Студопедия

КАТЕГОРИИ:


Архитектура-(3434)Астрономия-(809)Биология-(7483)Биотехнологии-(1457)Военное дело-(14632)Высокие технологии-(1363)География-(913)Геология-(1438)Государство-(451)Демография-(1065)Дом-(47672)Журналистика и СМИ-(912)Изобретательство-(14524)Иностранные языки-(4268)Информатика-(17799)Искусство-(1338)История-(13644)Компьютеры-(11121)Косметика-(55)Кулинария-(373)Культура-(8427)Лингвистика-(374)Литература-(1642)Маркетинг-(23702)Математика-(16968)Машиностроение-(1700)Медицина-(12668)Менеджмент-(24684)Механика-(15423)Науковедение-(506)Образование-(11852)Охрана труда-(3308)Педагогика-(5571)Полиграфия-(1312)Политика-(7869)Право-(5454)Приборостроение-(1369)Программирование-(2801)Производство-(97182)Промышленность-(8706)Психология-(18388)Религия-(3217)Связь-(10668)Сельское хозяйство-(299)Социология-(6455)Спорт-(42831)Строительство-(4793)Торговля-(5050)Транспорт-(2929)Туризм-(1568)Физика-(3942)Философия-(17015)Финансы-(26596)Химия-(22929)Экология-(12095)Экономика-(9961)Электроника-(8441)Электротехника-(4623)Энергетика-(12629)Юриспруденция-(1492)Ядерная техника-(1748)

Непрерывность функции




Пример

Вычисление пределов с использованием второго замечательного предела

Пример

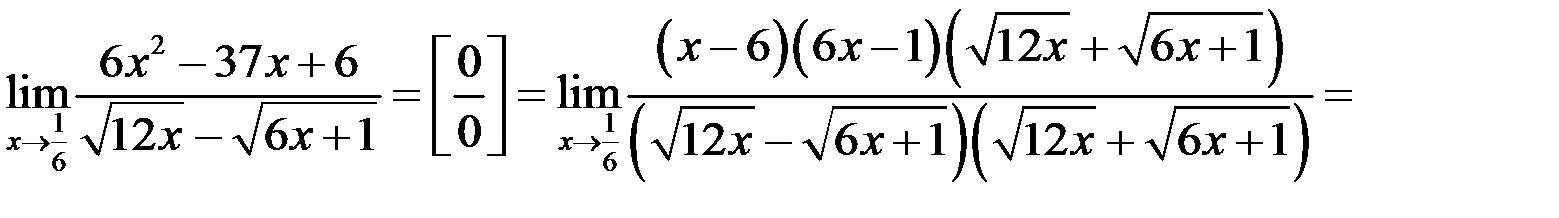
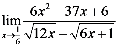
Вычислить предел .

Решение

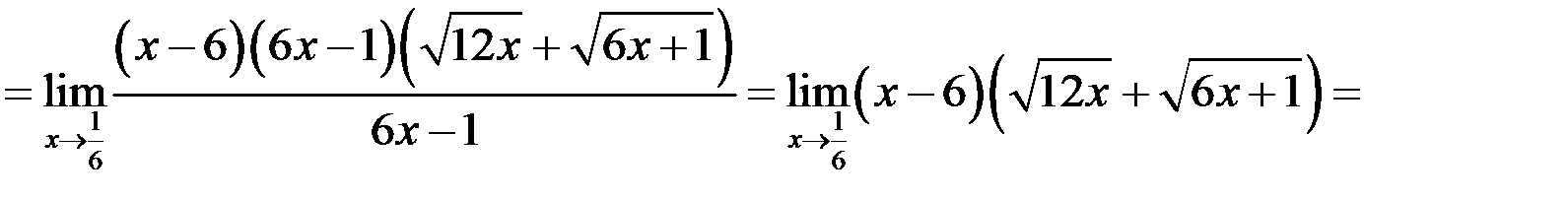
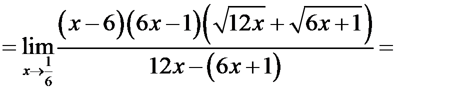
При числитель и знаменатель дроби стремится к нулю, т.е. имеет место неопределенность вида . Для раскрытия неопределенности числитель и знаменатель дроби умножим на сопряженное знаменателю выражение, т.е. на сумму , а квадратный трехчлен разложим на множители, найдя для этого его корни:

,

тогда,

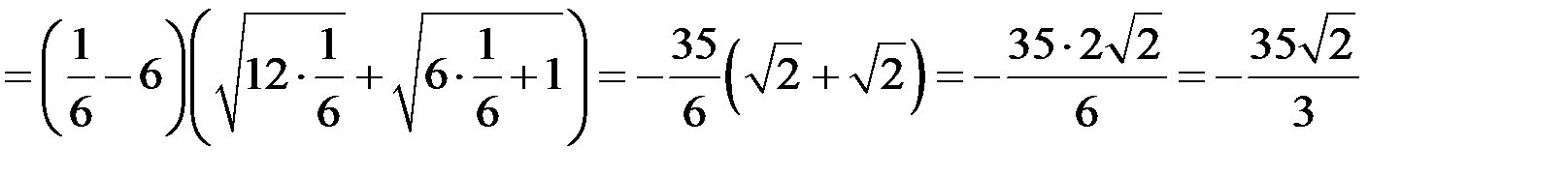
.

Таким образом, получим:

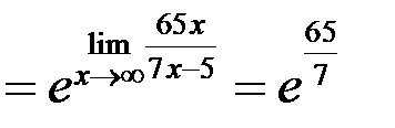
.

 

 

 

Одна из форм записи второго замечательного предела

.

Второй замечательный предел раскрывает неопределенность вида .

 

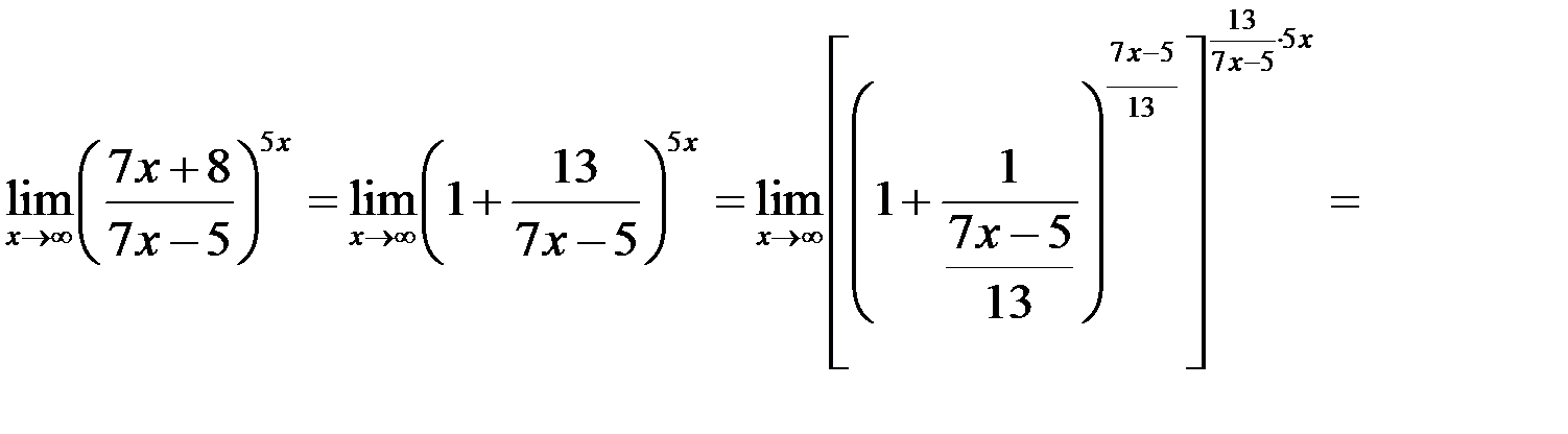
Вычислить предел .

 

 

Решение

Предел основания , а показатель степени при , т.е. имеет место неопределенность вида . Выделим целую часть основания степени

и применим второй замечательный предел:

, учитывая, что .

 

 

Пусть функция определена в некоторой окрестности точки .

Определение. Функция называется непрерывной в точке , если она имеет предел в точке и этот предел равен – значению функции в точке :

.

Таким образом, для того чтобы функция была непрерывна в точке , необходимо и достаточно выполнение трех условий:

1) функция должна быть определена в точке ;

2) должны существовать пределы функции при как слева, так и справа, т.е. и ;

3) эти пределы должны быть равны между собой и равны значению функции в точке , т.е. .

Если хотя бы одно из этих условий не выполнено, то говорят, что функция имеет разрыв в точке и точку называют точкой разрыва функции .

Точки разрыва следует искать среди точек, не входящих в область определения функции.

 

Классификация точек разрыва

 

Определение. Если в точке функция имеет пределы слева и справа и они равны между собой, а в точке

или функция не определена, то точка называется точкой устранимого разрыва функции .

В этом случае функцию можно доопределить в точке так, чтобы она стала непрерывной, т.е. положить

.

 

Определение. Если в точке функция имеет конечные пределы слева и справа, причем , то точка называется точкой разрыва функции 1-го рода.

При переходе через точку значение функции претерпевает скачок, измеряемый разностью .

 

Определение. Точка называется точкой разрыва 2-го рода, если в этой точке хотя бы один из пределов (справа или слева) не существует или равен .

 

 




Поделиться с друзьями:


Дата добавления: 2014-11-16; Просмотров: 482; Нарушение авторских прав?; Мы поможем в написании вашей работы!


Нам важно ваше мнение! Был ли полезен опубликованный материал? Да | Нет



studopedia.su - Студопедия (2013 - 2025) год. Все материалы представленные на сайте исключительно с целью ознакомления читателями и не преследуют коммерческих целей или нарушение авторских прав! Последнее добавление




Генерация страницы за: 0.008 сек.