Студопедия

КАТЕГОРИИ:


Архитектура-(3434)Астрономия-(809)Биология-(7483)Биотехнологии-(1457)Военное дело-(14632)Высокие технологии-(1363)География-(913)Геология-(1438)Государство-(451)Демография-(1065)Дом-(47672)Журналистика и СМИ-(912)Изобретательство-(14524)Иностранные языки-(4268)Информатика-(17799)Искусство-(1338)История-(13644)Компьютеры-(11121)Косметика-(55)Кулинария-(373)Культура-(8427)Лингвистика-(374)Литература-(1642)Маркетинг-(23702)Математика-(16968)Машиностроение-(1700)Медицина-(12668)Менеджмент-(24684)Механика-(15423)Науковедение-(506)Образование-(11852)Охрана труда-(3308)Педагогика-(5571)Полиграфия-(1312)Политика-(7869)Право-(5454)Приборостроение-(1369)Программирование-(2801)Производство-(97182)Промышленность-(8706)Психология-(18388)Религия-(3217)Связь-(10668)Сельское хозяйство-(299)Социология-(6455)Спорт-(42831)Строительство-(4793)Торговля-(5050)Транспорт-(2929)Туризм-(1568)Физика-(3942)Философия-(17015)Финансы-(26596)Химия-(22929)Экология-(12095)Экономика-(9961)Электроника-(8441)Электротехника-(4623)Энергетика-(12629)Юриспруденция-(1492)Ядерная техника-(1748)

Решение. 1. Разграничим вращательное движение данного тела на участки равноускоренного, равномерного и равнозамедленного дви­жения




 

1. Разграничим вращательное движение данного тела на участки равноускоренного, равномерного и равнозамедленного дви­жения. Определим параметры вращательного движения тела по этим участкам.

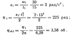
2. Равноускоренное вращение (участок 1):

3. Равномерное вращение (участок II):

4. Равнозамедленное вращение (участок III):

5. Определим полное число оборотов тела за все время вращения:

 

6. Определим среднюю угловую скорость тела за все время враще­ния:

 

7. Определим окружную скорость точек тела, расположенных на расстоянии r = 0,5 м от оси вращения через 5 с после начала движения тела:

 

 

Пример 8. Диск радиусом R = 2 м вращается вокруг неподвижной оси согласно уравнению

(φ — в радианах, t — в секундах). Определить скорость и ускорение точки поверхности диска в моменты времени t1 = 0 и t2 = 2 с.




Поделиться с друзьями:


Дата добавления: 2014-11-16; Просмотров: 935; Нарушение авторских прав?; Мы поможем в написании вашей работы!


Нам важно ваше мнение! Был ли полезен опубликованный материал? Да | Нет



studopedia.su - Студопедия (2013 - 2026) год. Все материалы представленные на сайте исключительно с целью ознакомления читателями и не преследуют коммерческих целей или нарушение авторских прав! Последнее добавление




Генерация страницы за: 0.011 сек.