Студопедия

КАТЕГОРИИ:


Архитектура-(3434)Астрономия-(809)Биология-(7483)Биотехнологии-(1457)Военное дело-(14632)Высокие технологии-(1363)География-(913)Геология-(1438)Государство-(451)Демография-(1065)Дом-(47672)Журналистика и СМИ-(912)Изобретательство-(14524)Иностранные языки-(4268)Информатика-(17799)Искусство-(1338)История-(13644)Компьютеры-(11121)Косметика-(55)Кулинария-(373)Культура-(8427)Лингвистика-(374)Литература-(1642)Маркетинг-(23702)Математика-(16968)Машиностроение-(1700)Медицина-(12668)Менеджмент-(24684)Механика-(15423)Науковедение-(506)Образование-(11852)Охрана труда-(3308)Педагогика-(5571)Полиграфия-(1312)Политика-(7869)Право-(5454)Приборостроение-(1369)Программирование-(2801)Производство-(97182)Промышленность-(8706)Психология-(18388)Религия-(3217)Связь-(10668)Сельское хозяйство-(299)Социология-(6455)Спорт-(42831)Строительство-(4793)Торговля-(5050)Транспорт-(2929)Туризм-(1568)Физика-(3942)Философия-(17015)Финансы-(26596)Химия-(22929)Экология-(12095)Экономика-(9961)Электроника-(8441)Электротехника-(4623)Энергетика-(12629)Юриспруденция-(1492)Ядерная техника-(1748)

Решение систем линейных алгебраических уравнений




Пример

Для матрицы найти обратную.

Решение

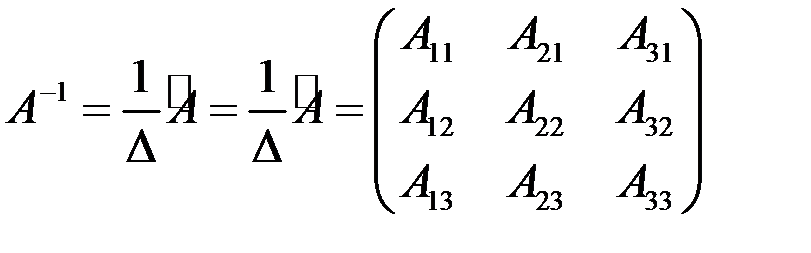
Обратную матрицу находим по формуле

.

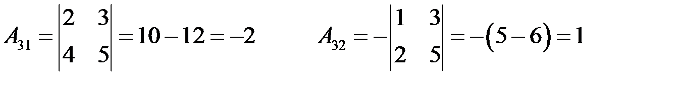
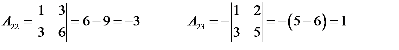
Определитель матрицы , следовательно, матрица неособенная и обратная матрица существует. Найдем алгебраические дополнения элементов матрицы:

 

.

Тогда обратная матрица имеет вид

.

 

(СЛАУр)

 

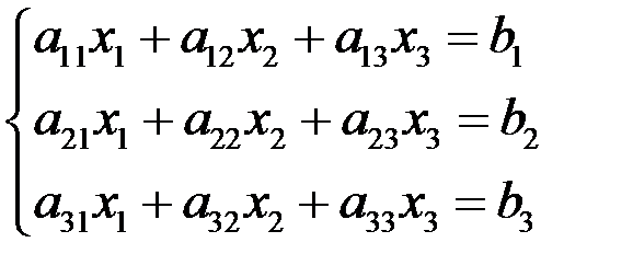
Рассмотрим систему трех линейных уравнений с тремя неизвестными:

. (1)

 

Если хотя бы одно из чисел не равно нулю, то такая система называется неоднородной. Если же , то такая система называется однородной.

Решением системы (1) называется упорядоченная совокупность чисел , которая при подстановке в систему обращает все уравнения системы в верные равенства.

Если система имеет решение, то она называется совместной, если не имеет решения – то несовместной. Если система имеет единственное решение, то она называется определенной, если более одного решения, то – неопределенной.

 

 




Поделиться с друзьями:


Дата добавления: 2014-11-16; Просмотров: 388; Нарушение авторских прав?; Мы поможем в написании вашей работы!


Нам важно ваше мнение! Был ли полезен опубликованный материал? Да | Нет



studopedia.su - Студопедия (2013 - 2026) год. Все материалы представленные на сайте исключительно с целью ознакомления читателями и не преследуют коммерческих целей или нарушение авторских прав! Последнее добавление




Генерация страницы за: 0.012 сек.