Студопедия

КАТЕГОРИИ:


Архитектура-(3434)Астрономия-(809)Биология-(7483)Биотехнологии-(1457)Военное дело-(14632)Высокие технологии-(1363)География-(913)Геология-(1438)Государство-(451)Демография-(1065)Дом-(47672)Журналистика и СМИ-(912)Изобретательство-(14524)Иностранные языки-(4268)Информатика-(17799)Искусство-(1338)История-(13644)Компьютеры-(11121)Косметика-(55)Кулинария-(373)Культура-(8427)Лингвистика-(374)Литература-(1642)Маркетинг-(23702)Математика-(16968)Машиностроение-(1700)Медицина-(12668)Менеджмент-(24684)Механика-(15423)Науковедение-(506)Образование-(11852)Охрана труда-(3308)Педагогика-(5571)Полиграфия-(1312)Политика-(7869)Право-(5454)Приборостроение-(1369)Программирование-(2801)Производство-(97182)Промышленность-(8706)Психология-(18388)Религия-(3217)Связь-(10668)Сельское хозяйство-(299)Социология-(6455)Спорт-(42831)Строительство-(4793)Торговля-(5050)Транспорт-(2929)Туризм-(1568)Физика-(3942)Философия-(17015)Финансы-(26596)Химия-(22929)Экология-(12095)Экономика-(9961)Электроника-(8441)Электротехника-(4623)Энергетика-(12629)Юриспруденция-(1492)Ядерная техника-(1748)

Замечание




Метод Гаусса решения СЛАУр

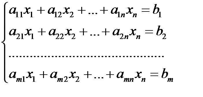
Пусть дана система линейных алгебраических уравнений (СЛАУр)

 

 

Поставим задачу: исследовать данную систему, т.е. выяснить, не решая ее, совместна она или несовместна, а если совместна, то определенна она или неопределенна.

На все эти вопросы отвечает теорема Кронекера - Капелли.

Пусть дана матрица системы .

Рассмотрим расширенную матрицу системы

.

 

Теорема Кронекера – Капелли.

СЛАУр совместна тогда и только тогда, когда ранг расширенной матрицы равен рангу матрицы системы:

или .

Если и , где n – число неизвестных, то система определенна; если , то система неопределенна, если же , то система несовместна.

Метод Гаусса решения СЛАУр состоит в следующем.

 

1. Выписывают расширенную матрицу системы

и с помощью элементарных преобразований приводят ее к трапециевидному виду.

2. Применяя теорему Кронекера – Капелли, исследуют систему, получая один из случаев:

­– система совместна и определенна,

– система совместна и неопределенна,

– система несовместна.

Трапециевидная форма расширенной матрицы С в каждом из этих случаев имеет вид:

 

1) С ~ , ,

следовательно, система определенна, имеет единственное решение,

 

2) С ~ ,

следовательно, система неопределенна, имеет бесконечное множество решений,

 

3) если какая-либо строка матрицы С имеет вид , то система несовместна (решений нет).

 

3. Для решения системы, если оно существует, следует записать новую систему, отвечающую полученной трапециевидной матрице, которая является более простой по сравнению с исходной и решить ее (обратный ход).

 




Поделиться с друзьями:


Дата добавления: 2014-11-16; Просмотров: 439; Нарушение авторских прав?; Мы поможем в написании вашей работы!


Нам важно ваше мнение! Был ли полезен опубликованный материал? Да | Нет



studopedia.su - Студопедия (2013 - 2026) год. Все материалы представленные на сайте исключительно с целью ознакомления читателями и не преследуют коммерческих целей или нарушение авторских прав! Последнее добавление




Генерация страницы за: 0.007 сек.