Студопедия

КАТЕГОРИИ:


Архитектура-(3434)Астрономия-(809)Биология-(7483)Биотехнологии-(1457)Военное дело-(14632)Высокие технологии-(1363)География-(913)Геология-(1438)Государство-(451)Демография-(1065)Дом-(47672)Журналистика и СМИ-(912)Изобретательство-(14524)Иностранные языки-(4268)Информатика-(17799)Искусство-(1338)История-(13644)Компьютеры-(11121)Косметика-(55)Кулинария-(373)Культура-(8427)Лингвистика-(374)Литература-(1642)Маркетинг-(23702)Математика-(16968)Машиностроение-(1700)Медицина-(12668)Менеджмент-(24684)Механика-(15423)Науковедение-(506)Образование-(11852)Охрана труда-(3308)Педагогика-(5571)Полиграфия-(1312)Политика-(7869)Право-(5454)Приборостроение-(1369)Программирование-(2801)Производство-(97182)Промышленность-(8706)Психология-(18388)Религия-(3217)Связь-(10668)Сельское хозяйство-(299)Социология-(6455)Спорт-(42831)Строительство-(4793)Торговля-(5050)Транспорт-(2929)Туризм-(1568)Физика-(3942)Философия-(17015)Финансы-(26596)Химия-(22929)Экология-(12095)Экономика-(9961)Электроника-(8441)Электротехника-(4623)Энергетика-(12629)Юриспруденция-(1492)Ядерная техника-(1748)

Решение. Для определения скорости и ускорения точки необходимо знать угловую скорость и угловое ускорение диска




Решение

 

Для определения скорости и ускорения точки необходимо знать угловую скорость и угловое ускорение диска.

Уравнение изменения угловой скорости диска:

Уравнение изменения углового ускорения диска:

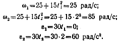
Определим угловую скорость и угловое ускорение диска в моменты времени t1 = 0 и t2 = 2 с:

 

Определим скорость точки поверхности диска в ука­занные моменты времени:

Определим нормальное и касательное ускорения точки поверхности диска в моменты времени t1 и t2:

 

Тогда

 

Пример 9. Точка А, лежащая на ободе равно­мерно вращающегося шкива, движется со скоростью v = 2 м/с и нормальным ускоре­нием ап = 5 м/с2. Определить ра­диус шкива OA и величину угло­вой скорости (рис. 1.46).

 

Здесь для решения следует воспользоваться известны­ми соотношениями для линейной скорости и нормального ускорения точек вращающегося тела:

Если второе уравнение разделить на первое, найдем угловую скорость вращения шкива:

Тогда

 

Пример 10. Шарик А (рис. 1.47), подвешенный на стержне OA, колеблется в вертикальной плоскости около неподвижной горизонтальной оси О согласно уравнению

(φ — в радианах, t — в секундах).

Определить:

1. Ближайшие моменты времени, соответствующие максимальным отклонениям стержня OA от вертикали OC вправо и влево, а также значение максимальных углов отклонения.

2. Ближайший момент времени после начала движе­ния, при котором нормальное ускорение шарика равно нулю.

3. Ближайший момент времени, при котором касатель­ное ускорение шарика равно нулю.

4. Полное ускорение шарика при t = 1,5 с и угол, образованный вектором ускорения со стержнем OA.




Поделиться с друзьями:


Дата добавления: 2014-11-16; Просмотров: 1126; Нарушение авторских прав?; Мы поможем в написании вашей работы!


Нам важно ваше мнение! Был ли полезен опубликованный материал? Да | Нет



studopedia.su - Студопедия (2013 - 2025) год. Все материалы представленные на сайте исключительно с целью ознакомления читателями и не преследуют коммерческих целей или нарушение авторских прав! Последнее добавление




Генерация страницы за: 0.007 сек.