений элементов какого-нибудь столбца (или строки) на их алгебраические дополнения




Пример 5

Свойство 1. Определитель равен сумме произведений элементов какого-нибудь столбца (или строки) на их алгебраические дополнения.

 

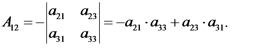
Вычислим определитель, разложив его по элементам 1-ой строки:

.

Свойство 2. Величина определителя не изменится, если каждую его строку заменить столбцом с тем же номером.

 

Свойство 3. Перестановка двух столбцов или двух строк определителя равносильна его умножению на (–1).

 

Свойство 4. Общий множитель всех элементов одного столбца или одной строки определителя можно вынести за знак определителя.

Свойство 5. Если все элементы какой-либо строки или какого-либо столбца равны нулю, то определитель равен нулю.

Свойство 6. Определитель, имеющий два одинаковых столбца или две одинаковых строки, равен нулю.

Свойство 7. Определитель равен нулю, если элементы двух столбцов или двух строк пропорциональны.

 

Свойство 8. Если каждый элемент некоторой строки (столбца) определителя представлен в виде суммы двух слагаемых, то определитель равен сумме двух определителей, у которых все строки (столбцы), кроме данной, прежние, а в данной строке (столбце) в первом определителе стоят первые слагаемые, а во втором – вторые:

.

 

Свойство 9. Если к элементам некоторого столбца (или строки) определителя прибавить соответствующие элементы другого столбца (или строки), умноженные на общий множитель, то величина определителя не изменится.




Поделиться с друзьями:


Дата добавления: 2014-11-16; Просмотров: 478; Нарушение авторских прав?; Мы поможем в написании вашей работы!


Нам важно ваше мнение! Был ли полезен опубликованный материал? Да | Нет



studopedia.su - Студопедия (2013 - 2026) год. Все материалы представленные на сайте исключительно с целью ознакомления читателями и не преследуют коммерческих целей или нарушение авторских прав! Последнее добавление




Генерация страницы за: 0.012 сек.