Студопедия

КАТЕГОРИИ:


Архитектура-(3434)Астрономия-(809)Биология-(7483)Биотехнологии-(1457)Военное дело-(14632)Высокие технологии-(1363)География-(913)Геология-(1438)Государство-(451)Демография-(1065)Дом-(47672)Журналистика и СМИ-(912)Изобретательство-(14524)Иностранные языки-(4268)Информатика-(17799)Искусство-(1338)История-(13644)Компьютеры-(11121)Косметика-(55)Кулинария-(373)Культура-(8427)Лингвистика-(374)Литература-(1642)Маркетинг-(23702)Математика-(16968)Машиностроение-(1700)Медицина-(12668)Менеджмент-(24684)Механика-(15423)Науковедение-(506)Образование-(11852)Охрана труда-(3308)Педагогика-(5571)Полиграфия-(1312)Политика-(7869)Право-(5454)Приборостроение-(1369)Программирование-(2801)Производство-(97182)Промышленность-(8706)Психология-(18388)Религия-(3217)Связь-(10668)Сельское хозяйство-(299)Социология-(6455)Спорт-(42831)Строительство-(4793)Торговля-(5050)Транспорт-(2929)Туризм-(1568)Физика-(3942)Философия-(17015)Финансы-(26596)Химия-(22929)Экология-(12095)Экономика-(9961)Электроника-(8441)Электротехника-(4623)Энергетика-(12629)Юриспруденция-(1492)Ядерная техника-(1748)

Контрольная работа № 3. Предел и производная функции одной переменной




Пример

Даны вершины треугольной пирамиды Найти:

1) угол между ребрами и ;

2) площадь грани ;

3) объем пирамиды ;

4) длину высоты, опущенной из вершины на грань ;

5) угол между ребром и гранью ;

6) уравнение высоты, опущенной из вершины на грань .

 

 

Решение

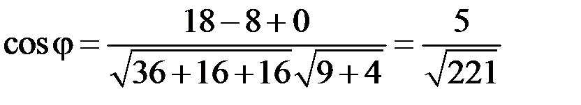
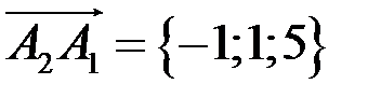
А 4   А 2   В А 1 А 3 Рис. 2 1) Угол между ребрами и находим с помощью скалярного произведения векторов по формуле , найдем координаты векторов тогда косинус угла между векторами .

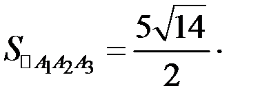
2) Площадь грани находим с помощью векторного произведения векторов. Найдем координаты вектора , тогда площадь треугольника находим по формуле

.

Найдем векторное произведение векторов

модуль векторного произведения равен

,

откуда находим площадь треугольника

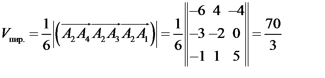
3) Объем пирамиды находим с помощью смешанного произведения векторов по формуле

,

так как выше найдены координаты векторов

,

подставим координаты векторов в формулу, получим

.

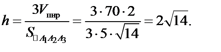
4) Для нахождения длины высоты h, опущенной из вершины на грань применим формулу

,

откуда находим

 

 

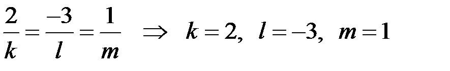
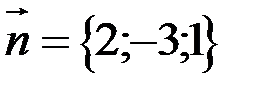
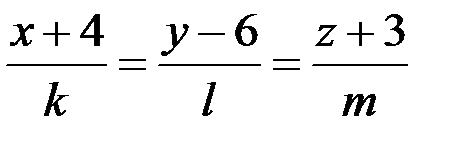
5) Общее уравнение плоскости :

,

нормальный вектор плоскости .

Уравнение высоты : .

Условие перпендикулярности прямой и плоскости: .

В нашем случае , тогда уравнение высоты имеет вид

 

 

 

3.1. Вычислить предел

3.2. Вычислить предел .

3.3. Вычислить предел .

3.4. В точках и для функции установить непрерывность или определить характер точек разрыва.

3.5. Найти производную функции .

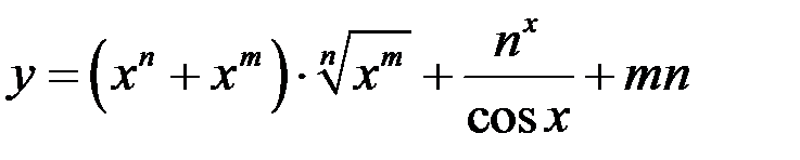
3.6. Найти производную функции

3.7. Найти производную функции , применяя метод логарифмического дифференцирования.

3.8. Найти производную функции, заданной неявно: .

3.9. Найти производную функции, заданной параметрически: .

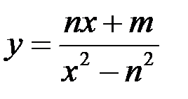
3.10. С помощью методов дифференциального исчисления исследовать и построить график функции .

 

 




Поделиться с друзьями:


Дата добавления: 2014-11-16; Просмотров: 565; Нарушение авторских прав?; Мы поможем в написании вашей работы!


Нам важно ваше мнение! Был ли полезен опубликованный материал? Да | Нет



studopedia.su - Студопедия (2013 - 2025) год. Все материалы представленные на сайте исключительно с целью ознакомления читателями и не преследуют коммерческих целей или нарушение авторских прав! Последнее добавление




Генерация страницы за: 0.01 сек.