Студопедия

КАТЕГОРИИ:


Архитектура-(3434)Астрономия-(809)Биология-(7483)Биотехнологии-(1457)Военное дело-(14632)Высокие технологии-(1363)География-(913)Геология-(1438)Государство-(451)Демография-(1065)Дом-(47672)Журналистика и СМИ-(912)Изобретательство-(14524)Иностранные языки-(4268)Информатика-(17799)Искусство-(1338)История-(13644)Компьютеры-(11121)Косметика-(55)Кулинария-(373)Культура-(8427)Лингвистика-(374)Литература-(1642)Маркетинг-(23702)Математика-(16968)Машиностроение-(1700)Медицина-(12668)Менеджмент-(24684)Механика-(15423)Науковедение-(506)Образование-(11852)Охрана труда-(3308)Педагогика-(5571)Полиграфия-(1312)Политика-(7869)Право-(5454)Приборостроение-(1369)Программирование-(2801)Производство-(97182)Промышленность-(8706)Психология-(18388)Религия-(3217)Связь-(10668)Сельское хозяйство-(299)Социология-(6455)Спорт-(42831)Строительство-(4793)Торговля-(5050)Транспорт-(2929)Туризм-(1568)Физика-(3942)Философия-(17015)Финансы-(26596)Химия-(22929)Экология-(12095)Экономика-(9961)Электроника-(8441)Электротехника-(4623)Энергетика-(12629)Юриспруденция-(1492)Ядерная техника-(1748)

Контрольная работа № 2. Элементы векторной алгебры и аналитической геометрии




Решение

Пример 6.

Решение

Пример 5.

Пример 4.

Пример 3.

Исследовать и решить СЛАУр: .

Решение

Составим расширенную матрицу и проведем над ней эквивалентные преобразования для определения и .

 

~ ~

~ ,

 

Таким образом, , следовательно, по теореме Кронекера – Капелли система совместна и определенна.

Составим систему, соответствующую последней матрице, эквивалентную исходной:

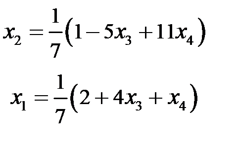
Þ .

 

Таким образом, .

 

Исследовать и решить СЛАУр: .

Решение

~ ~

Так как , следовательно, система совместна и неопределенна (имеет бесчисленное множество решений).

Последней матрице соответствует система:

Þ

где и – произвольные параметры.

 

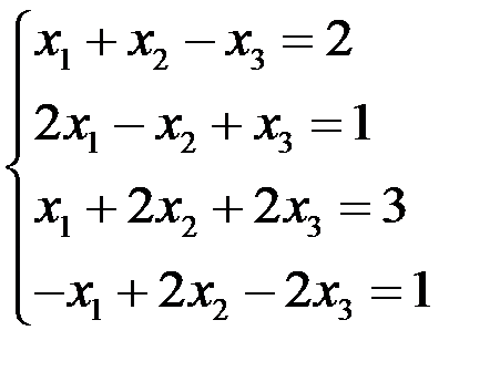
Исследовать и решить СЛАУр:

 

~ ~

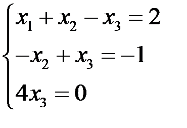
Так как , то система несовместна (решений нет).

 

Исследовать и решить СЛАУр: .

 

 

Таким образом, .

 

2.1. Построить треугольник, вершины которого находятся в точках и найти:

1) уравнение стороны АВ;

2) уравнение медианы, проведенной из вершины С;

3) координату точки пересечения медиан;

4) уравнение высоты, опущенной из вершины В на сторону АС и ее длину;

5) уравнение прямой, проходящей через точку С параллельно прямой АВ;

6) площадь треугольника.

2.2. Даны вершины треугольной пирамиды , . Найти:

1) угол между ребрами и ;

2) площадь грани ;

3) объем пирамиды ;

4) длину высоты, опущенной из вершины S на грань АВС;

5) уравнение высоты, опущенной из вершины S на грань АВС.




Поделиться с друзьями:


Дата добавления: 2014-11-16; Просмотров: 585; Нарушение авторских прав?; Мы поможем в написании вашей работы!


Нам важно ваше мнение! Был ли полезен опубликованный материал? Да | Нет



studopedia.su - Студопедия (2013 - 2025) год. Все материалы представленные на сайте исключительно с целью ознакомления читателями и не преследуют коммерческих целей или нарушение авторских прав! Последнее добавление




Генерация страницы за: 0.012 сек.