Студопедия

КАТЕГОРИИ:


Архитектура-(3434)Астрономия-(809)Биология-(7483)Биотехнологии-(1457)Военное дело-(14632)Высокие технологии-(1363)География-(913)Геология-(1438)Государство-(451)Демография-(1065)Дом-(47672)Журналистика и СМИ-(912)Изобретательство-(14524)Иностранные языки-(4268)Информатика-(17799)Искусство-(1338)История-(13644)Компьютеры-(11121)Косметика-(55)Кулинария-(373)Культура-(8427)Лингвистика-(374)Литература-(1642)Маркетинг-(23702)Математика-(16968)Машиностроение-(1700)Медицина-(12668)Менеджмент-(24684)Механика-(15423)Науковедение-(506)Образование-(11852)Охрана труда-(3308)Педагогика-(5571)Полиграфия-(1312)Политика-(7869)Право-(5454)Приборостроение-(1369)Программирование-(2801)Производство-(97182)Промышленность-(8706)Психология-(18388)Религия-(3217)Связь-(10668)Сельское хозяйство-(299)Социология-(6455)Спорт-(42831)Строительство-(4793)Торговля-(5050)Транспорт-(2929)Туризм-(1568)Физика-(3942)Философия-(17015)Финансы-(26596)Химия-(22929)Экология-(12095)Экономика-(9961)Электроника-(8441)Электротехника-(4623)Энергетика-(12629)Юриспруденция-(1492)Ядерная техника-(1748)

Контрольная работа № 4. Интегральное исчисление функции одной переменной




Пример

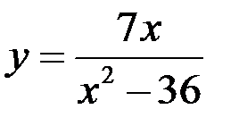
С помощью методов дифференциального исчисления исследовать и построить график функции .

Решение

1. Область определения функции находится из условия: , т.е. .

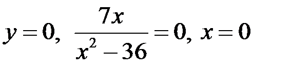
2. Точки пересечения графика функции с осями координат:

с осью Оу, , точка ,

с осью Ох, , точка .

3. Четность, нечетность.

Функция называется четной, если для любого х из области определения справедливо равенство . Функция называется нечетной, если для любого х из области определения справедливо равенство . Если не выполнено ни одно из равенств, то функцию называют функцией общего вида.

В нашем случае, , следовательно, функция нечетная, а ее график симметричен относительно начала координат.

4. Точки разрыва функции и асимптоты графика функции.

1) Вертикальные асимптоты. Прямая является вертикальной асимптотой графика функции , если хотя бы один из пределов

или

равен или . Таким образом, для нахождения вертикальных асимптот следует найти все точки разрыва 2-го рода данной функции. Если точек разрыва нет, то нет и вертикальных асимптот.

Заданная функция имеет две точки разрыва второго рода и , так как

, ,

, ,

следовательно, график функции имеет две вертикальных асимптоты и .

2) Горизонтальные асимптоты. Горизонтальная асимптота – частный случай наклонной асимптоты, когда .

Чтобы найти горизонтальные асимптоты графика функции, нужно найти пределы:

.

Если эти пределы конечны и различны, то прямые будут горизонтальными асимптотами. Если какой-либо из этих пределов не существует или равен , то не существуют и соответствующие асимптоты.

Так как

,

то график функции имеет горизонтальную асимптоту .

 

3) Наклонные асимптоты. Пусть прямая является асимптотой графика функции . Такую асимптоту называют наклонной. Для того, чтобы график функции имел при наклонную асимптоту , необходимо и достаточно, чтобы существовали оба предела:

.

Аналогично находится асимптота при .

Так как , то наклонных асимптот нет.

 

 

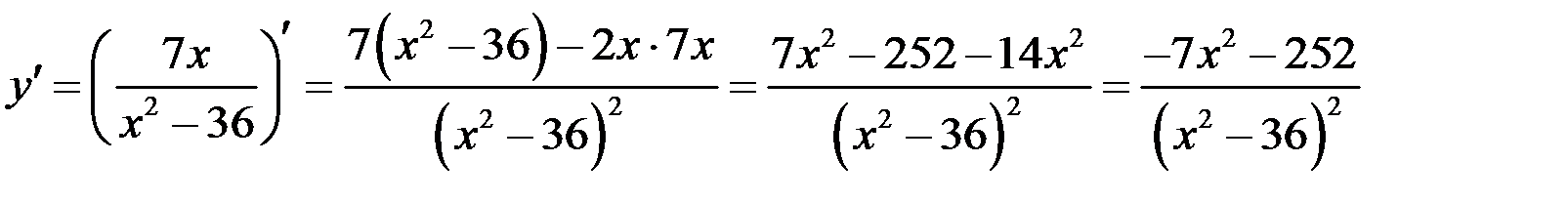
5. Исследование функции на экстремум.

Для определения интервалов возрастания и убывания функции и ее точек экстремума найдем первую производную:

.

Найдем критические точки, т.е. точки, в которых производная равна нулю или не существует, для чего приравниваем числитель к нулю:

, т.е. вещественных корней нет, следовательно, точек экстремума нет. Так как производная отрицательна во всей области определения функции, то она всюду убывает в этой области.

_ _ _

х

-6 6 у

 

 

6. Исследование на выпуклость, вогнутость. Точки перегиба.

Вычислим производную второго порядка:

Необходимое условие точки перегиба: или не существует. Равенство выполняется при , следовательно, эта точка является «подозрительной» на точку перегиба. Определим знак второй производной на всей числовой оси и укажем на ней интервалы выпуклости и вогнутости функции.

 


_ + _ +

х

-6 0 6 у

Так как при переходе через точку вторая производная меняет знак, то точка с абсциссой является точкой перегиба. Итак, точка перегиба имеет координаты .

 

 

7. Построение графика функции.

 

 

 

 


 

4.1. Найти интеграл .

4.2. Найти интеграл .

4.3. Найти интеграл .

4.4. Построить схематический чертеж и найти площадь фигуры, ограниченной линиями:

, .

 

 




Поделиться с друзьями:


Дата добавления: 2014-11-16; Просмотров: 648; Нарушение авторских прав?; Мы поможем в написании вашей работы!


Нам важно ваше мнение! Был ли полезен опубликованный материал? Да | Нет



studopedia.su - Студопедия (2013 - 2025) год. Все материалы представленные на сайте исключительно с целью ознакомления читателями и не преследуют коммерческих целей или нарушение авторских прав! Последнее добавление




Генерация страницы за: 0.008 сек.